Next Article in Journal
Optimization of Thermoelectric Properties and Physical Mechanisms of Cu2Se-Based Thin Films via Heat Treatment
Next Article in Special Issue
Toughening Mechanism in Nanotwinned Boron Carbide: A Molecular Dynamics Study
Previous Article in Journal
Cellulose Nanofibrils Dewatered with Poly(Lactic Acid) for Improved Bio-Polymer Nanocomposite Processing
Previous Article in Special Issue
How Well Can Quantum Embedding Method Predict the Reaction Profiles for Hydrogenation of Small Li Clusters?
 
 
Font Type:
Arial Georgia Verdana
Font Size:
Aa Aa Aa
Line Spacing:
Column Width:
Background:
Article

Enhanced Carrier Transport Performance of Monolayer Hafnium Disulphide by Strain Engineering

Department of Electrical Engineering, National Chung Hsing University, Taichung 402202, Taiwan
*
Author to whom correspondence should be addressed.
Nanomaterials 2024, 14(17), 1420; https://doi.org/10.3390/nano14171420
Submission received: 8 August 2024 / Revised: 27 August 2024 / Accepted: 28 August 2024 / Published: 30 August 2024
(This article belongs to the Special Issue Theoretical Calculation Study of Nanomaterials: 2nd Edition)

Abstract

For semiconducting two-dimensional transition metal dichalcogenides (TMDs), the carrier transport properties of the material are affected by strain engineering. In this study, we investigate the carrier mobility of monolayer hafnium disulphide (HfS2) under different biaxial strains by first-principles calculations combined with the Kubo–Greenwood mobility approach and the compact band model. The decrease/increase in the effective mass of the conduction band (CB) of monolayer HfS2 caused by biaxial tensile/compressive strain is the major reason for the enhancement/degradation of its electron mobility. The lower hole effective mass of the valence bands (VB) in monolayer HfS2 under biaxial compressive strain improves its hole transport performance compared to that under biaxial tensile strain. In summary, biaxial compressive strain causes a decrease in both the effective mass and phonon scattering rate of monolayer HfS2, resulting in an increase in its carrier mobility. Under the biaxial compressive strain reaches 4%, the electron mobility enhancement ratio of the CB of monolayer HfS2 is ~90%. For the VB of monolayer HfS2, the maximum hole mobility enhancement ratio appears to be ~13% at a biaxial compressive strain of 4%. Our results indicate that the carrier transport performance of monolayer HfS2 can be greatly improved by strain engineering.

1. Introduction

Since the thickness of TMDs can be reduced to less than a few nanometers, TMDs are a promising alternative channel of materials for achieving ultra-thin body field effect transistors (FETs) that are robust to short channel effects. TMDs can be classified into two types based on their crystal structures: trigonal prismatic (2H-TMD type) and octahedral (1T-TMD type). MoS2 is a typical TMD with a 2H-TMD type structure. TMDs with a 1T-TMD type (group space P3m1) structure have much lower lattice thermal conductivity and better thermoelectric performance at room temperature. This implies that HfS2 is a good 2D thermoelectric material. Hao Wang et al. predicted that the lattice thermal conductivity of bulk HfS2 is much lower than that of MoS2, making the HfS2 system a promising thermoelectric material [1]. They also investigated the thermoelectric properties of monolayer HfS2 and demonstrated that it is an excellent n-type thermoelectric material, with much improved thermoelectric performance when compared with the bulk. Furthermore, the valence band valleys of monolayer HfS2 can be tuned by external biaxial tensile strain owing to the degeneracy of the valence band valleys reaching a maximum at a strain value of 6%. Monolayer HfS2, like the CdI2-type structure, has become well-known due to its low lattice thermal conductivity resulting in promising applications in thermoelectric engineering [2]. Hongyan Guo et al. performed a systematic first-principles study of the effect of tensile strains on the electronic properties of early monolayer TMDs and suggested that tensile strain could significantly affect the electronic properties of many early TMDs in general, and the electronic bandgap in particular [3]. The bandgap of group IVB TMDs such as HfS2 increased as biaxial tensile strain and started to decrease at a strain of 6~8%. Their investigation suggested that strain engineering was an effective approach for modifying the electronic properties of TMDs such as monolayer HfS2, thereby opening an alternative way for future electronic applications. Recently, Mayuri Sritharan et al. pointed out that transition metal dichalcogenide (TMD) monolayers with native high-κ oxides presented a new avenue for the development of new generation field-effect transistor (FET) devices [4]. These TMD materials were experimentally shown to form a natively compatible high-dielectric oxide layer, which could enhance both transistor device scaling and supply voltage shrinking. They found that monolayer hafnium disulphide (HfS2) exhibited isotropic transport at a channel length of 10 nm with ON currents over 1000 μA/μm and good subthreshold swing and identified monolayer HfS2 as a superior material within the TMD family for ultra-scaled FETs.
Dr. Afzalian et al. from imec developed an atomistic-modelling solver (ATOMOS) to assess the physics and fundamental performance potential of a monolayer HfS2 FET down to a gate length of 5 nm, including the effect of carrier phonon scattering [5,6]. They predicted that monolayer HfS2 FET had good scalability down to a gate length of 5 nm, with a promising high on the current level. They also proposed the concept of a dynamically doped 2D FET, which scaled better than other 2D FET counterparts. Used in combination with a best mobility material such as monolayer HfS2, it allowed for the maintenance of excellent performance on the drive current and competitive energy-delay. In Reference [7], Dr. Jiwon Chang investigated the ballistic transport characteristics of monolayer HfS2 FET via quantum transport simulation. He focused on the role of degenerate conduction band (CB) valleys in monolayer HfS2 and predicted that the effect of channel orientation on device performance was much weaker in monolayer HfS2 FET owing to the degenerate CB valleys of monolayer HfS2.
Kanazawa et al. first experimentally evaluated the FET performance of HfS2 and revealed its potential for transistor channels [8]. Although the other properties of HfS2 were not thoroughly investigated, they also reported some basic characteristics of HfS2 essential for FET device fabrication. Continuous efforts to seek other 2-D materials led to the discovery of anisotropic 2-D materials. Unlike Mo-based TMDs, HfS2 is characterized by its highly anisotropic CB. Theoretical investigations of HfS2 FETs have been performed [5,6,7]. Anisotropic 2-D materials other than phosphorene, such as Hf-based-TMDs, have been explored with density functional theory (DFT) calculations [9,10]. Monolayers of Hf-based TMDs such as HfS2 are quite different from those of Mo-based TMDs because of different crystal symmetry and atomic bonding. They have indirect bandgaps with three-fold degenerate conduction band (CB) valleys whose dispersions around the minimum CB are highly anisotropic. Among Hf-based-TMDs, monolayer HfS2 exhibits sizable bandgaps, larger than 1 eV, suitable for nanoscale FET applications. In this study, we present a comprehensive computational study of the carrier mobility of monolayer HfS2 based on the first principle method, compact band model, and Kubo–Greenwood mobility approach. We discuss the influence of the band structure anisotropy of monolayer HfS2 on its carrier transport performance, as well as the strain engineering of monolayer HfS2.
As a member of 1T-MX2, the carrier transport performance of monolayer HfS2 deserves to be further explored and improved. Although its carrier transport performance has been reported, few studies have investigated the effects of strain on this material. Strain effects on materials can tune its electronic band degeneracy and broaden its carrier transport properties. In the present study, we use DFT accompanied by Boltzmann transport theory and deformation potential theory to study the strain effect on the carrier transport properties of monolayer HfS2. The results indicate that the carrier effective mass is highly shrunken under the biaxial compressive strain reaches 4%. As a consequence, the carrier mobility of monolayer HfS2 reaches the highest value for both electron and hole. In this case, we surprisingly discovered that the highest mobility value was due to the carrier effective mass shrinking.
The effect of strain on the band structure and bandgap of monolayer HfS2 has been investigated in previous studies [11,12], showing that the application of tensile and compressive biaxial strain results in the bandgap increasing and decreasing, respectively. Manouchehr Hosseini et al. studied the effect of strain on the mobility of monolayer MoS2 and found that tensile biaxial strain could significantly enhance its mobility [13]; however, an investigation of strain effect on the mobility of other 1T-TMDs such as HfS2 was still missing. The conduction and valence band structures of HfS2 are different owing to indirect bandgap and the conduction band and valence band having different effective masses.
In this study, we present a comprehensive analysis of the effect of biaxial strain on the mobility of monolayer HfS2, employing the first principle method to perform band structure calculations and then the Kubo–Greenwood mobility approach for evaluating carrier mobility [14,15]. The methodology for the first principle method, compact band model, and Kubo–Greenwood mobility approach is briefly presented in Section 2. The effects of biaxial strain on the band structure and mobility of monolayer HfS2 are discussed in Section 3, and the concluding works are presented in Section 4.

