Reversed Mg-Based Smectites: A New Approach for CO2 Adsorption
Abstract
1. Introduction
2. Materials and Methods
2.1. Porous Clay Heterostructures Synthesis and Microwave Acid-Assisted Treatments
2.2. Structural, Chemical, Textural and Morphological Characterization
3. Results and Discussion
3.1. Structural Characterization of Starting and Resulting Materials
3.2. Chemical Analysis
3.3. FTIR Analysis
3.4. Morphological Characteristics of Mont and Sap Series
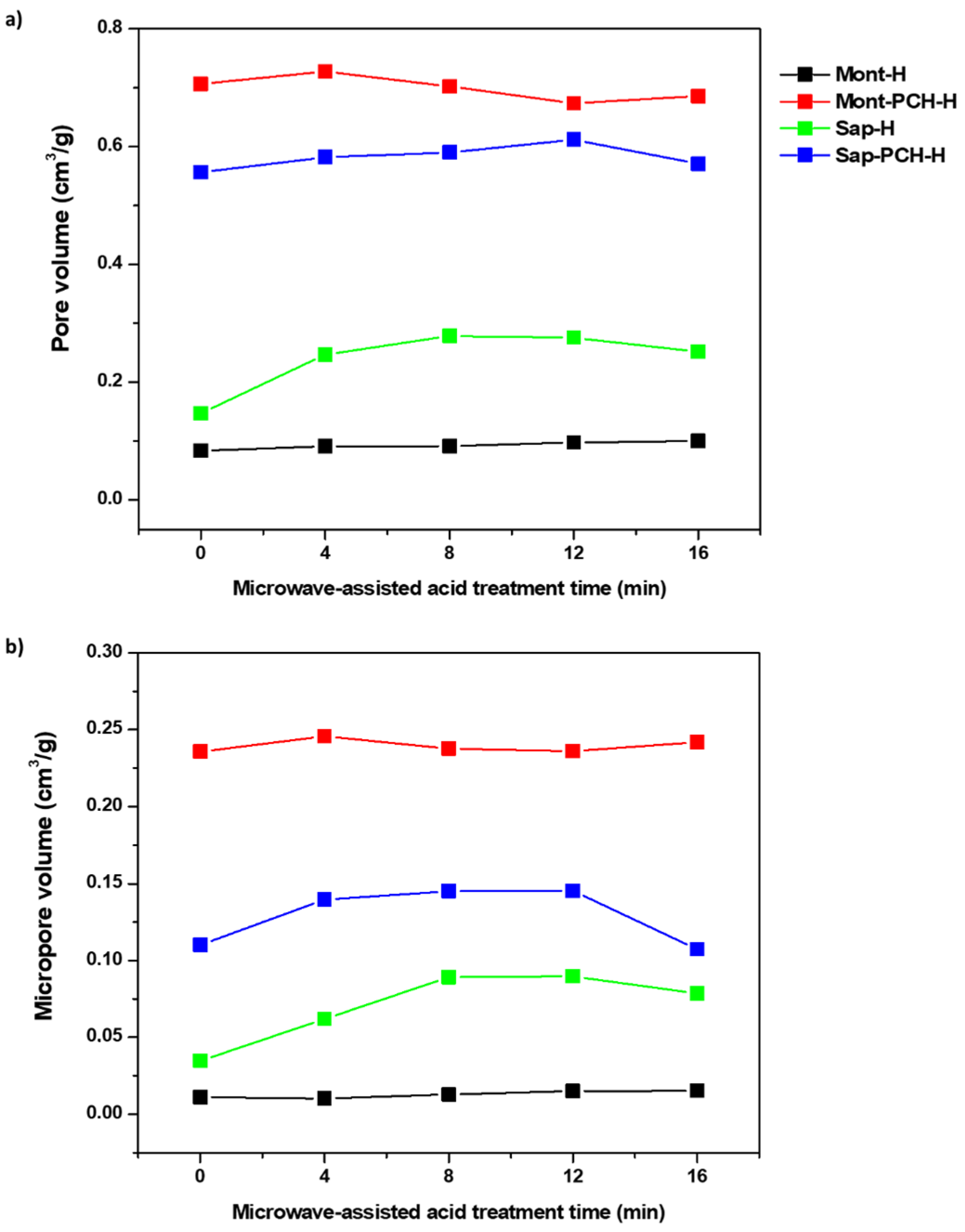
3.5. Textural Properties of the Materials
4. Conclusions
Author Contributions
Funding
Data Availability Statement
Acknowledgments
Conflicts of Interest
References
- European Energy Research Alliance (EERA). JP FCH Implementation Plan 2018–2030. Available online: https://www.eera-set.eu/wp-content/uploads/EERA-JP-FCH-IP-2018-2030-4.0.pdf (accessed on 1 July 2024).
