Low Loss Vertical TiO2/Polymer Hybrid Nano-Waveguides
Abstract
1. Introduction
2. Materials and Methods
2.1. Designing Tools
2.2. Fabrication Techniques
2.3. Characterization Methods
3. Results and Discussion
3.1. Optimization of the Waveguide Parameters
3.1.1. Modal Effective Index
3.1.2. Dispersion and Birefringence of the Waveguide
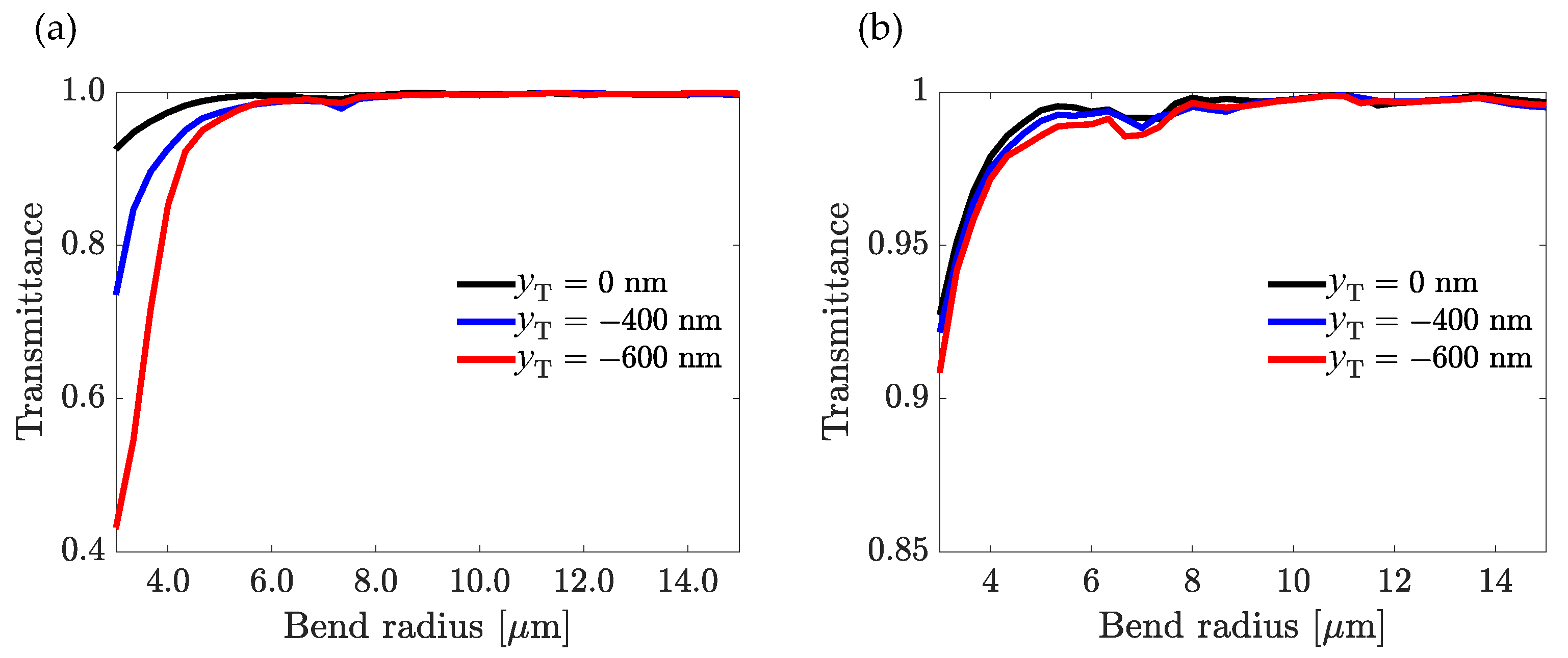
3.1.3. Effect of the Position of the Trench
3.2. Fabricated Sample
3.3. Experimental Determination of the Propagation Losses
4. Conclusions
Author Contributions
Funding
Institutional Review Board Statement
Informed Consent Statement
Data Availability Statement
Conflicts of Interest
References
- Almeida, V.R.; Xu, Q.; Barrios, C.A.; Lipson, M. Guiding and Confining Light in Void Nanostructure. Opt. Lett. 2004, 29, 1209. [Google Scholar] [CrossRef] [PubMed]
- Kargar, A.; Chao, C.-Y. Design and Optimization of Waveguide Sensitivity in Slot Microring Sensors. J. Opt. Soc. Am. A 2011, 28, 596. [Google Scholar] [CrossRef] [PubMed]
- Duguay, M.A.; Kokubun, Y.; Koch, T.L.; Pfeiffer, L. Antiresonant Reflecting Optical Waveguides in SiO2-Si Multilayer Structures. Appl. Phys. Lett. 1986, 49, 13–15. [Google Scholar] [CrossRef]
- Lai, C.-H.; You, B.; Lu, J.-Y.; Liu, T.-A.; Peng, J.-L.; Sun, C.-K.; Chang, H. Modal Characteristics of Antiresonant Reflecting Pipe Waveguides for Terahertz Waveguiding. Opt. Express 2010, 18, 309. [Google Scholar] [CrossRef] [PubMed]
- Asquini, R.; Buzzin, A.; Caputo, D.; de Cesare, G. Integrated Evanescent Waveguide Detector for Optical Sensing. IEEE Trans. Compon. Packag. Manuf. Technol. 2018, 8, 1180–1186. [Google Scholar] [CrossRef]
- Geoffray, F.; Bastard, L.; Broquin, J.-E. High Confinement Ion-Exchanged Waveguides for Nonlinear Applications. Ceram. Int. 2015, 41, 8034–8039. [Google Scholar] [CrossRef]
- Vlasov, Y.A.; McNab, S.J. Losses in Single-Mode Silicon-on-Insulator Strip Waveguides and Bends. Opt. Express 2004, 12, 1622. [Google Scholar] [CrossRef]
- Li, W.; Anantha, P.; Bao, S.; Lee, K.H.; Guo, X.; Hu, T.; Zhang, L.; Wang, H.; Soref, R.; Tan, C.S. Germanium-on-Silicon Nitride Waveguides for Mid-Infrared Integrated Photonics. Appl. Phys. Lett. 2016, 109, 241101. [Google Scholar] [CrossRef]
- Kaplan, A.E.; Vitali, V.; Demontis, V.; Rossella, F.; Fontana, A.; Cornia, S.; Petropoulos, P.; Bellani, V.; Lacava, C.; Cristiani, I. Polarization Control in Integrated Silicon Waveguides Using Semiconductor Nanowires. Nanomaterials 2022, 12, 2438. [Google Scholar] [CrossRef]