2. Computational Methodology

This section explains the computational methodology for the evaluation of band structure, compact band model, and carrier mobility.

2.1. Band Structure of Monolayer HfS2

DFT calculations for determining the electronic structure and structure optimization of monolayer HfS2 were performed QuantumATK software (T-2022.03.) environment [16] by using a linear combination of the pseudoatomic orbital method and generalized gradient approximation (GGA) to describe the exchange–correlation functional. The plane wave energy cutoff was set to 500 eV and the Brillouin zone was sampled by an 8 × 8 × 1 mesh of Monkhorst–Pack k points. All the atomic positions were completely relaxed until the Hellmann–Feynman forces converged to 0.005 eV/Å and energy to 1meV. We adopted a 13 Å vacuum layer along the z-axis to avoid interaction between periodic images. Moreover, we also took into account the Heyd–Scuseria–Ernzerhof (HSE06) functional for the band structure calculation. The phonon spectrum was also obtained by QuantumATK.
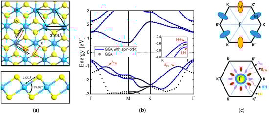
Figure 1a shows the top and side views of atomic structure of the monolayer HfS2. The band structure of monolayer HfS2 and the corresponding first Brillouin Zone (1st BZ) are shown in Figure 1b. Monolayer HfS2 is a layered material composed of vertically stacked S–Hf–S layers through van der Waals forces. Each single S–Hf–S layer consists of two hexagonal planes of S atoms and an intermediated hexagonal plane of Hf atoms. Note that HfS2 is AB-stacked in HfS2. We constructed monolayer HfS2 structure by using the lattice parameter (a = 3.64 Å), which is close to the data presented in Reference [12]. The highly anisotropic CB of monolayer HfS2 with its minimum located at the M point is found in Figure 1b. The calculated indirect bandgap was 1.29 eV, in close agreement with the previous theoretical prediction [11]. There were three conduction band valleys in the 1st BZ of monolayer HfS2, as seen in Figure 1b. We extracted the electron effective masses of three M valleys in the two directions of armchair (AR) and zigzag (ZA) through parabolic fitting of the band structure, and these values are listed in Table 1. In the AR direction (i.e., M’–Г), valley M’ has a very heavy effective mass of mc = 2.45m0 with a light transverse effective mass, while the other two M valleys have light ones of mc = 0.31m0. In the other direction, ZA direction (i.e., M’–K), valley M’ has a light effective mass of mc = 0.24m0 with a heavy transverse effective mass, and the other two M valleys show heavier effective masses of mc = 0.74m0. The valence band structure of monolayer 1T-HfS2 along the Г–M and Г–K directions is also shown in Figure 1b, and the corresponding contour plots near the conduction band minima and valence band maximum are shown schematically in Figure 2. The CB minima at each M point are highly anisotropic, but the existence of three such valleys within the 1st BZ with rotational symmetry relaxes the overall direction dependence of transport, leading to similar monolayer HfS2 n-type-FET performance in the AR and ZA directions [7]. Conversely, the degenerate and nearly isotropic heavy hole (HH) and light hole (LH) VB peaks are located at the Г point (Figure 1b) according to ab-initio calculation with GGA only, and spin–orbit coupling (SOC) breaks the degenerate at the Г point and induced valence band HH and LH splitting via ab-initio calculation—performed using GGA and SOC.
Figure 2 shows CB contour plots of unstrained HfS2 with the corresponding band structures around the M point as shown in Figure 1b. We can characterize two types of effective mass, namely the effective mass mc in the transport direction and the density of states (DOS) effective mass, mDOS. We calculate mc by fitting the curvature of the CB minimum/VB maxima in the transport direction. For example, the mc of the M’ valley along the M–K direction (AR direction) equals mMK and mAR. Details about mc and mDOS are presented in Table 1. The formula of mDOS is followed by the definition from Reference [17]. In unstrained HfS2, the mDOS of the valence band HH and LH are 0.47 m0 and 0.18 m0, respectively, as listed in Table 1. These values for the effective mass of the CB and VB of monolayer HfS2 are in agreement with the results of References [17,18]. In our paper, biaxial strain is defined as ε = (a − a0)/a0, where a0 and a denotethe equilibrium and deformed lattice constants, respectively. The effective mass of the carriers is calculated using the definition given in [19].

