Spherical Hybrid Nanoparticles for Homann Stagnation-Point Flow in Porous Media via Homotopy Analysis Method
Abstract
1. Introduction
2. Mathematical Model and Method
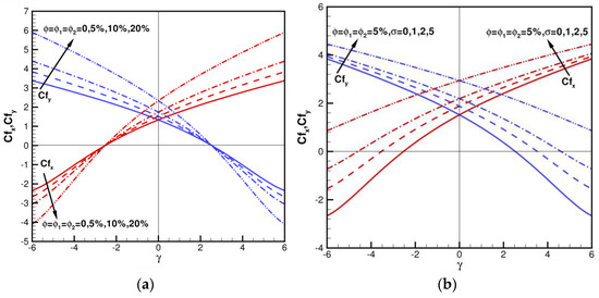
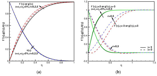
3. Results Analysis and Discussion
4. Conclusions
Author Contributions
Funding
Data Availability Statement
Conflicts of Interest
Nomenclature
| the velocity components | |
| the external flow velocities | |
| the strain shear rates | |
| the ambient temperature | |
| the characteristic temperature | |
| the permeability of porous media | |
| the conductivity in temperature | |
| the coefficient of specific heat capacity | |
| the coefficients of skin friction | |
| the Nusselt number | |
| the coefficients from hybrid nanofluids | |
| Pr | the Prandtl number |
| the local Reynolds numbers | |
| Greek symbols | |
| the fluid density | |
| μ | the dynamic viscosity |
| the volume fraction of hybrid nanofluids | |
| γ | the ratio of shear–strain rate |
| σ | the coefficient of permeability |
References
- Momin, G.G. Experimental investigation of mixed convection with water-Al2O3 & hybrid nanofluid in inclined tube for laminar flow. Int. J. Sci. Technol. Res. 2013, 2, 195–202. [Google Scholar]
- Sahoo, R.R. Experimental study on the viscosity of hybrid nanofluid and development of a new correlation. Heat Mass Transf. 2020, 56, 3023–3033. [Google Scholar] [CrossRef]
- Zufar, M.; Gunnasegaran, P.; Kumar, H.M.; Ng, K.C. Numerical and experimental investigations of hybrid nanofluids on pulsating heat pipe performance. Int. J. Heat Mass Transf. 2020, 146, 118887. [Google Scholar] [CrossRef]
- Saeed, A.; Alsubie, A.; Kumam, P.; Nasir, S.; Gul, T.; Kumam, W. Blood based hybrid nanofluid flow together with electromagnetic field and couple stresses. Sci. Rep. 2021, 11, 12865. [Google Scholar] [CrossRef]
- Nasir, S.; Sirisubtawee, S.; Juntharee, P.; Berrouk, A.S.; Mukhtar, S.; Gul, T. Heat transport study of ternary hybrid nanofluid flow under magnetic dipole together with nonlinear thermal radiation. Appl. Nanosci. 2022, 12, 2777–2788. [Google Scholar] [CrossRef]
- Yasmin, H.; Giwa, S.O.; Noor, S.; Sharifpur, M. Experimental exploration of hybrid nanofluids as energy-efficient fluids in solar and thermal energy storage applications. Nanomaterials 2023, 13, 278. [Google Scholar] [CrossRef]
- Sarkar, J.; Ghosh, P.; Adil, A. A review on hybrid nanofluids: Recent research, development and applications. Renew. Sustain. Energy Rev. 2015, 43, 164–177. [Google Scholar] [CrossRef]
- Babu, J.A.R.; Kumar, K.K.; Rao, S.S. State-of-art review on hybrid nanofluids. Renew. Sust. Energ. Rev. 2017, 77, 551–565. [Google Scholar] [CrossRef]
- Kasaeian, A.; Daneshazarian, R.; Mahian, O.; Kolsic, L.; Chamkhae, A.J.; Wongwise, S.; Pop, I. Nanofluid flow and heat transfer in porous media: A review of the latest developments. Int. J. Heat Mass Transf. 2017, 107, 778–791. [Google Scholar] [CrossRef]
- Das, P.K. A review based on effect and mechanism of thermal conductivity of normal nanofluids and hybrid nanofluids. J. Mol. Liq. 2017, 240, 420–446. [Google Scholar] [CrossRef]
- Minea, A.A.; Moldoveanu, M.G. Overview of hybrid nanofluids development and benefits. J. Eng. Thermophys. 2018, 27, 507–514. [Google Scholar] [CrossRef]