- Wu, C.; Huang, Q.; Xu, Z.; Sipra, A.T.; Gao, N.; Porto de Souza Vandenberghe, L.; Vieira, S.; Soccol, C.R.; Zhao, R.; Deng, S.; et al. A Comprehensive Review of Carbon Capture Science and Technologies. Carbon Capture Sci. Technol. 2024, 11, 100178. [Google Scholar]
- Vilarrasa-García, E.; Cecilia, J.A.; Bastos-Neto, M.; Cavalcante, C.L., Jr.; Azevedo, D.C.S.; Rodríguez-Castellon, E. Microwave-assisted nitric acid treatment of sepiolite and functionalization with polyethylenimine applied to CO2 capture and CO2/N2 separation. Appl. Surf. Sci. 2017, 410, 315–325. [Google Scholar] [CrossRef]
- Bork, A.H.; Ackerl, N.; Reuteler, J.; Jog, S.; Gut, D.; Zboray, R.; Müller, C.R. Model Structures of Molten Salt-Promoted MgO to Probe the Mechanism of MgCO3 Formation During CO2 Capture at a Solid–Liquid Interface. J. Mater. Chem. A 2022, 10, 16803–16812. [Google Scholar] [CrossRef]
- Yuan, W.; Deng, T.; Chen, S.; He, Y.; Qin, C. Understanding the Competition between Carbonation and Sulfation of Li4SiO4-Based Sorbents for High-Temperature CO2 Capture. Carbon Capture Sci. Technol. 2022, 3, 100046. [Google Scholar] [CrossRef]
- Tian, S.; Yan, F.; Zhang, Z.; Jiang, J. Calcium-Looping Reforming of Methane Realizes In Situ CO2 Utilization with Improved Energy Efficiency. Sci. Adv. 2019, 5, eaav5077. [Google Scholar] [CrossRef]
- Bibi, I.; Icenhower, J.; Niazi, N.K.; Naz, T.; Shahid, M.; Bashir, S. Clay Minerals: Structure, Chemistry, and Significance in Contaminated Environments and Geological CO2 Sequestration. In Environmental Materials and Waste; Prasad, M.N.V., Shih, K., Eds.; Academic Press: San Diego, CA, USA, 2016; pp. 543–567. ISBN 9780128038376. [Google Scholar]
- Brigatti, M.F.; Galán, E.; Theng, B.K.G. Structure and Mineralogy of Clay Minerals. In Developments in Clay Science; Bergaya, F., Lagaly, G., Eds.; Elsevier: Amsterdam, The Netherlands, 2013; Volume 5, pp. 21–81. ISBN 9780080993645. [Google Scholar]
- Dill, G.H. A geological and mineralogical review of clay mineral deposits and phyllosilicate ore guides in Central Europe—A function of geodynamics and climate change. Ore Geol. Rev. 2020, 119, 103304. [Google Scholar] [CrossRef]
- Wu, L.; He, X.; Zhao, Y.; Huang, K.; Tong, Z.; Liao, B.; Pang, H. Montmorillonite-based materials for electrochemical energy storage. Green Chem. 2024, 26, 678–704. [Google Scholar] [CrossRef]
- Idumah, C.I.; Okonkwo, U.C.; Obele, C.M. Recently emerging advancements in montmorillonite polymeric nanoarchitectures and applications. Clean. Mater. 2022, 4, 100071. [Google Scholar] [CrossRef]