2.2. Compact Band Model

The band structure of both the CB and VB of monolayer HfS2 cannot be accurately described by using the simple effective mass approximation (EMA) model. First principle band structure was calculated using GGA deviates from the parabolic dispersion at low energies, which yielded the energy-dependent DOS. Here, to describe the E–K dispersion of the CB, we used the following implicit expression with energy-dependent effective mass (i.e., Rudenko model [20]),
E = 2 k x 2 2 m x E + 2 k y 2 2 m y E
where mx(E) and my(E) are energy-dependent functions. After converting the coordinate into a polar coordinate, Equation (1) can be rewritten as Equation (2):
E = 2 K 2 c o s 2 θ 2 m x E + 2 K 2 s i n 2 θ 2 m y E
We have E = 2 k x 2 2   m x E when θ = 0 ° , we used E 1 + α x E = 2 k 2 2 m x 0 to fit the E–K relationship along the x direction and obtain the energy-dependent effective mass, mx(E),
m x E = m x 0 1 + α x E
For θ = 90 ° ,we define the energy-dependent effective mass, my(E), as follows:
m y E = m y 0 1 + α y E
Finally, we transform Equation (2) to analytical form as follows:
E = 2 c o s 2 θ 2 m x 0 1 + α x E + 2 s i n 2 θ 2 m y 0 1 + α y E K 2
Rearranging Equation (5) into the K(E, θ) form yields:
K 2 = E 2 c o s 2 θ 2 m x 0 1 + α x E + 2 s i n 2 θ 2 m y 0 1 + α y E
We summarize the parameters used in the Rudenko model for the CB of monolayer HfS2 in Table 2.
For the VB, we adopted the new compact model to fit the first principle valence band structure of monolayer HfS2. To this end, the K(E) form of the new compact model, which is the opposite of the common E–K relationship, is used to possibly facilitate the successive calculation of other key physical quantities such as the DOS and energy contours for the VB. The form of the new compact model for HfS2 is expressed as follows:
K E , θ = A E + C E × cos 6 θ
Two major parameters appear in the new compact model: First, the directionality (θ) help determine the direction of k moving towards various symmetry points. Second, the energy effect determined by the A(E) and C(E) functions. The form of functions A(E) and C(E) is the combination of k in different directions. Monolayer HfS2 presents six-fold symmetry, and the boundary condition is EMA-modelled with non-parabolic correction. Therefore, we have the following:
E 1 + α 1 v E = 2 k 1 2 2 m 1 v   w h e n   K = k 1   a t   θ = 0
E 1 + α 2 v E = 2 k 2 2 2 m 2 v   w h e n   K = k 2   a t   θ = π 6
The form of k1 and k2 was acquiredfrom the boundary condition. In the equation, the coefficients of α, β, and mi (i = 1, 2) can be acquired by fitting with the first principle band structure. On the other hand, when θ = 0 or π/6, other relationship can be acquired as shown in Equations (10) and (11), respectively.
k 1 = A E + C E
k 2 = A E C E
It can be further solves to obtain the relationship between key energy-dependent parameters such as A(E) and C(E) with k1 and k2.
A E = 1 2 k 1 + k 2
C E = 1 2 k 1 k 2
We summarize the parameters used in the new compact model for the VB of monolayer HfS2 in Table 3.
Finally, the Rudenko model and the new compact model are in the form of K(E, θ), and they can be used to calculate the DOS per spin:
D E = 1 2 π 2 0 2 π K E , θ d d E K E , θ   d θ
Reference [11] was followed to define the x component of the group velocity square Vx2(E):
V x 2 E =   1 4 π 2 0 2 π V x 2 K E , θ K E , θ E d θ 1 4 π 2 0 2 π K E , θ K E , θ E d θ

2.3. Kubo–Greenwood Formula for Carrier Mobility

According to the compact band structure as introduced in the previous subsection, we calculated the carrier transport using the Kubo–Greenwood mobility formula [14,15]. The parameters used to calculate the carrier mobility of monolayer HfS2 are presented in Table 4. This calculation uses the momentum relaxation time approximation according to the Kubo–Greenwood formula [14,15]. The scattering mechanisms included in this calculation contain the phonon scatterings, such as acoustic phonon and optical phonon. Once the relaxation times of the phonon-limited scattering mechanisms were determined, the carrier mobility formula for each band, shown as follows, was derived from the Kubo–Greenwood formula.
μ x x = e 0 D E   V x 2 E   τ E   f E   1 f E   d E k B   T   0 D E   f E   d E = e τ m c
where f(E) denotes the Fermi–Dirac function, E is the total energy, Vx2(E) is the energy-dependent group velocity square along the x direction, τ(E) is the scattering time, and D(E) is the density of states. E0 is the band edge energy. The scattering time is determined by summing all scattering rates, considered:
1 τ E = 1 τ A D P E + 1 τ O D P E + 1 τ P O P E ,   where
1 τ A D P E = 2 π D a c 2 k B T ρ v s 2 D E
1 τ O D P E = 2 π D o p 2 2 ρ ω o p N q D E + ω o p + N q + 1 D E ω o p
where τADP(E) and τODP(E) denote the scattering times of acoustic phonon and optical phonon, respectively. Nq is the Bose occupation of phonon ωop. Dac and Dop denote the deformation potential of acoustic and optical phonon, respectively. In monolayer HfS2, polarization due to the lattice vibration of the polar LO phonon is oriented along the plane of the layer. The microscopic approach based on the atomic Born effective charges is used, and scattering rate formula, τPOP(E), for polar LO–phonon interaction in monolayer HfS2 is given in the literature [6,21,22].
Assuming the scattering time τ(E) to be independent of the energy, E, it is derived from Equation (16) to obtain the conductivity effective mass mc [23,24]:
m c = k B T 0 D E   f E   d E 0 D E   V x 2 E f E 1 f E   d E
It is straightforward to use the right hand side of Equations (16) and (20) to obtain the average scattering time, <τ>.