- Jabeen, F.; Chen, M.; Rasulev, B.; Ossowski, M.; Boudjouk, P. Refractive Indices of Diverse Data Set of Polymers: A Computational QSPR Based Study. Comput. Mater. Sci. 2017, 137, 215–224. [Google Scholar] [CrossRef]
- Katritzky, A.R.; Sild, S.; Karelson, M. Correlation and Prediction of the Refractive Indices of Polymers by QSPR. J. Chem. Inf. Comput. Sci. 1998, 38, 1171–1176. [Google Scholar] [CrossRef]
- Gao, J.; Xu, J.; Chen, B.; Zhang, Q. A Quantitative Structure-Property Relationship Study for Refractive Indices of Conjugated Polymers. J. Mol. Model. 2007, 13, 573–578. [Google Scholar] [CrossRef] [PubMed]
- Geka, G.; Papageorgiou, G.; Chatzichristidi, M.; Karydas, A.G.; Psycharis, V.; Makarona, E. CuO/PMMA Polymer Nanocomposites as Novel Resist Materials for E-Beam Lithography. Nanomaterials 2021, 11, 762. [Google Scholar] [CrossRef] [PubMed]
- Chen, K.-S.; Lin, I.-K.; Ko, F.-H. Fabrication of 3D Polymer Microstructures Using Electron Beam Lithography and Nanoimprinting Technologies. J. Micromech. Microeng. 2005, 15, 1894–1903. [Google Scholar] [CrossRef]
- Sotomayor Torres, C.M.; Zankovych, S.; Seekamp, J.; Kam, A.P.; Clavijo Cedeño, C.; Hoffmann, T.; Ahopelto, J.; Reuther, F.; Pfeiffer, K.; Bleidiessel, G.; et al. Nanoimprint Lithography: An Alternative Nanofabrication Approach. Mater. Sci. Eng. C 2003, 23, 23–31. [Google Scholar] [CrossRef]
- Alkaisi, M.M.; Jayatissa, W.; Konijn, M. Multilevel Nanoimprint Lithography. Curr. Appl. Phys. 2004, 4, 111–114. [Google Scholar] [CrossRef]
- Pélisset, S.; Laukkanen, J.; Kuittinen, M.; Honkanen, S.; Roussey, M. Modal Properties of a Strip-Loaded Horizontal Slot Waveguide. J. Eur. Opt. Soc.-Rapid Publ. 2017, 13, 37. [Google Scholar] [CrossRef]
- Pélisset, S.; Roussey, M. Strip-Loaded Nano-Photonics on Horizontal Slot Waveguide. J. Eur. Opt. Soc.-Rapid Publ. 2019, 15, 6. [Google Scholar] [CrossRef]
- Roussey, M.; Ahmadi, L.; Pélisset, S.; Häyrinen, M.; Bera, A.; Kontturi, V.; Laukkanen, J.; Vartiainen, I.; Honkanen, S.; Kuittinen, M. Strip-Loaded Horizontal Slot Waveguide. Opt. Lett. 2017, 42, 211. [Google Scholar] [CrossRef]
- Meng, X.; Byun, Y.-C.; Kim, H.; Lee, J.; Lucero, A.; Cheng, L.; Kim, J. Atomic Layer Deposition of Silicon Nitride Thin Films: A Review of Recent Progress, Challenges, and Outlooks. Materials 2016, 9, 1007. [Google Scholar] [CrossRef]
- Kariniemi, M.; Niinistö, J.; Vehkamäki, M.; Kemell, M.; Ritala, M.; Leskelä, M.; Putkonen, M. Conformality of Remote Plasma-Enhanced Atomic Layer Deposition Processes: An Experimental Study. J. Vac. Sci. Technol. A Vac. Surf. Film. 2012, 30, 01A115. [Google Scholar] [CrossRef]
