Photovoltage-Driven Photoconductor Based on Horizontal p-n-p Junction
Abstract
1. Introduction
2. Results and Discussion
2.1. Working Mechanism
2.2. Basic Properties
2.3. Effect of Structural Parameters on Performance
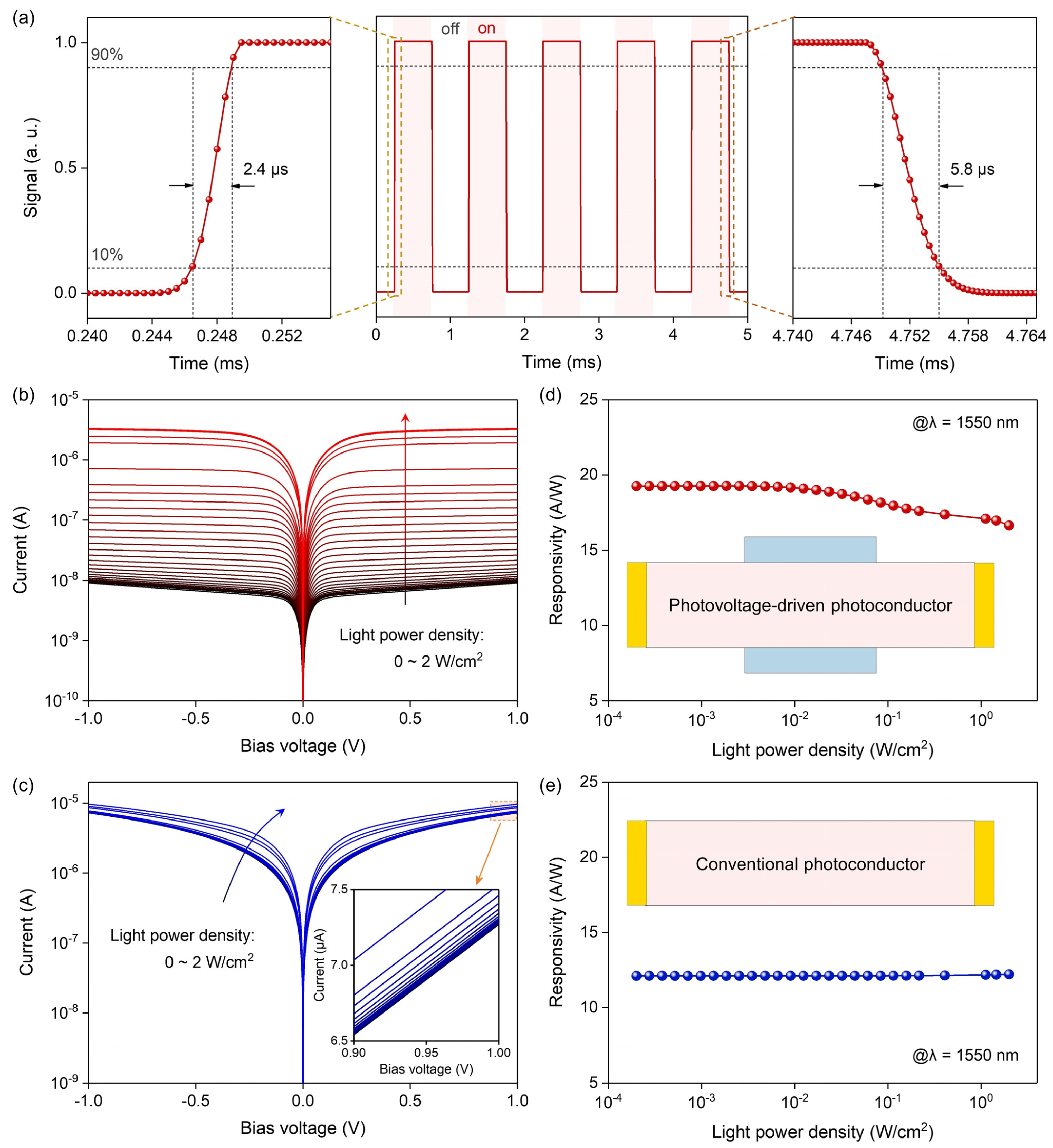
2.4. Transient Response and Performance Comparison
3. Experimental Section
4. Conclusions
Supplementary Materials
Author Contributions
Funding
Data Availability Statement
Conflicts of Interest
References
- Sze, S.M.; Ng, K.K. Physics of Semiconductor Devices, 3rd ed.; John Wiley & Sons, Inc.: Hoboken, NJ, USA, 2007. [Google Scholar] [CrossRef]
- Soci, C.; Zhang, A.; Xiang, B.; Dayeh, S.A.; Aplin, D.P.R.; Park, J.; Bao, X.Y.; Lo, Y.H.; Wang, D. ZnO nanowire UV photodetectors with high internal gain. Nano Lett. 2007, 7, 1003–1009. [Google Scholar] [CrossRef]
- Ni, Z.; Ma, L.; Du, S.; Xu, Y.; Yuan, M.; Fang, H.; Wang, Z.; Xu, M.; Li, D.; Yang, J.; et al. Plasmonic Silicon Quantum Dots Enabled High-Sensitivity Ultrabroadband Photodetection of Graphene-Based Hybrid Phototransistors. ACS Nano 2017, 11, 9854–9862. [Google Scholar] [CrossRef]
- Fang, H.; Hu, W.; Wang, P.; Guo, N.; Luo, W.; Zheng, D.; Gong, F.; Luo, M.; Tian, H.; Zhang, X.; et al. Visible Light-Assisted High-Performance Mid-Infrared Photodetectors Based on Single InAs Nanowire. Nano Lett. 2016, 16, 6416–6424. [Google Scholar] [CrossRef] [PubMed]
- Fu, J.; Yang, C.; Nie, C.; Sun, F.; Li, G.; Feng, S.; Wei, X. Vertical Photodetectors Based on In Situ Aligned Single-crystalline PbS Nanocuboids Sandwiched between Graphene Electrodes. Adv. Opt. Mater. 2023, 11, 2300584. [Google Scholar] [CrossRef]
- Jiang, H.; Wang, M.; Fu, J.; Li, Z.; Shaikh, M.S.; Li, Y.; Nie, C.; Sun, F.; Tang, L.; Yang, J.; et al. Ultrahigh Photogain Short-Wave Infrared Detectors Enabled by Integrating Graphene and Hyperdoped Silicon. ACS Nano 2022, 16, 12777–12785. [Google Scholar] [CrossRef]
- Fu, J.; Que, L.; Jiang, H.; Luo, W.; Nie, C.; Leng, C.; Luo, Y.; Zhou, Y.; Lv, J.; Zhou, D. Effects of doping graphene on the performance of graphene-silicon hybrid photoconductive detectors. Nanotechnology 2020, 31, 485201. [Google Scholar] [CrossRef]