3. Results and Discussion

In unstrained monolayer HfS2, the lowest minima in the CB are denoted as M’ valley and M valley in Figure 1b. One M’ valley and two M valleys are degenerate in the unstrained and biaxial strain conditions, respectively. However, upon the application of biaxial strain, they do not split into one M’ valley and two M valleys with different effective masses and energy minima. For the VB of the unstrained monolayer HfS2, the top two bands are denoted as the HH band and LH band, respectively. Ab-initio band structure calculation using GGA with SOC. We further investigated the band structure close to the CB and VB via contour plot, which shows the constant energy lines as shown in Figure 2. The CB resembles a valley with a parabolic elliptic energy dispersion, known as the M’ and M valleys. For the valence bands, the LH looks like an isotropic parabolic band while the HH is a six-fold symmetry band. The contours around the HH and LH bands are almost isotropic and circular at low energy, whereas the M’ and M valleys demonstrate anisotropic behavior. While the valence bands, including the HH and LH, show almost isotropic dispersion, a strong anisotropic one occurs in the CB around the M’ and M points owing to the difference in the orbital structures of the VB (p orbit of S atom) and CB (d orbit of Hf atom).
In Figure 3, we present the DOS and velocity square of monolayer HfS2, as obtained using the compact band models and ab-initio calculations. Our model fits very well with the ab-initio results, owing to the use of an energy-dependent effective mass function. Our model is better than the EMA model (which used a constant effective mass) for carrier mobility calculation.
The key parameters including the effective masses and non-parabolicity factors of the CB and VB compact models under biaxial strain are shown in Figure 4. The effective mass and the non-parabolicity factor of the Rudenko model are extracted from the DFT-calculated band structure and reported in Figure 4a and Figure 4b, respectively. In the CB, two paths in the M’ valley have different effective masses. We denote the effective mass in the armchair direction (M’–Г) as my0 and the effective mass along the zigzag direction (i.e., M’–K) as mx0. As illustrated in the figure, the my0 in the M’ valley is ~10× larger than mx0. The non-parabolicity factor αy is extremely small compared to αx, and it slightly increases as tensile strain increases. The difference of two effective masses in the M’ valley increases as the strain increases, and the M’ valley exhibits more anisotropy under tensile strains. Meanwhile, the effective mass of the M’ valley decreases as the strain increases and becomes the lowest effective mass at a compressive biaxial strain of 4%. In Figure 4c,d, the key parameters of the new compact band model are also extracted from the ab-initio valence band HH structure. In Figure 4e,f, the key parameters of the new compact band model are also extracted from the ab-initio valence band LH structure. The effective mass decreases as biaxial compressive strain increases for the CB and VB models, while it increases as biaxial tensile strain increases. The hole effective mass was explored under various strains. Two HH and LH bands contribute to the major VB over most of the applied strain range. The HH and LH exhibit the lowest effective mass under compressive biaxial strain, and the top VB corresponds to the HH band in this strain range. The effective mass of the HH band increases as the biaxial strain changes from a compressive to the tensile regime.
Figure 5 illustrates the band structure of the unstrained and strained monolayer HfS2, including the lowest M valley in the CB and the two highest VBs (HH and LH). The band structure is plotted for five strains: −4%, −2%, 0%, 2%, and 4%. The M valley HfS2 is lower than the other valleys and located at the conduction band minimum (CBM). Note that the M valley is still dominant across all strain regions. As can be inferred from this figure, the strain can modify the shape and energy of each valley. Under biaxial strain, the CB and the VB of the edges shift upward and downward as strain increases, respectively. The energy distance between the M valley and the Г valley of unstrained material is evaluated to be ~720 meV, which is consistent with the values reported in References [4,11]. Biaxial compressive strain increases this energy distance, tensile strain decreases it. This implies that the effective mass along the M’–Г direction decreases with increasing biaxial compressive strain. For the VBs, the HH and LH energy splitting at the Г point is due to SOC not being sensitive to strain. In particular, a relatively large biaxial compressive strain shifts the band edge energy of the HH band so that it becomes the top VB, as shown in Figure 5b. Here we can anticipate that, while under compressive strain, one can neglect the scattering between the HH band and the ΔГM and ΔГK bands, and, under tensile strain, this type of scattering can significantly degrade hole mobility.
Strain ranging from −4% to +4% is applied to the band structure of monolayer HfS2 in Figure 6. The bandgap of monolayer HfS2 as a function of biaxial strain is shown in Figure 6a. The bandgap of unstrained HfS2 is 1.25 eV, and in agreement with References [3,6,25,26]. The strain dependence of the bandgap from our work is in agreement with References [1,11,12]. It is well known that strain can modify band structure. In this study, we found that biaxial tensile strain led to an increase in the bandgap, and that biaxial compressive strain led to a decrease in the bandgap. Under the biaxial stress effect es of −4 to 4%, the bandgap of the system increases from 0.65 to 1.67 eV. In Figure 6b, the absolute conduction band edge (Ec) and the valence band edge (Ev) for ab-initio calculations performed using GGA with and without SOC as a function of the biaxial strain. Ec denotes the M valley and Ev denotes the HH band. The energy at the bottom (top) of CB (VB) increases (decreases) with respect to strain increase. Both Ec and Ev almost change linearly with respect to biaxial strain, but the slope is opposite. SOC will caused an upward shift in the energy of Ev. Moreover, the strain-induced modulation of Ec was relatively smaller than that of Ev. Figure 6c shows the variation in energy difference between the Г and M valleys denoted as Δ1, and the valence band difference between the HH band and the ΔГK band (Δ3) and the HH–LH band splitting (Δ2) under different biaxial strains, respectively.