- de Oliveira, L.H.; Trigueiro, P.; Souza, J.S.N.; de Carvalho, M.S.; Osajima, J.A.; da Silva-Filho, E.C.; Fonseca, M.G. Montmorillonite with essential oils as antimicrobial agents, packaging, repellents, and insecticides: An overview. Colloid Surf. B-Biointerfaces 2022, 209, 112186. [Google Scholar] [CrossRef]
- Liu, C.; Li, Z.; Li, B.; Zhang, H.; Han, J. Montmorillonite-based aerogels assisted environmental remediation. Appl. Clay Sci. 2023, 236, 106887. [Google Scholar] [CrossRef]
- Guarino, A.W.S.; Gil, R.A.S.S.; Polivanov, H.; Menezes, S.M.C. Characterization of a Brazilian Smectite by Solid State NMR and X-ray Diffraction Techniques. J. Braz. Chem. Soc. 1997, 8, 581–586. [Google Scholar] [CrossRef]
- Rodríguez, M.Á.V. Estudio Comparativo de los Procesos de Activación áCida de Sepiolita, Saponita y Montmorillonita, y de los Productos Resultantes. Ph.D. Thesis, UNED, Universidad Nacional de Educación a Distancia, Madrid, Spain, 1994. Directed by: López González, J.D. Tribunal: Martín Pozas, J.M.; López Peinado, A.J.; Ruano Casero, R.J.; Rodríguez Fernández, J.; Casquero Ruiz, J.D.. [Google Scholar]
- Bergaya, F.; Jaber, M.; Lambert, J.F. Clays and Clay Minerals. In Applied Clay Science: Fundamentals to Industrial Applications; Galimberti, M., Ed.; John Wiley & Sons, Inc.: Hoboken, NJ, USA, 2011; Chapter 1. [Google Scholar]
- Zhou, C.H.; Zhou, Q.; Wu, Q.Q.; Petit, S.; Jiang, X.C.; Xia, S.T.; Li, C.S.; Yu, W.H. Modification, hybridization and applications of saponite: An overview. Appl. Clay Sci. 2019, 168, 136–154. [Google Scholar] [CrossRef]
- Franco, F.; Pozo, M.; Cecilia, J.A.; Benítez Guerrero, M.; Lorente, M. Effectiveness of microwave assisted acid treatment on dioctahedral and trioctahedral smectites. The influence of octahedral composition. Appl. Clay Sci. 2016, 120, 70–80. [Google Scholar] [CrossRef]
- Cecilia, J.A.; Pardo, L.; Pozo, M.; Bellido, E.; Franco, F. Microwave-Assisted Acid Activation of Clays Composed of 2:1 Clay Minerals: A Comparative Study. Minerals 2018, 8, 376. [Google Scholar] [CrossRef]
- Gómez-Pozuelo, G.; Sanz-Pérez, E.S.; Arencibia, A.; Pizarro, P.; Sanz, R.; Serrano, D.P. CO2 adsorption on amine-functionalized clays. Microporous Mesoporous Mater. 2019, 282, 38–47. [Google Scholar] [CrossRef]
- Zhu, R.; Liu, Q.; He, Y.; Liang, P. Rapid construction of nickel phyllosilicate with ultrathin layers and high performance for CO2 methanation. J. Colloid Interface Sci. 2024, 668, 352–365. [Google Scholar] [CrossRef]
- Wang, Y.; Su, X.; Lin, X.; Zhang, P.; Wen, K.; Zhu, J.; He, H. The non-micellar template model for porous clay heterostructures: A perspective from the layer charge of base clay. Appl. Clay Sci. 2015, 116–117, 102–110. [Google Scholar] [CrossRef]