- Ali, A.R.I.; Salam, B. A review on nanofluid: Preparation, stability, thermophysical properties, heat transfer characteristics and application. SN Appl. Sci. 2020, 2, 1636. [Google Scholar] [CrossRef]
- Tiwar, A.K.; Kumar, V.; Said, Z.; Paliwal, H.K. A review on the application of hybrid nanofluids for parabolic trough collector: Recent progress and outlook. J. Clean. Prod. 2021, 292, 126031. [Google Scholar] [CrossRef]
- Suneetha, S.; Subbarayudu, K.; Reddy, P.B.A. Hybrid nanofluids development and benefits: A comprehensive review. J. Therm. Eng. 2022, 8, 445–455. [Google Scholar] [CrossRef]
- Modi, K.V.; Patel, P.R.; Patel, S.K. Applicability of mono-nanofluid and hybrid-nanofluid as a technique to improve the performance of solar still: A critical review. J. Clean. Prod. 2023, 387, 135875. [Google Scholar] [CrossRef]
- Yasmin, H.; Giwa, S.O.; Noor, S.; Sharifpur, M. Thermal conductivity enhancement of metal oxide nanofluids: A critical review. Nanomaterials 2023, 13, 597. [Google Scholar] [CrossRef] [PubMed]
- Jana, S.; Salehi-Khojin, A.; Zhong, W.H. Enhancement of fluid thermal conductivity by the addition of single and hybrid nano-additives. Thermochim. Acta 2007, 462, 45–55. [Google Scholar] [CrossRef]
- Suresh, S.; Venkitaraj, K.P.; Selvakumar, P.; Chandrasekar, M. Synthesis of Al2O3-Cu/water hybrid nanofluids using two step method and its thermo physical properties. Colloids Surf. A Physicochem. Eng. Asp. 2011, 388, 41–48. [Google Scholar] [CrossRef]
- Takabi, B.; Salehi, S. Augmentation of the heat transfer performance of a sinusoidal corrugated enclosure by employing hybrid nanofluid. Adv. Mech. Eng. 2014, 6, 147059. [Google Scholar] [CrossRef]
- Devi, S.P.A.; Devi, S.S.U. Numerical investigation of hydromagnetic hybrid Cu-Al2O3/water nanofluid flow over a permeable stretching sheet with suction. Int. J. Nonlinear Sci. Numer. Simul. 2016, 17, 249–257. [Google Scholar] [CrossRef]
- Nabil, M.F.; Azmi, W.H.; Hamid, K.A.; Zawawi, N.N.M.; Priyandoko, G.; Mamat, R. Thermo-physical properties of hybrid nanofluids and hybrid lubricants: A comprehensive review on performance. Int. Commun. Heat Mass Transf. 2017, 8, 30–39. [Google Scholar] [CrossRef]
- Bibi, A.; Xu, H.; Sun, Q.; Pop, I.; Zhao, Q. Free convection of a hybrid nanofluid past a vertical plate embedded in a porous medium with anisotropic permeability. Int. J. Numer. Method Heat Fluid Flow 2019, 30, 4083–4101. [Google Scholar] [CrossRef]
- Hayat, T.; Nadeem, S.; Khan, A.U. Numerical analysis of Ag–CuO/water rotating hybrid nanofluid with heat generation and absorption. Can. J. Phys. 2019, 97, 644–650. [Google Scholar] [CrossRef]
- Saeed, A.; Tassaddiq, A.; Khan, A.; Jawad, M.; Deebani, W.; Shah, Z.; Islam, S. Darcy-Forchheimer MHD hybrid nanofluid flow and heat transfer analysis over a porous stretching cylinder. Coatings 2020, 10, 391. [Google Scholar] [CrossRef]
- Wahid, N.S.; Arifin, N.M.; Khashi’ie, N.S.; Pop, I. Marangoni hybrid nanofluid flow over a permeable infinite disk embedded in a porous medium. Int. Commun. Heat Mass Transf. 2021, 126, 105421. [Google Scholar] [CrossRef]
- Othman, M.N.; Jedi, A.; Bakar, A.A.B. MHD flow and heat transfer of hybrid nanofluid over an exponentially shrinking surface with heat source/sink. Appl. Sci. 2021, 11, 8199. [Google Scholar] [CrossRef]