According to Reference [6], dynamic doping with a gate voltage of the 2D FET electrostatically induces a high carrier concentration and maintains the high carrier mobility of monolayer HfS2. We used a carrier density of 6 × 1012 cm−2 in the following results for calculated carrier mobility. Figure 7a shows the room temperature electron mobility without polar optical phonon (POP) scattering versus the electron density for the unstrained monolayer HfS2 in two compact models. The calculated electron mobility calculated using the Rudenko model is lower than that using EMA model owing to the conduction band non-parabolicity effect. This result implies that the non-parabolicity effect is important and cannot be neglected in electron mobility calculation. The SOC causes almost no change in the CB according to the ab-initio GGA calculation, while the result in calculated electron mobilities identical to those obtained using the Rudenko model which fits the GGA ab-initio conduction bands with and without SOC. At low carrier concentrations, mobility is strongly limited by POP scattering. However, as the carrier concentration increases, the screening effect reduces the impact of POP scattering. As can be seen in Figure 7b, the electron mobility with POP scattering increases with the electron density for monolayer HfS2 because of screening, and our calculations are in agreement with imec’s work [6]. Square symbol is imec’s calculated data from Reference [6]. The biaxial strain dependency of the intrinsic phonon-limited mobility is presented in Figure 8a. Enhancement factors due to −Δm/m and −Δτ/τ versus biaxial strain are shown in Figure 8b.
Apparently, the effects of compressive and tensile strain on electron mobility are distinct, and this difference can be mainly be attributed to the roles of electron effective mass and scattering rate. For example, under biaxial compressive strain, the electron effective masses of the M’ and M valleys are much lower compared to the unstrained condition. A reduced equivalent effective mass mc implies a decrease in the density of states. According to Equation (19), the scattering time increases owing to the reduced density of states, which in turn enhances electron mobility. Under biaxial tensile strain, however, the electron effective mass of the CB higher is higher than that of the unstrained one. With a biaxial compressive strain of 4%, the phonon-limited mobility becomes 90% higher than that of the unstrained material. In contrast, a biaxial tensile strain of 4% reduces the electron mobility by ~40% as compared to that under the unstrained condition, owing to the increase in both effective mass and scattering rate. Moreover, Figure 8 indicates that the biaxial strain-induced electron mobility enhancement with compressive strain is larger than that with tensile strain.
Figure 9a shows the room temperature hole mobility without POP scattering versus hole density for the unstrained monolayer HfS2 in two compact models. As can be inferred from these plots,, the hole mobility determined using the new compact band model is lower than that determined using the EMA model, owing to the valence band non-parabolicity effect. The non-parabolicity effect in the band structure alters the carrier dynamics within the band, which in turn affects carrier mobility and electrical conductivity. This implies that the non-parabolicity effect is important in hole mobility calculation and cannot be ignored. The enhanced screening effect of POP scattering weakens the electrostatic interactions between holes. As illustrated in Figure 9b, the hole mobility with POP scattering increases with the hole density for monolayer HfS2 because of screening, and our calculations are in agreement with the imec’s work [6]. Square symbol is imec’s calculated data from Reference [6]. Note that SOC strongly affects HH and LH valence band degeneracy at the Г point and causes valence band splitting. The calculated hole mobility calculated using the new compact model, which fits the GGA ab-initio valence band structure with SOC, is higher than the one without SOC owing to the HH and LH band splitting effect. Most holes are in the HH band in the GGA ab-initio valence band structure, and with effective mass shrinkage of the HH due to SOC. The findings from the calculations for hole mobility can be attributed to these trends, as shown in Figure 9b. The biaxial strain-dependency of the intrinsic phonon-limited hole mobility change ratio is presented in Figure 10a. The enhancement factors of hole mobility due to −Δmc/mc and −Δ<τ>/<τ> versus biaxial strain are shown in Figure 10b. The relationship between the hole mobility change ratio and the enhancement factors is included. Apparently, the effects of compressive and tensile biaxial strain on hole mobility are remarkably different, which can mainly be attributed to the role of hole effective mass and scattering rate. For example, under biaxial compressive strain, the effective masses of the HH and LH bands are much lower than in an unstrained condition, which enhances hole mobility. By contrast, under biaxial tensile strain, the hole effective mass of VB is higher than that of the unstrained one. In the biaxial strain range of −4% to 4%, hole inter-band scattering due to the HH band and satellite bands such as ΔГM and ΔГM is not serious and can be ignored. This is because high mobility generally means that carriers can traverse longer distances within the material (with a longer mean free path) without being affected by scattering. Consequently, the probability of carriers interacting with defects, lattice vibrations, or other scattering in the material is decreased. Moreover, when biaxial tensile strain is >4%, it increases the valence band degeneracy of monolayer HfS2 even more, and the degenerate valence bands and higher inter-band phonon scattering rate reduce the hole mobility. Under biaxial compressive strain, the hole mobility increases because of the reduction in the hole effective mass and results in the reduction of the scattering rate. Under a biaxial compressive strain of 4%, the phonon-limited mobility increases by ~13% compared to that of the unstrained material. In contrast, a biaxial tensile strain of 4%, the hole mobility decreases by ~11% compared to that of the unstrained, owing to increases in the hole effective mass and scattering rate.

4. Conclusions

We examined the carrier transport performances of monolayer HfS2 through ab-initio calculation, compact band model, and the Kubo–Greenwood mobility approach. This study revealed that SOC has a substantial and non-negligible impact on the carrier transport properties of HfS2. We proposed two simple yet accurate compact models to analyze the CB and VB of HfS2, using energy-dependent effective masses to characterize the material properties. The dependency of carrier mobility performances on strain engineering is assessed and benchmarked against the carrier mobility of the unstrained materials. The results indicated that, under a compressive biaxial strain reaches 4%, the carrier mobility exhibits the maximum value. As a result, the highest electron and hole mobility values under the 4% compressive biaxial strained case are ~1.9 and ~1.1 times greater, respectively, than those of the unstrained one. These findings offer physical insights into the tuning of carrier transport properties for monolayer HfS2.