- Pfeiffer, K.; Schulz, U.; Tünnermann, A.; Szeghalmi, A. Antireflection Coatings for Strongly Curved Glass Lenses by Atomic Layer Deposition. Coatings 2017, 7, 118. [Google Scholar] [CrossRef]
- Mu, J.; Dijkstra, M.; Korterik, J.; Offerhaus, H.; García-Blanco, S.M. High-gain waveguide amplifiers in Si3N4 technology via double-layer monolithic integration. Photon. Res. 2020, 8, 1634–1641. [Google Scholar] [CrossRef]
- Huang, X.; Cutinha, N.; Alcázar de Velasco, A.; Chandler, P.J.; Townsend, P.D. Upconversion in erbium doped YAG ion-implanted waveguides. Nucl. Instrum. Methods Phys. Res. B 1998, 142, 50–60. [Google Scholar] [CrossRef]
- Papon, C.; Wang, Y.; Uppu, R.; Scholz, S.; Wieck, A.D.; Ludwig, A.; Lodahl, P.; Midolo, L. Independent operation of two waveguide-integrated single-photon sources. arXiv 2022, arXiv:2210.09826. [Google Scholar]
- Weiland, T. Time domain electromagnetic field computation with finite difference methods. Int. J. Numer. Model. Electron. Netw. Devices Fields 1996, 9, 295–319. [Google Scholar] [CrossRef]
- Kong, F.; Li, K.; Liu, X. Accurate Analysis of Planar Optical Waveguide Devices Using Higher-Order FDTD Scheme. Opt. Express 2006, 14, 11796. [Google Scholar] [CrossRef]
- Ramponi, R.; Osellame, R.; Marangoni, M. Two Straightforward Methods for the Measurement of Optical Losses in Planar Waveguides. Rev. Sci. Instrum. 2002, 73, 1117–1120. [Google Scholar] [CrossRef]
- Daldosso, N.; Melchiorri, M.; Riboli, F.; Girardini, M.; Pucker, G.; Crivellari, M.; Bellutti, P.; Lui, A.; Pavesi, L. Comparison among Various Si/sub 3/N/sub 4 Waveguide Geometries Grown within a CMOS Fabrication Pilot Line. J. Light. Technol. 2004, 22, 1734–1740. [Google Scholar] [CrossRef]
- Peczek, A.; Mai, C.; Winzer, G.; Zimmermann, L. Comparison of Cut-Back Method and Optical Backscatter Reflectometry for Wafer Level Waveguide Characterization. In Proceedings of the 2020 IEEE 33rd International Conference on Microelectronic Test Structures (ICMTS), Edinburgh, UK, 4–18 May 2020; pp. 1–3. [Google Scholar]
- Singh, R.R. Dispersion Tailoring of Silicon Nanowire Optical Rectangular Waveguide (SNORW). SN Appl. Sci. 2020, 2, 502. [Google Scholar] [CrossRef]
- Yuan, C.; Dai, J.; Jia, H.; Ding, J.; Zhang, L.; Fu, X.; Yang, L. Design of a C-Band Polarization Rotator-Splitter Based on a Mode-Evolution Structure and an Asymmetric Directional Coupler. J. Semicond. 2018, 39, 124008. [Google Scholar] [CrossRef]