- Khan, U.; Zaib, A.; Ishak, A.; Sherif, E.M.; Waini, I.; Chu, Y.; Pop, I. Radiative mixed convective flow induced by hybrid nanofluid over a porous vertical cylinder in a porous media with irregular heat sink/source. Case Stud. Therm. Eng. 2022, 30, 101711. [Google Scholar] [CrossRef]
- Rostami, H.T.; Najafabadi, M.F.; Hosseinzadeh, K.; Ganji, D.D. Investigation of mixture-based dusty hybrid nanofluid flow in porous media affected by magnetic field using RBF method. Int. J. Ambient. Energy 2022, 43, 6425–6435. [Google Scholar] [CrossRef]
- Ahmed, S.E.; Reddy, P.B.A.; Jakeer, S.; Rashad, A.M.; Salah, T. Magnetic convection-radiation interaction in wavy porous triangular containers using hybrid nanofluids: Entropy analysis. J. Porous Media 2023, 26, 79–99. [Google Scholar] [CrossRef]
- Chu, Y.; Alzahrani, F.; Mopuri, O.; Ganteda, C.; Khan, M.I.; Lakshmi, P.J.; Khan, S.U.; Eldin, S.M. Thermal impact of hybrid nanofluid due to inclined oscillatory porous surface with thermo-diffusion features. Case Stud. Therm. Eng. 2023, 42, 102695. [Google Scholar] [CrossRef]
- Ariel, P.D. On extra boundary condition in the stagnation point flow of a second grade fluid. Int. J. Eng. Sci. 2002, 40, 145–162. [Google Scholar] [CrossRef]
- Mahapatra, T.R.; Gupta, A.S. Stagnation-point flow of a viscoelastic fluid towards a stretching surface. Int. J. Non-Linear Mech. 2004, 39, 811–820. [Google Scholar] [CrossRef]
- Mahapatra, T.R.; Dholey, S.; Gupta, A.S. Momentum and heat transfer in the magnetohydrodynamic stagnation-point flow of a viscoelastic fluid toward a stretching surface. Meccanica 2007, 42, 263–272. [Google Scholar] [CrossRef]
- Weidman, P.D. Non-axisymmetric Homann’s stagnation-point flows. J. Fluid Mech. 2012, 702, 460–469. [Google Scholar] [CrossRef]
- Weidman, P.D. Impinging rotational stagnation-point flows. Int. J. Non-Linear Mech. 2017, 88, 97–101. [Google Scholar] [CrossRef]
- Nawaz, M.; Hayat, T. Axisymmetric stagnation-point flow of nanofluid over a stretching surface. Adv. Appl. Math. Mech. 2014, 6, 220–232. [Google Scholar] [CrossRef]
- Azam, M.; Khan, M.; Alshomrani, A.S. Unsteady radiative stagnation point flow of MHD carreau nanofluid over expanding/contracting cylinder. Int. J. Mech. Sci 2017, 130, 64–73. [Google Scholar] [CrossRef]
- Ahmed, J.; Khan, M.; Ahmad, L. Stagnation point flow of Maxwell nanofluid over a permeable rotating disk with heat source/sink. J. Mol. Liq. 2019, 287, 110853. [Google Scholar] [CrossRef]
- Kho, Y.B.; Jusoh, R.; Salleh, M.Z.; Ariff, M.H.; Pop, I. Homann stagnation point flow and heat transfer of hybrid nanofluids over a permeable radially stretching/shrinking sheet. J. Adv. Res. Fluid Mech. Therm. Sci. 2021, 85, 101–112. [Google Scholar]
- Waini, I.; Ishak, A.; Pop, I. Symmetrical solutions of hybrid nanofluid stagnation-point flow in a porous medium. Int. Commun. Heat Mass Transf. 2022, 130, 105804. [Google Scholar] [CrossRef]
- Liao, S. The Proposed Homotopy Analysis Technique for the Solution of Nonlinear Problems. Ph.D. Thesis, Shanghai Jiao Tong University, Shanghai, China, 1992. [Google Scholar]
- Liao, S. An explicit, totally analytic approximate solution for Blasius’ viscous flow problems. Int. J. Non Linear Mech. 1999, 34, 759–778. [Google Scholar] [CrossRef]
- Liao, S. On the analytical solution of magnetohydrodynamic flows of non-Newtonian fluids over a stretching sheet. J. Fluid Mech. 2003, 488, 189–212. [Google Scholar] [CrossRef]