Author Contributions

Methodology, Y.-F.C. and S.-T.C.; Investigation, Y.-F.C.; Writing—original draft, Y.-F.C.; Writing—review & editing, S.-T.C.; Supervision, S.-T.C. All authors have read and agreed to the published version of the manuscript.

Funding

This work was supported by the National Science Council, Taiwan, R.O.C., under contract no. NSTC 112-2221-E-005-098. Computing support was provided by the National Center for High-Performance Computing (NCHC), Taiwan.

Data Availability Statement

Data are contained within the article.

Conflicts of Interest

The authors declare no conflicts of interest.

References

  1. Wang, H.; Lan, Y.-S.; Dai, B.; Zhang, X.-W.; Wang, Z.-G.; Ge, N.-N. Improved Thermoelectric Performance of Monolayer HfS2 by Strain Engineering. ACS Omega 2021, 6, 29820–29829. [Google Scholar] [CrossRef] [PubMed]
  2. Song, H.-Y.; Sun, J.-J.; Li, M. Enhancement of monolayer HfSe2 thermoelectric performance by strain engineering: A DFT calculation. Chem. Phys. Lett. 2021, 784, 139109. [Google Scholar] [CrossRef]
  3. Guo, H.; Lu, N.; Wang, L.; Wu, X.; Zeng, X.C. Tuning Electronic and Magnetic Properties of Early Transition-Metal Dichalcogenides via Tensile Strain. J. Phys. Chem. C 2014, 118, 7242–7249. [Google Scholar] [CrossRef]
  4. Sritharan, M.; Bennett, R.K.A.; Kaniselvan, M.; Yoon, Y. A comparative study on 2D materials with native high-κ oxides for sub-10 nm transistors. Mater. Today Electron. 2024, 8, 100096. [Google Scholar] [CrossRef]
  5. Gaddemane, G.; Duflou, R.; Sankaran, K.; Pourtois, G.; Houssa, M.; Afzalian, A. Ab-intio based electron-phonon scattering for 2D materials within the NEGF framework. In Proceedings of the 2021 International Conference on Simulation of Semiconductor Processes and Devices (SISPAD), Dallas, TX, USA, 27–29 September 2021; pp. 167–170. [Google Scholar]
  6. Afzalian, A. Ab initio perspective of ultra-scaled CMOS from 2D-material fundamentals to dynamically doped transistors. Npj 2d Mater. Appl. 2021, 5, 5. [Google Scholar] [CrossRef]
  7. Chang, J. Modeling of anisotropic two-dimensional materials monolayer HfS2 and phosphorene metal-oxide semiconductor field effect transistors. J. Appl. Phys. 2015, 117, 214502. [Google Scholar] [CrossRef]
  8. Kanazawa, T.; Amemiya, T.; Ishikawa, A.; Upadhyaya, V.; Tsuruta, K.; Tanaka, T.; Miyamoto, Y. Few-layer HfS2 transistors. Sci. Rep. 2016, 6, 22277. [Google Scholar] [CrossRef]
  9. Gong, C.; Zhang, H.; Wang, W.; Colombo, L.; Wallace, R.M.; Cho, K. Band alignment of two-dimensional transition metal dichalcogenides: Application in tunnel field effect transistors. Appl. Phys. Lett. 2013, 103, 053513. [Google Scholar] [CrossRef]
  10. Zhang, W.; Huang, Z.; Zhang, W.; Li, Y. Two-dimensional semiconductors with possible high room temperature mobility. Nano Res. 2014, 7, 1731–1737. [Google Scholar] [CrossRef]
  11. Guzman, D.M.; Strachan, A. Role of strain on electronic and mechanical response of semiconducting transition-metal dichalcogenide monolayers: An ab-initio study. J. Appl. Phys. 2014, 115, 243701. [Google Scholar] [CrossRef]
  12. Faghihnasiri, M.; Ahmadi, A.; Golpayegan, S.A.; Sharifabadi, S.G.; Ramazani, A. A First-Principles Study of Nonlinear Elastic Behavior and Anisotropic Electronic Properties of Two-Dimensional HfS2. Nanomaterials 2020, 10, 446. [Google Scholar] [CrossRef]
  13. Hosseini, M.; Elahi, M.; Pourfath, M.; Esseni, D. Strain induced mobility modulation in single-layer MoS2. J. Phys. D Appl. Phys. 2015, 48, 375104. [Google Scholar] [CrossRef]
  14. Fischetti, M.V.; Ren, Z.; Solomon, P.M.; Yang, M.; Rim, K. Six-band k.p calculation of the hole mobility in silicon inversion layers: Dependence on surface orientation. J. Appl. Phys. 2003, 94, 1079. [Google Scholar] [CrossRef]
  15. Wu, M.-T.; Fan, J.-W.; Chen, K.-T.; Chang, S.-T.; Lin, C.-Y. Band Structure and Effective Mass in Monolayer MoS2. J. Nanosci. Nanotechnol. 2015, 15, 9151–9157. [Google Scholar] [CrossRef] [PubMed]
  16. QuantumATK S-2022.03. Available online: https://www.synopsys.com/manufacturing/quantumatk.html (accessed on 1 August 2024).
  17. Kaniselvan, M.; Sritharan, M.; Yoon, Y. Mitigating Tunneling Leakage in Ultrascaled HfS2 pMOS Devices With Uniaxial Strain. IEEE Electron Device Lett. 2022, 43, 1133–1136. [Google Scholar] [CrossRef]
  18. Lv, H.; Lu, W.; Luo, X.; Lu, H.; Zhu, X.; Sun, Y. Enhancing the thermoelectric performance of a HfS2 monolayer through valley engineering. arXiv 2016, arXiv:1608.05464. [Google Scholar]
  19. Touski, S.B.; Ghobadi, N. Interplay between stacking order and in-plane strain on the electrical properties of bilayer antimonene. Phys. E Low-Dimens. Syst. Nanostruct. 2021, 126, 114407. [Google Scholar] [CrossRef]
  20. Rudenko, A.N.; Brener, S.; Katsnelson, M.I. Intrinsic Charge Carrier Mobility in Single-Layer Black Phosphorus. Phys. Rev. Lett. 2016, 116, 246401. [Google Scholar] [CrossRef]
  21. Kaasbjerg, K.; Thygesen, K.S.; Jacobsen, K.W. Phonon-limited mobility in n-type single-layer MoS2 from first principles. Phys. Rev. B 2012, 85, 115317. [Google Scholar] [CrossRef]