- Konstantatos, G.; Badioli, M.; Gaudreau, L.; Osmond, J.; Bernechea, M.; Garcia de Arquer, F.P.; Gatti, F.; Koppens, F.H. Hybrid graphene-quantum dot phototransistors with ultrahigh gain. Nat. Nanotechnol. 2012, 7, 363–368. [Google Scholar] [CrossRef]
- Sun, F.; Nie, C.; Fu, J.; Xiong, W.; Zhi, Y.; Wei, X. Enhancing and Broadening the Photoresponse of Monolayer MoS2 Based on Au Nanoslit Array. ACS Appl. Mater. Interfaces 2022, 14, 26245–26254. [Google Scholar] [CrossRef]
- Wang, Y.; Gu, Y.; Cui, A.; Li, Q.; He, T.; Zhang, K.; Wang, Z.; Li, Z.; Zhang, Z.; Wu, P.; et al. Fast Uncooled Mid-Wavelength Infrared Photodetectors with Heterostructures of van der Waals on Epitaxial HgCdTe. Adv. Mater. 2022, 34, e2107772. [Google Scholar] [CrossRef]
- Guo, X.; Wang, W.; Nan, H.; Yu, Y.; Jiang, J.; Zhao, W.; Li, J.; Zafar, Z.; Xiang, N.; Ni, Z.; et al. High-performance graphene photodetector using interfacial gating. Optica 2016, 3, 1066–1070. [Google Scholar] [CrossRef]
- Deng, J.; Zong, L.; Zhu, M.; Liao, F.; Xie, Y.; Guo, Z.; Liu, J.; Lu, B.; Wang, J.; Hu, W.; et al. MoS2/HfO2/Silicon-On-Insulator Dual-Photogating Transistor with Ambipolar Photoresponsivity for High-Resolution Light Wavelength Detection. Adv. Funct. Mater. 2019, 29, 1906242. [Google Scholar] [CrossRef]
- Adinolfi, V.; Sargent, E.H. Photovoltage field-effect transistors. Nature 2017, 542, 324–327. [Google Scholar] [CrossRef] [PubMed]
- Fu, J.; Nie, C.; Sun, F.; Jiang, H.; Li, Y.; Li, G.; Wei, X. Photo-Driven Semimetal–Semiconductor Field-Effect Transistors. Adv. Opt. Mater. 2022, 11, 2201983. [Google Scholar] [CrossRef]
- Li, Y.; Chen, G.; Zhao, S.; Liu, C.; Zhao, N. Addressing gain-bandwidth trade-off by a monolithically integrated photovoltaic transistor. Sci. Adv. 2022, 8, eabq0187. [Google Scholar] [CrossRef] [PubMed]
- Jiang, H.; Nie, C.; Fu, J.; Tang, L.; Shen, J.; Sun, F.; Sun, J.; Zhu, M.; Feng, S.; Liu, Y.; et al. Ultrasensitive and fast photoresponse in graphene/silicon-on-insulator hybrid structure by manipulating the photogating effect. Nanophotonics 2020, 9, 3663–3672. [Google Scholar] [CrossRef]
- Jiang, H.; Wei, J.; Sun, F.; Nie, C.; Fu, J.; Shi, H.; Sun, J.; Wei, X.; Qiu, C.W. Enhanced Photogating Effect in Graphene Photodetectors via Potential Fluctuation Engineering. ACS Nano 2022, 16, 4458–4466. [Google Scholar] [CrossRef]