- Liao, S. Beyond Perturbation: Introduction to the Homotopy Analysis Method, 1st ed.; Chapman and Hall/CRC: New York, NY, USA, 2003; pp. 154–196. [Google Scholar]
- Liao, S. Homotopy Analysis Method in Nonlinear Differential Equations, 1st ed.; Springer: Berlin/Heidelberg, Germany, 2012; pp. 40–86. [Google Scholar]
- Xu, H.; Pop, I. Homotopy analysis of unsteady boundary-layer flow started impulsively from rest along a symmetric wedge. Z. Angew. Math. Mech. 2008, 88, 507–514. [Google Scholar] [CrossRef]
- You, X.; Xu, H.; Liao, S. On the non-similarity boundary-layer flows of second-order fluid over a stretching sheet. J. Appl. Mech. 2010, 77, 021002. [Google Scholar] [CrossRef]
- You, X.; Xu, H.; Pop, I. Free convection along a convectively heated vertical flat sheet embedded in a saturated porous medium. Int. Commun. Heat Mass Transf. 2014, 55, 102–108. [Google Scholar] [CrossRef]
- Sardanyés, J.; Rodrigues, C.; Januário, C.; Martins, N.; Gil-Gómez, G.; Duarte, J. Activation of effector immune cells promotes tumor stochastic extinction: A homotopy analysis approach. Appl. Math. Comput. 2015, 252, 484–495. [Google Scholar] [CrossRef]
- Farooq, U.; Zhao, Y.L.; Hayat, T.; Alsaedi, A.; Liao, S. Application of the HAM-based Mathematica package BVPh 2.0 on MHD Falkner–Skan flow of nano-fluid. Comput. Fluids 2015, 111, 69–75. [Google Scholar] [CrossRef]
- Mustafa, M.; Hayat, T.; Pop, I.; Hendi, A. Stagnation-point flow and heat transfer of a Casson fluid towards a stretching sheet. Z. Naturforsch. A 2015, 67, 70–76. [Google Scholar] [CrossRef]
- Ali, A.; Zaman, H.; Abidin, M.Z.; Shah, S.I.A. Analytic solution for fluid flow over an exponentially stretching porous sheet with surface heat flux in porous medium by means of Homotopy Analysis Method. Am. J. Comput. Math. 2015, 5, 224–238. [Google Scholar] [CrossRef]
- Ramzan, M.; Bilal, M.; Chung, J.D.; Lu, D.C.; Farooq, U. Impact of generalized Fourier’s and Fick’s laws on MHD 3D second grade nanofluid flow with variable thermalconductivity and convective heat and mass conditions. Phys. Fluids 2017, 29, 093102. [Google Scholar] [CrossRef]
- Patel, M.A.; Desai, N.B. Homotopy analysis approach of Boussinesq equation for infiltration phenomenon in unsaturated porous medium. Math. J. Interdiscip. Sci. 2018, 7, 21–28. [Google Scholar] [CrossRef]
- Hayat, T.; Inayatullah; Alsaedi, A.; Ahmad, B. Thermo diffusion and diffusion thermo impacts on bioconvection Walter-B nanomaterial involving gyrotactic microorganisms. Alex. Eng. J. 2021, 60, 5537–5545. [Google Scholar] [CrossRef]
- Al-Qudaha, A.; Odibatb, Z.; Shawagfeha, N. A linearization-based computational algorithm of homotopy analysis method for nonlinear reaction-diffusion systems. Math. Comput. Simul. 2022, 194, 505–522. [Google Scholar] [CrossRef]
- Bottona, E.; Greenberga, J.B.; Arad, A.; Katoshevski, D.; Vaikuntanathan, V.; Ibach, M.; Weigand, B. An investigation of grouping of two falling dissimilar droplets using the homotopy analysis method. Appl. Math. Model. 2022, 104, 486–498. [Google Scholar] [CrossRef]
- Yang, X.Y.; Li, Y. On bi-chromatic steady-state gravity waves with an arbitrary included angle. Phys. Fluids 2022, 34, 032107. [Google Scholar] [CrossRef]
- Liu, L.; Li, J.; Liao, S. Explicit solutions of MHD flow and heat transfer of Casson fluid over an exponentially shrinking sheet with suction. Nanomaterials 2022, 12, 3289. [Google Scholar] [CrossRef]