- Cecilia, J.A.; García-Sancho, C.; Franco, F. Montmorillonite based porous clay heterostructures: Influence of Zr in the structure and acidic properties. Microporous Mesoporous Mat. 2013, 176, 95–102. [Google Scholar] [CrossRef]
- Korichi, S.; Elias, A.; Mefti, A.; Bensmaili, A. The effect of microwave irradiation and conventional acid activation on the textural properties of smectite: Comparative study. Appl. Clay Sci. 2012, 59–60, 76–83. [Google Scholar] [CrossRef]
- Brunauer, S.; Emmett, P.H.; Teller, E. Adsorption of gases in multimolecular layers. J. Am. Chem. Soc. 1938, 60, 309–319. [Google Scholar] [CrossRef]
- Dubinin, M.M.; Radushkevich, L.V. The Equation of the Characteristic Curve of Activated Charcoal. Proc. Acad. Sci. USSR Phys. Chem. Sect. 1947, 55, 331. [Google Scholar]
- Carretero, M.I.; Pozo, M.; Sánchez, C.; García, F.J.; Medina, J.A.; Bernabé, J.M. Comparison of Saponite and Montmorillonite Behaviour During Static and Stirring Maturation with Seawater for Pelotherapy. Appl. Clay Sci. 2007, 36, 161–173. [Google Scholar] [CrossRef]
- Christidis, G.E.; Koutsopoulou, E. A Simple Approach to the Identification of Trioctahedral Smectites by X-ray Diffraction. Clay Miner. 2013, 48, 687–696. [Google Scholar] [CrossRef]
- Grim, R.E. Applied Clay Mineralogy; International Series in the Earth Sciences, McGraw-Hill International Series in the Earth and Planetary Sciences; McGraw-Hill: New York, NY, USA, 1962; p. 422. ISBN 0070248338/9780070248335. [Google Scholar]
- Zviagina, B.B.; McCarty, D.K.; Środoń, J.; Drits, V.A. Interpretation of infrared spectra of dioctahedral smectites in the region of OH-stretching vibrations. Clays Clay Miner. 2004, 52, 399–410. [Google Scholar] [CrossRef]
- Madejová, J.; Gates, W.P.; Petit, S. Chapter 5—IR Spectra of Clay Minerals. In Developments in Clay Science; Gates, W.P., Kloprogge, J.T., Madejová, J., Bergaya, F., Eds.; Elsevier: Amsterdam, The Netherlands, 2017; Volume 8, pp. 107–149. ISBN 9780081003558. [Google Scholar]
- Madejová, J.; Komadel, P.; Čičel, B. Infrared study of octahedral site populations in smectites. Clay Miner. 1994, 29, 319–326. [Google Scholar] [CrossRef]
- Johnston, C.T.; Premachandra, G.S. Polarized ATR–FTIR study of smectite in aqueous suspension. Langmuir 2001, 17, 3712–3718. [Google Scholar] [CrossRef]
- Bisio, C.; Gatti, G.; Boccaleri, E.; Marchese, L.; Superti, G.B.; Pastore, H.O.; Thommes, M. Understanding physico–chemical properties of saponite synthetic clays. Microporous Mesoporous Mater. 2008, 107, 90–101. [Google Scholar] [CrossRef]