- Fu, J.; Jiang, H.; Nie, C.; Sun, F.; Tang, L.; Li, Y.; Li, Z.; Xiong, W.; Yang, J.; Li, X.; et al. Polarity-Tunable Field Effect Phototransistors. Nano Lett. 2023, 23, 4923–4930. [Google Scholar] [CrossRef]
- Guo, N.; Xiao, L.; Gong, F.; Luo, M.; Wang, F.; Jia, Y.; Chang, H.; Liu, J.; Li, Q.; Wu, Y.; et al. Light-Driven WSe2-ZnO Junction Field-Effect Transistors for High-Performance Photodetection. Adv. Sci. 2020, 7, 1901637. [Google Scholar] [CrossRef]
- Fang, H.; Hu, W. Photogating in Low Dimensional Photodetectors. Adv. Sci. 2017, 4, 1700323. [Google Scholar] [CrossRef]
- Fu, J.; Nie, C.; Sun, F.; Li, G.; Wei, X. Photodetectors Based on Graphene–Semiconductor Hybrid Structures: Recent Progress and Future Outlook. Adv. Devices Instrum. 2023, 4, 0031. [Google Scholar] [CrossRef]
- Fu, J.; Guo, Z.; Nie, C.; Sun, F.; Li, G.; Feng, S.; Wei, X. Schottky Infrared Detectors with Optically Tunable Barriers Beyond the Internal Photoemission Limit. Innovation 2024, 5, 100600. [Google Scholar] [CrossRef] [PubMed]
- Wu, P.; Ye, L.; Tong, L.; Wang, P.; Wang, Y.; Wang, H.; Ge, H.; Wang, Z.; Gu, Y.; Zhang, K.; et al. Van der Waals two-color infrared photodetector. Light. Sci. Appl. 2022, 11, 6. [Google Scholar] [CrossRef] [PubMed]
- Wang, F.; Liu, Z.; Zhang, T.; Long, M.; Wang, X.; Xie, R.; Ge, H.; Wang, H.; Hou, J.; Gu, Y.; et al. Fully Depleted Self-Aligned Heterosandwiched Van Der Waals Photodetectors. Adv. Mater. 2022, 34, e2203283. [Google Scholar] [CrossRef]
- Li, M.; Xie, Y.; Lin, F.R.; Li, Z.; Yang, S.; Jen, A.K.Y. Self-assembled monolayers as emerging hole-selective layers enable high-performance thin-film solar cells. Innovation 2023, 4, 100369. [Google Scholar] [CrossRef]
- Li, M.; Zhou, J.; Tan, L.; Li, H.; Liu, Y.; Jiang, C.; Ye, Y.; Ding, L.; Tress, W.; Yi, C. Multifunctional succinate additive for flexible perovskite solar cells with more than 23% power-conversion efficiency. Innovation 2022, 3, 100310. [Google Scholar] [CrossRef]
- Fu, J.; Leng, C.; Ma, R.; Nie, C.; Sun, F.; Li, G.; Wei, X. Photo-driven fin field-effect transistors. Opto-Electron. Sci. 2024, 3, 230046. [Google Scholar] [CrossRef]
- Halliday, D.; Resnick, R.; Walker, J. Fundamentals of Physics; John Wiley & Sons: Hoboken, NJ, USA, 2013. [Google Scholar]