  22. Chen, K.-T.; He, R.-Y.; Lee, C.-F.; Wu, M.-T.; Chang, S.-T. Electron Mobility Calculation for Monolayer Transition Metal Dichalcogenide Alloy Using Tight-Binding Band Structure. J. Nanosci. Nanotechnol. 2017, 17, 8516–8521. [Google Scholar] [CrossRef]
  23. Chang, S.-T.; Fan, J.W.; Lin, C.-Y.; Cho, T.-C.; Huang, M. Hole effective masses of p-type metal-oxide-semiconductor inversion layer in strained Si1-xGex alloys channel on (110) and (111) Si substrates. J. Appl. Phys. 2012, 111, 033712. [Google Scholar] [CrossRef]
  24. Hsieh, B.-F.; Chang, S.-T. Subband structure and effective mass of relaxed and strained Ge (1 1 0) PMOSFETs. Solid-State Electron. 2012, 60, 37–41. [Google Scholar] [CrossRef]
  25. Kang, J.; Sahin, H.; Peeters, F.M. Mechanical properties of monolayer sulphides: A comparative study between MoS2, HfS2 and TiS3. Phys. Chem. Chem. Phys. 2015, 17, 27742. [Google Scholar] [CrossRef]
  26. Wu, N.; Zhao, X.; Ma, X.; Xin, Q.; Liu, X.; Wang, T.; Wei, S. Strain effect on the electronic properties of 1T-HfS2 monolayer. Physica E 2017, 93, 1–5. [Google Scholar] [CrossRef]
Figure 1. (a) Top and side (bottom) views of monolayer HfS2 showing a primitive hexagonal unit cell (Blue: Hf atoms; Yellow: S atoms) (b) Band structures of monolayer HfS2 along the high symmetric points in the hexagonal BZ. SOC splits the valence band HH and LH as shown in the inset. (c) Three lowest conduction band valleys are located at M’(M) points, six ΔГM (red) and six ΔГK (purple) bands with high symmetric points are located in the corresponding 1st BZ.
Figure 1. (a) Top and side (bottom) views of monolayer HfS2 showing a primitive hexagonal unit cell (Blue: Hf atoms; Yellow: S atoms) (b) Band structures of monolayer HfS2 along the high symmetric points in the hexagonal BZ. SOC splits the valence band HH and LH as shown in the inset. (c) Three lowest conduction band valleys are located at M’(M) points, six ΔГM (red) and six ΔГK (purple) bands with high symmetric points are located in the corresponding 1st BZ.
Nanomaterials 14 01420 g001
Figure 2. Energy contour plots of the (a) M’ valley, (b) M valley, (c) HH band, and (d) LH band of monolayer HfS2. Note that M’ and M valleys are in the CB while the HH and LH bands are in the VB. There energy contour plots are based on ab-initio band structure calculation performed using GGA with SOC. The dash lines are calculated results obtained using compact band models including the Rudenko model and new compact model.
Figure 2. Energy contour plots of the (a) M’ valley, (b) M valley, (c) HH band, and (d) LH band of monolayer HfS2. Note that M’ and M valleys are in the CB while the HH and LH bands are in the VB. There energy contour plots are based on ab-initio band structure calculation performed using GGA with SOC. The dash lines are calculated results obtained using compact band models including the Rudenko model and new compact model.
Nanomaterials 14 01420 g002
Figure 3. (a) Density of states and (b) velocity square as function of energy for the M’ valley of monolayer HfS2. (c) Density of states and (d) velocity square as function energy for the valence band of monolayer HfS2. These calculations are based on ab-initio GGA band structure.
Figure 3. (a) Density of states and (b) velocity square as function of energy for the M’ valley of monolayer HfS2. (c) Density of states and (d) velocity square as function energy for the valence band of monolayer HfS2. These calculations are based on ab-initio GGA band structure.
Nanomaterials 14 01420 g003
Figure 4. (a) Effective mass and (b) non-parabolicity factor of the Rudenko model for the CB of monolayer HfS2 under biaxial strain. (c) Effective mass and (d) non-parabolicity factor of the new compact model for the valence band HH of monolayer HfS2 under biaxial strain. (e) Effective mass and (f) non-parabolicity factor of the new compact model for the valence band LH of monolayer HfS2 under biaxial strain.
Figure 4. (a) Effective mass and (b) non-parabolicity factor of the Rudenko model for the CB of monolayer HfS2 under biaxial strain. (c) Effective mass and (d) non-parabolicity factor of the new compact model for the valence band HH of monolayer HfS2 under biaxial strain. (e) Effective mass and (f) non-parabolicity factor of the new compact model for the valence band LH of monolayer HfS2 under biaxial strain.
Nanomaterials 14 01420 g004
Figure 5. Changes in (a) the lowest CB and (b) the two highest VBs of monolayer HfS2 under compressive and tensile biaxial strains as calculated using ab-initio method with GGA considering SOC.
Figure 5. Changes in (a) the lowest CB and (b) the two highest VBs of monolayer HfS2 under compressive and tensile biaxial strains as calculated using ab-initio method with GGA considering SOC.
Nanomaterials 14 01420 g005
Figure 6. (a) The variation in the bandgap of monolayer HfS2 under biaxial strain [6]. (b) The absolute conduction band edge (Ec) and valence band edge (Ev) for ab-initio calculations with GGA with and without SOC a function of biaxial strain. (c) Energy difference between the conduction band (Δ1) and the valence band valleys (Δ2 and Δ3) versus biaxial strain.