- Johnston, C.T. Chapter 9—Infrared Studies of Clay Mineral-Water Interactions. In Developments in Clay Science; Gates, W.P., Kloprogge, J.T., Madejová, J., Bergaya, F., Eds.; Elsevier: Amsterdam, The Netherlands, 2017; Volume 8, pp. 288–309. ISBN 9780081003558. [Google Scholar]
- Kloprogge, J.T.; Frost, R.L. Study of the thermal behavior of rectorite by in-situ infrared emission spectroscopy. N. Jb. Miner. Mh. 2000, 4, 145–157. [Google Scholar]
- Cecilia, J.A.; Vilarrasa-García, E.; Cavalcante, C.L.; Azevedo, D.C.S.; Franco, F.; Rodríguez-Castellón, E. Evaluation of two fibrous clay minerals (sepiolite and palygorskite) for CO2 capture. J. Environ. Chem. Eng. 2018, 6, 4573–4587. [Google Scholar] [CrossRef]
- Vilarrasa-García, E.; Ortigosa Moya, E.M.; Cecilia, J.A.; Cavalcante, C.L., Jr.; Jiménez-Jiménez, J. CO2 adsorption on amine modified mesoporous silicas: Effect of the progressive disorder of the honeycomb arrangement. Microporous Mesoporous Mater. 2015, 209, 172–183. [Google Scholar] [CrossRef]
- Chen, C.; Park, D.W.; Ahn, W.S. Surface Modification of a Low-Cost Bentonite for Post-Combustion CO2 Capture. Appl. Surf. Sci. 2013, 283, 699–704. [Google Scholar] [CrossRef]
- Vilarrasa-García, E.; Cecilia, J.A.; Azevedo, D.C.S.; Cavalcante, C.L., Jr.; Rodríguez-Castellón, E. Evaluation of Porous Clay Heterostructures Modified with Amine Species as Adsorbent for CO2 Capture. Microporous Mesoporous Mater. 2017, 249, 25–33. [Google Scholar] [CrossRef]
- Stevens, L.; Williams, K.; Han, W.Y.; Drage, T.; Snape, C.; Wood, J.; Wang, J. Preparation and CO2 Adsorption of Diamine Modified Montmorillonite via Exfoliation Grafting Route. Chem. Eng. J. 2013, 215, 699–708. [Google Scholar] [CrossRef]
- Vilarrasa-García, E.; Cecilia, J.A.; Aguado, E.R.; Jiménez-Jiménez, J.; Cavalcante, C.L., Jr.; Azevedo, D.C.S.; Rodríguez-Castellón, E. Amino-Modified Pillared Adsorbent from Water-Treatment Solid Wastes Applied to CO2/N2 Separation. Adsorption 2017, 23, 405–421. [Google Scholar] [CrossRef]
- Venaruzzo, J.L.; Volzone, C.; Rueda, M.L.; Ortiga, J. Modified Bentonitic Clay Minerals as Adsorbents of CO, CO2, and SO2 Gases. Microporous Mesoporous Mater. 2002, 56, 73–80. [Google Scholar] [CrossRef]











| % SiO2 | % Al2O3 | % MgO | % Fe2O3 | % Na2O | % K2O | % CaO | % MnO | % TiO2 | |
|---|---|---|---|---|---|---|---|---|---|
| Sap | 49.75 | 6.64 | 20.37 | 2.44 | 2.47 | 1.61 | 2.15 | 0.05 | 0.35 |
| Sap-H 4 min | 58.04 | 6.94 | 15.36 | 2.90 | 0.30 | 1.80 | 0.21 | 0.05 | 0.41 |