- Erim, M.N.; Erim, N.; Kurt, H. Optical Surface Modes of Photonic Crystals for Dual-Polarization Waveguide. Photonics Nanostruct.-Fundam. Appl. 2013, 11, 123–131. [Google Scholar] [CrossRef]
- Ebers, L.; Hammer, M.; Förstner, J. Oblique Incidence of Semi-Guided Planar Waves on Slab Waveguide Steps: Effects of Rounded Edges. Opt. Express 2018, 26, 18621. [Google Scholar] [CrossRef] [PubMed]
- Hayrinen, M.; Roussey, M.; Gandhi, V.; Stenberg, P.; Saynatjoki, A.; Karvonen, L.; Kuittinen, M.; Honkanen, S. Low-Loss Titanium Dioxide Strip Waveguides Fabricated by Atomic Layer Deposition. J. Light. Technol. 2014, 32, 208–212. [Google Scholar] [CrossRef]
- Hegeman, I.; Dijkstra, M.; Segerink, F.B.; Lee, W.; Garcia-Blanco, S.M. Development of Low-Loss TiO2 Waveguides. Opt. Express 2020, 28, 5982. [Google Scholar] [CrossRef]
- Evans, C.C.; Liu, C.; Suntivich, J. Low-Loss Titanium Dioxide Waveguides and Resonators Using a Dielectric Lift-Off Fabrication Process. Opt. Express 2015, 23, 11160. [Google Scholar] [CrossRef]









Disclaimer/Publisher’s Note: The statements, opinions and data contained in all publications are solely those of the individual author(s) and contributor(s) and not of MDPI and/or the editor(s). MDPI and/or the editor(s) disclaim responsibility for any injury to people or property resulting from any ideas, methods, instructions or products referred to in the content. |
© 2023 by the authors. Licensee MDPI, Basel, Switzerland. This article is an open access article distributed under the terms and conditions of the Creative Commons Attribution (CC BY) license (https://creativecommons.org/licenses/by/4.0/).
Share and Cite
Doughan, I.; Oyemakinwa, K.; Ovaskainen, O.; Roussey, M. Low Loss Vertical TiO2/Polymer Hybrid Nano-Waveguides. Nanomaterials 2023, 13, 469. https://doi.org/10.3390/nano13030469
Doughan I, Oyemakinwa K, Ovaskainen O, Roussey M. Low Loss Vertical TiO2/Polymer Hybrid Nano-Waveguides. Nanomaterials. 2023; 13(3):469. https://doi.org/10.3390/nano13030469
Chicago/Turabian StyleDoughan, Isaac, Kehinde Oyemakinwa, Olli Ovaskainen, and Matthieu Roussey. 2023. "Low Loss Vertical TiO2/Polymer Hybrid Nano-Waveguides" Nanomaterials 13, no. 3: 469. https://doi.org/10.3390/nano13030469
APA StyleDoughan, I., Oyemakinwa, K., Ovaskainen, O., & Roussey, M. (2023). Low Loss Vertical TiO2/Polymer Hybrid Nano-Waveguides. Nanomaterials, 13(3), 469. https://doi.org/10.3390/nano13030469