- Liao, S. Avoiding small denominator problems by means of the Homotopy Analysis Method. Adv. Appl. Math. Mech. 2023, 15, 267–299. [Google Scholar] [CrossRef]
- You, X.; Li, S.; Kang, L.; Cheng, L. A study of the non-Linear seepage problem in porous media via the homotopy analysis method. Energies 2023, 16, 2175. [Google Scholar] [CrossRef]
- Yang, Y.; Liao, S. Comparison between homotopy analysis method and homotopy renormalization method in fluid mechanics. Eur. J. Mech. B Fluids 2023, 97, 187–198. [Google Scholar] [CrossRef]
- Wang, C.Y. Stagnation slip flow and heat transfer on a moving plate. Chem. Eng. Sci. 2006, 61, 7668–7672. [Google Scholar] [CrossRef]
- Soid, S.K.; Merkin, J.; Ishak, A.; Pop, I. Axisymmetric stagnation-point flow and heat transfer due to a stretching/shrinking vertical plate with surface second-order velocity slip. Meccanica 2017, 52, 139–151. [Google Scholar] [CrossRef]






| Type | k (W/mK) | ||
|---|---|---|---|
| H2O | 997.1 | 0.613 | 4179 |
| Cu | 8933 | 401 | 385 |
| Al2O3 | 3970 | 40 | 765 |
| Property | Mathematical Relations |
|---|---|
| Density | |
| Heat capacity | |
| Dynamic viscosity | |
| Thermal conductivity |
| γ | σ | (Refs. [40,62,63]) | HAM 20th | (Refs. [40,62,63]) | HAM 20th | (Refs. [40,62,63]) | HAM 20th | |
|---|---|---|---|---|---|---|---|---|
| 0 | 0 | 0 | 1.311938 | 1.311608 | 1.311938 | 1.311608 | 1.806069 | 1.810147 |
| 5 | 3.038940 | 3.036096 | −0.894909 | −0.902242 | 3.938146 | 3.998352 | ||
| −5 | −0.894909 | −0.902242 | 3.038940 | 3.036096 | 3.074275 | 3.084240 | ||
| −5 | 2% | −0.966699 | −0.966456 | 3.282727 | 3.281901 | 3.203682 | 3.210915 | |
| 4% | −1.039700 | −1.039438 | 3.530622 | 3.529834 | 3.330939 | 3.669205 | ||
| 2% | 2 | −0.027231 | −0.027224 | 3.569397 | 3.568499 | 2.788727 | 2.795023 |
Disclaimer/Publisher’s Note: The statements, opinions and data contained in all publications are solely those of the individual author(s) and contributor(s) and not of MDPI and/or the editor(s). MDPI and/or the editor(s) disclaim responsibility for any injury to people or property resulting from any ideas, methods, instructions or products referred to in the content. |
© 2023 by the authors. Licensee MDPI, Basel, Switzerland. This article is an open access article distributed under the terms and conditions of the Creative Commons Attribution (CC BY) license (https://creativecommons.org/licenses/by/4.0/).
Share and Cite
You, X.; Cui, J. Spherical Hybrid Nanoparticles for Homann Stagnation-Point Flow in Porous Media via Homotopy Analysis Method. Nanomaterials 2023, 13, 1000. https://doi.org/10.3390/nano13061000
You X, Cui J. Spherical Hybrid Nanoparticles for Homann Stagnation-Point Flow in Porous Media via Homotopy Analysis Method. Nanomaterials. 2023; 13(6):1000. https://doi.org/10.3390/nano13061000
Chicago/Turabian StyleYou, Xiangcheng, and Jifeng Cui. 2023. "Spherical Hybrid Nanoparticles for Homann Stagnation-Point Flow in Porous Media via Homotopy Analysis Method" Nanomaterials 13, no. 6: 1000. https://doi.org/10.3390/nano13061000
APA StyleYou, X., & Cui, J. (2023). Spherical Hybrid Nanoparticles for Homann Stagnation-Point Flow in Porous Media via Homotopy Analysis Method. Nanomaterials, 13(6), 1000. https://doi.org/10.3390/nano13061000