| Sap-H 8 min | 62.43 | 6.87 | 11.80 | 3.01 | 0.38 | 1.95 | 0.15 | 0.05 | 0.46 |
| Sap-H 12 min | 64.24 | 6.62 | 9.39 | 2.96 | 0.37 | 2.01 | 0.11 | 0.05 | 0.46 |
| Sap-H 16 min | 65.44 | 6.80 | 9.27 | 3.09 | 0.39 | 1.99 | 0.11 | 0.05 | 0.48 |
| Sap-PCH | 76.59 | 2.76 | 8.54 | 1.06 | 0.18 | 0.63 | 0.77 | 0.02 | 0.15 |
| Sap-PCH-H 4 min | 79.33 | 2.47 | 6.18 | 1.01 | 0.12 | 0.51 | 0.07 | 0.02 | 0.16 |
| Sap-PCH-H 8 min | 82.07 | 1.99 | 4.34 | 0.87 | 0.12 | 0.50 | 0.05 | 0.02 | 0.16 |
| Sap-PCH-H 12 min | 82.76 | 1.85 | 3.88 | 0.81 | 0.14 | 0.49 | 0.04 | 0.02 | 0.17 |
| Sap-PCH-H 16 min | 83.84 | 1.86 | 3.48 | 0.71 | 0.11 | 0.48 | 0.04 | 0.01 | 0.16 |
| Mont | 58.14 | 18.13 | 2.91 | 4.18 | 2.99 | 0.43 | 1.82 | 0.03 | 0.27 |
| Mont-H 4 min | 59.10 | 18.71 | 2.83 | 4.21 | 1.05 | 0.40 | 0.93 | 0.03 | 0.27 |
| Mont-H 8 min | 59.90 | 18.73 | 2.71 | 4.20 | 0.81 | 0.39 | 0.67 | 0.02 | 0.28 |
| Mont-H 12 min | 59.53 | 18.74 | 2.73 | 4.16 | 0.77 | 0.37 | 0.55 | 0.03 | 0.27 |
| Mont-H 16 min | 60.00 | 18.84 | 2.72 | 4.16 | 0.80 | 0.39 | 0.55 | 0.02 | 0.28 |
| Mont-PCH | 78.40 | 7.15 | 1.14 | 1.70 | 0.29 | 0.16 | 0.14 | 0.01 | 0.11 |
| Mont-PCH-H 4 min | 79.67 | 7.21 | 1.12 | 1.70 | 0.24 | 0.12 | 0.12 | n.d | 0.11 |
| Mont-PCH-H 8 min | 79.16 | 7.10 | 1.09 | 1.66 | 0.24 | 0.11 | 0.12 | 0.01 | 0.11 |
| Mont-PCH-H 12 min | 78.74 | 7.07 | 1.08 | 1.64 | 0.20 | 0.10 | 0.11 | 0.01 | 0.11 |
| Mont-PCH-H 16 min | 78.46 | 7.03 | 1.00 | 1.59 | 0.23 | 0.11 | 0.11 | n.d. | 0.11 |
| Mont | Mont-H 4 min | Mont-H 8 min | Mont-H 12 min | Mont-H 16 min | |
|---|---|---|---|---|---|
| SBET (m2 g−1) | 49 | 49 | 56 | 61 | 62 |
| Smicro (m2 g−1) | 24 | 22 | 28 | 32 | 33 |
| Sext (m2 g−1) | 25 | 27 | 28 | 29 | 30 |
| Sap | Sap-H 4 min | Sap-H 8 min | Sap-H 12 min | Sap-H 16 min | |
| SBET (m2 g−1) | 128 | 257 | 324 | 331 | 326 |
| Smicro (m2 g−1) | 76 | 129 | 186 | 217 | 221 |
| Sext (m2 g−1) | 52 | 128 | 138 | 114 | 106 |
| Mont | Mont-PCH | Mont-PCH-H 4 min | Mont-PCH-H 8 min | Mont-PCH-H 12 min | Mont-PCH-H 16 min | |
|---|---|---|---|---|---|---|
| SBET (m2 g−1) | 49 | 622 | 660 | 640 | 638 | 653 |
| Smicro (m2 g−1) | 24 | 418 | 445 | 429 | 427 | 447 |
| Sext (m2 g−1) | 25 | 204 | 215 | 210 | 211 | 206 |
| Sap | Sap-PCH | Sap-PCH-H 4 min | Sap-PCH-H 8 min | Sap-PCH-H 12 min | Sap-PCH-H 16 min | |
| SBET (m2 g−1) | 128 | 455 | 515 | 526 | 531 | 508 |
| Smicro (m2 g−1) | 76 | 166 | 230 | 237 | 238 | 179 |
| Sext (m2 g−1) | 52 | 289 | 285 | 290 | 293 | 329 |
| Smectite | CO2 Adsorption (mmol/g) | Conditions | Ref. |
|---|---|---|---|
| Raw smectites | |||
| Bentonite | 0.14 | 25 °C, 1 bar | [39] |