- Fu, J.; Nie, C.; Sun, F.; Li, G.; Shi, H.; Wei, X. Bionic visual-audio photodetectors with in-sensor perception and preprocessing. Sci. Adv. 2024, 10, eadk8199. [Google Scholar] [CrossRef] [PubMed]
- Li, G.; Fu, J.; Sun, F.; Nie, C.; Wu, J. Graphene/Ge Photoconductive Position-Sensitive Detectors Based on the Charge Injection Effect. Nanomaterials 2023, 13, 322. [Google Scholar] [CrossRef]
- Fu, J.; Ji, L.; Wu, Z.; Li, G.; Nie, C.; Xiong, W.; Wang, F.; Sun, F.; Zhou, Y.; Zang, Z.; et al. An all-in-one optoelectronic logic device with self-distinguishable dual-band photoresponse. Device 2024, 2, 100321. [Google Scholar] [CrossRef]
- Wu, Y.; Nie, C.; Sun, F.; Jiang, X.; Zhang, X.; Fu, J.; Peng, Y.; Wei, X. Uncooled Broadband Photodetection via Light Trapping in Conformal PtTe2–Silicon Nanopillar Heterostructures. ACS Appl. Mater. Interfaces 2024, 16, 22632–22640. [Google Scholar] [CrossRef]
- Jiang, H.; Fu, J.T.; Nie, C.B.; Sun, F.Y.; Tang, L.L.; Sun, J.X.; Zhu, M.; Shen, J.; Feng, S.L.; Shi, H.F.; et al. Gate modulation enhanced position-sensitive detectors using graphene/silicon-on-insulator structure. Carbon 2021, 184, 445–451. [Google Scholar] [CrossRef]
- Ghosh, S.; Patel, M.; Lee, J.; Kim, J. All-Oxide Transparent Photodetector Array for Ultrafast Response through Self-Powered Excitonic Photovoltage Operation. Small 2023, 19, 2301702. [Google Scholar] [CrossRef]
- Jia, Y.; Deng, H.; Lin, X.; Chen, S.; Xia, Y.; Wu, Z.; Yu, J.; Cheng, S.; Lai, Y. Depleted Sb2S3 Thin Film Photoconductive Detectors with Fast Response Speed and High Polarization Sensitivity. Adv. Mater. Interfaces 2022, 9, 2101504. [Google Scholar] [CrossRef]
- Yan, Y.; Chen, Q.; Wang, X.; Liu, Y.; Yu, R.; Gao, C.; Chen, H.; Guo, T. Vertical Channel Inorganic/Organic Hybrid Electrochemical Phototransistors with Ultrahigh Responsivity and Fast Response Speed. ACS Appl. Mater. Interfaces 2021, 13, 7498–7509. [Google Scholar] [CrossRef]
- Kumar, K.; Verma, S.; Sharma, P.; Saini, S.K.; Husale, S.; Achanta, V.G.; Kumar, M. Tuning Ultrafast Carrier Dynamics and Broadband Photo-Response of High-Performance Sb2Se3 Thin Film Photodetectors: A Substrate Dependent Study. ACS Photonics 2024, 11, 1031–1043. [Google Scholar] [CrossRef]