Figure 6. (a) The variation in the bandgap of monolayer HfS2 under biaxial strain [6]. (b) The absolute conduction band edge (Ec) and valence band edge (Ev) for ab-initio calculations with GGA with and without SOC a function of biaxial strain. (c) Energy difference between the conduction band (Δ1) and the valence band valleys (Δ2 and Δ3) versus biaxial strain.
Nanomaterials 14 01420 g006
Figure 7. (a) Phonon-limited electron mobility without POP scattering versus electron density with two compact band models for monolayer HfS2. (b) Electron mobility with POP scattering as a function of electron density [6].
Figure 7. (a) Phonon-limited electron mobility without POP scattering versus electron density with two compact band models for monolayer HfS2. (b) Electron mobility with POP scattering as a function of electron density [6].
Nanomaterials 14 01420 g007
Figure 8. (a) Electron mobility change ratio as a function of biaxial strain. (b) Enhancement factors ( Δ m c m c and Δ τ τ ) versus biaxial strain.
Figure 8. (a) Electron mobility change ratio as a function of biaxial strain. (b) Enhancement factors ( Δ m c m c and Δ τ τ ) versus biaxial strain.
Nanomaterials 14 01420 g008
Figure 9. (a) Phonon-limited hole mobility without POP scattering versus hole density with two compact band models for monolayer HfS2. (b) Hole mobility with POP scattering as a function of hole density.
Figure 9. (a) Phonon-limited hole mobility without POP scattering versus hole density with two compact band models for monolayer HfS2. (b) Hole mobility with POP scattering as a function of hole density.
Nanomaterials 14 01420 g009
Figure 10. (a) Hole mobility change ratio as a function of biaxial strain. (b) Enhancement factors ( Δ m c m c and Δ τ τ ) versus biaxial strain.
Figure 10. (a) Hole mobility change ratio as a function of biaxial strain. (b) Enhancement factors ( Δ m c m c and Δ τ τ ) versus biaxial strain.
Nanomaterials 14 01420 g010
Table 1. The effective mass for CB and VB of monolayer HfS2 as determined by ab-initio calculation with GGA and GGA + SOC, respectively.
Table 1. The effective mass for CB and VB of monolayer HfS2 as determined by ab-initio calculation with GGA and GGA + SOC, respectively.
GGA
Valley/bandm/mAR (m0)mMK/mZA (m0)mDOS = (mmMK)1/2 (m0)
M’ valley2.360.230.74
M valley0.30.710.74
mГM (m0)mGK (m0)mDOS = (mГMmГK)1/2 (m0)
HH band0.470.470.47
LH band0.180.180.18
GGA + SOC
Valley/bandm/mAR (m0)mMK/mZA (m0)mDOS = (mmMK)1/2 (m0)
M’ valley2.350.230.74
M valley0.30.710.74
mГM (m0)mGK (m0)mDOS = (mГMmГK)1/2 (m0)
HH band0.250.240.24
LH band0.270.270.27
Table 2. The new compact model parameters for the CB of monolayer HfS2.
Table 2. The new compact model parameters for the CB of monolayer HfS2.
GGA
θ m   m 0 α   1 / eV
0 m 1 c = 0.23 α 1 c = 0.71
π / 2 m 2 c = 2.36 α 2 c = 0.03
GGA + SOC
θ m   m 0 α   1 / eV
0 m 1 c = 0.23 α 1 c = 0.71
π / 2 m 2 c = 2.35 α 2 c = 0.05
Table 3. The new compact model parameters for the HH/LH VB of monolayer HfS2.
Table 3. The new compact model parameters for the HH/LH VB of monolayer HfS2.
GGA
θ m   m 0 HH/LH α   1 / eV HH/LH
0 m 1 v = 0.47 / 0.18 α 1 v = 0.36 / 0.43
π / 6 m 2 v = 0.47 / 0.18 α 2 v = 0.85 / 0.36
GGA + SOC
θ m   m 0 HH/LH α   1 / eV HH/LH
0 m 1 v = 0.25 / 0.27 α 1 v = 2.5 / 0.43
π / 6 m 2 v = 0.24 / 0.27 α 2 v = 2.9 / 0.53
Table 4. The effective mass, deformation potential constant of electron and hole for unstrained monolayer HfS2 by ab initio calculation with GGA.
Table 4. The effective mass, deformation potential constant of electron and hole for unstrained monolayer HfS2 by ab initio calculation with GGA.
CarriersmMГ/mHH (m0)mMK/mLH (m0)Dac (eV)Dop (108 eV/cm)
electron2.360.231.310.99
hole0.470.180.950.73
Disclaimer/Publisher’s Note: The statements, opinions and data contained in all publications are solely those of the individual author(s) and contributor(s) and not of MDPI and/or the editor(s). MDPI and/or the editor(s) disclaim responsibility for any injury to people or property resulting from any ideas, methods, instructions or products referred to in the content.

Share and Cite

MDPI and ACS Style

Chung, Y.-F.; Chang, S.-T. Enhanced Carrier Transport Performance of Monolayer Hafnium Disulphide by Strain Engineering. Nanomaterials 2024, 14, 1420. https://doi.org/10.3390/nano14171420

AMA Style

Chung Y-F, Chang S-T. Enhanced Carrier Transport Performance of Monolayer Hafnium Disulphide by Strain Engineering. Nanomaterials. 2024; 14(17):1420. https://doi.org/10.3390/nano14171420

Chicago/Turabian Style

Chung, Yun-Fang, and Shu-Tong Chang. 2024. "Enhanced Carrier Transport Performance of Monolayer Hafnium Disulphide by Strain Engineering" Nanomaterials 14, no. 17: 1420. https://doi.org/10.3390/nano14171420

APA Style

Chung, Y.-F., & Chang, S.-T. (2024). Enhanced Carrier Transport Performance of Monolayer Hafnium Disulphide by Strain Engineering. Nanomaterials, 14(17), 1420. https://doi.org/10.3390/nano14171420

Note that from the first issue of 2016, this journal uses article numbers instead of page numbers. See further details here.

Article Metrics

Back to TopTop