| Bentonite | 0.11 | 25 °C, 1 bar | [40] |
| Bentonite | 0.32 | 45 °C, 1 bar | [20] |
| Montmorillonite | 0.23 | 45 °C, 1 bar | [20] |
| Montmorillonite | 0.16 | 25 °C, 1 bar | [41] |
| Montmorillonite | 0.50 | 10 °C, 1 bar | [42] |
| Montmorillonite | 0.13 | 25 °C, 1 bar | This work |
| Saponite | 0.34 | 45 °C, 1 bar | [20] |
| Saponite | 0.45 | 25 °C, 1 bar | This work |
| Smectites modified with acid treatment | |||
| Bentonite | 0.20 | 25 °C, 1 bar | [18] |
| Bentonite | 0.54 | 25 °C, 1 bar | [43] |
| Montmorillonite | 0.14 | 25 °C, 1 bar | This work |
| Saponite | 0.71 | 25 °C, 1 bar | This work |
| Porous clay heterostructures | |||
| Bentonite-PCH | 0.64 | 25 °C, 1 bar | [40] |
| Montmorillonite-PCH | 0.69 | 25 °C, 1 bar | This work |
| Saponite-PCH | 0.71 | 25 °C, 1 bar | This work |
| Porous clay heterostructures modified with acid treatment. | |||
| Montmorillonite-PCH | 0.70 | 25 °C, 1 bar | This work |
| Saponite-PCH | 0.81 | 25 °C, 1 bar | This work |
Disclaimer/Publisher’s Note: The statements, opinions and data contained in all publications are solely those of the individual author(s) and contributor(s) and not of MDPI and/or the editor(s). MDPI and/or the editor(s) disclaim responsibility for any injury to people or property resulting from any ideas, methods, instructions or products referred to in the content. |
© 2024 by the authors. Licensee MDPI, Basel, Switzerland. This article is an open access article distributed under the terms and conditions of the Creative Commons Attribution (CC BY) license (https://creativecommons.org/licenses/by/4.0/).
Share and Cite
Franco, F.; Cecilia, J.A.; Pardo, L.; Essih, S.; Pozo, M.; dos Santos-Gómez, L.; Colodrero, R.M.P. Reversed Mg-Based Smectites: A New Approach for CO2 Adsorption. Nanomaterials 2024, 14, 1532. https://doi.org/10.3390/nano14181532
Franco F, Cecilia JA, Pardo L, Essih S, Pozo M, dos Santos-Gómez L, Colodrero RMP. Reversed Mg-Based Smectites: A New Approach for CO2 Adsorption. Nanomaterials. 2024; 14(18):1532. https://doi.org/10.3390/nano14181532
Chicago/Turabian StyleFranco, Francisco, Juan Antonio Cecilia, Laura Pardo, Salima Essih, Manuel Pozo, Lucía dos Santos-Gómez, and Rosario M. P. Colodrero. 2024. "Reversed Mg-Based Smectites: A New Approach for CO2 Adsorption" Nanomaterials 14, no. 18: 1532. https://doi.org/10.3390/nano14181532
APA StyleFranco, F., Cecilia, J. A., Pardo, L., Essih, S., Pozo, M., dos Santos-Gómez, L., & Colodrero, R. M. P. (2024). Reversed Mg-Based Smectites: A New Approach for CO2 Adsorption. Nanomaterials, 14(18), 1532. https://doi.org/10.3390/nano14181532