- Patel, M.; Kim, H.-S.; Park, H.-H.; Kim, J. Silver nanowires-templated metal oxide for broadband Schottky photodetector. Appl. Phys. Lett. 2016, 108, 141904. [Google Scholar] [CrossRef]
- Zuo, C.; Cai, S.; Li, Z.; Fang, X. A transparent, self-powered photodetector based on p-CuI/n-TiO2 heterojunction film with high on–off ratio. Nanotechnology 2022, 33, 105202. [Google Scholar] [CrossRef]
- Gour, K.S.; Karade, V.; Pandey, A.; Kumar, M.; Bhattacharyya, B.; Babar, P.; Lee, D.M.; Husale, S.; Singh, V.N.; Kim, J.H. High-speed, low-bias operated, broadband (Vis-NIR) photodetector based on sputtered Cu2ZnSn(S, Se)4 (CZTSSe) thin films. Sens. Actuators A Phys. 2020, 314, 112231. [Google Scholar] [CrossRef]
- Wang, F.; Zhang, T.; Xie, R.; Wang, Z.; Hu, W. How to characterize figures of merit of two-dimensional photodetectors. Nat. Commun. 2023, 14, 2224. [Google Scholar] [CrossRef]





Disclaimer/Publisher’s Note: The statements, opinions and data contained in all publications are solely those of the individual author(s) and contributor(s) and not of MDPI and/or the editor(s). MDPI and/or the editor(s) disclaim responsibility for any injury to people or property resulting from any ideas, methods, instructions or products referred to in the content. |
© 2024 by the authors. Licensee MDPI, Basel, Switzerland. This article is an open access article distributed under the terms and conditions of the Creative Commons Attribution (CC BY) license (https://creativecommons.org/licenses/by/4.0/).
Share and Cite
Han, F.; Mi, G.; Luo, Y.; Lv, J. Photovoltage-Driven Photoconductor Based on Horizontal p-n-p Junction. Nanomaterials 2024, 14, 1483. https://doi.org/10.3390/nano14181483
Han F, Mi G, Luo Y, Lv J. Photovoltage-Driven Photoconductor Based on Horizontal p-n-p Junction. Nanomaterials. 2024; 14(18):1483. https://doi.org/10.3390/nano14181483
Chicago/Turabian StyleHan, Feng, Guanyu Mi, Ying Luo, and Jian Lv. 2024. "Photovoltage-Driven Photoconductor Based on Horizontal p-n-p Junction" Nanomaterials 14, no. 18: 1483. https://doi.org/10.3390/nano14181483
APA StyleHan, F., Mi, G., Luo, Y., & Lv, J. (2024). Photovoltage-Driven Photoconductor Based on Horizontal p-n-p Junction. Nanomaterials, 14(18), 1483. https://doi.org/10.3390/nano14181483

