Activation Energy and Bipolar Switching Properties for the Co-Sputtering of ITOX:SiO2 Thin Films on Resistive Random Access Memory Devices
Abstract
1. Introduction
2. Experimental Detail
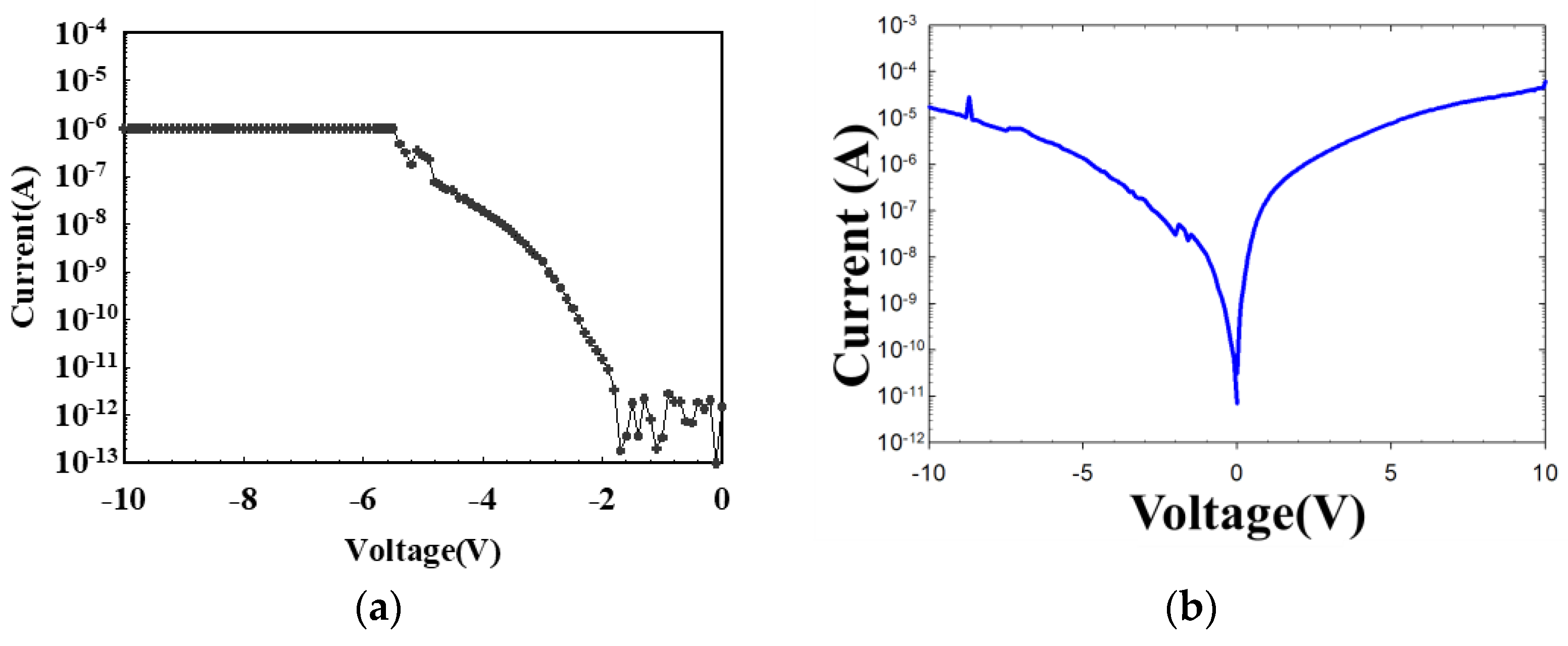
3. Results and Discussion
4. Conclusions
Author Contributions
Funding
Data Availability Statement
Conflicts of Interest
References
- Li, L.; Dai, T.J.; Liu, K.; Chang, K.C.; Zhang, R.; Lin, X.; Liu, H.J.; Lai, Y.C.; Kuo, T.P. Achieving complementary resistive switching and multi-bit storage goals by modulating the dual-ion reaction through supercritical fluid-assisted ammoniation. Nanoscale 2021, 13, 14035–14040. [Google Scholar] [CrossRef]
- Li, L.; Chang, K.C.; Zhang, R.; Lin, X.; Lai, Y.C.; Kuo, T.P. Variable-temperature activation energy extraction to clarify the physical and chemical mechanisms of the resistive switching process. Nanoscale 2020, 12, 15721–15724. [Google Scholar] [CrossRef]
- Li, L.; Chang, K.C.; Ye, C.; Lin, X.; Zhang, R.; Xu, Z.; Xiong, W.; Zhou, Y.; Kuo, T.P. An Indirect Way to Achieve Comprehensive Performance Improvement of Resistive Memory: When Hafnium Meets ITO in Electrode. Nanoscale 2020, 12, 3267–3272. [Google Scholar] [CrossRef]
- Chang, K.C.; Dai, T.J.; Li, L.; Lin, X.N.; Zhang, S.D.; Lai, Y.C.; Liu, H.J.; Syu, Y.E. Unveiling the influence of surrounding materials and realization of multi-level storage in resistive switching memory. Nanoscale 2020, 12, 22070–22074. [Google Scholar] [CrossRef]
- Chang, K.C.; Zhang, R.; Chang, T.C.; Tsai, T.M.; Chu, T.J.; Chen, H.L.; Shih, C.C.; Pan, C.H.; Su, Y.T.; Wu, P.J.; et al. High performance, excellent reliability multifunctional graphene oxide doped memristor achieved by self-protective compliance current structure. In Proceedings of the IEEE International Electron Devices Meeting (IEDM), San Francisco, CA, USA, 15–17 December 2014; pp. 33–34. [Google Scholar]
- Ye, C.; Xu, Z.; Chang, K.C.; Li, L.; Lin, X.N.; Zhang, R.; Zhou, Y.; Xiong, W.; Kuo, T.P. Hafnium nanocrystals observed in a HfTiO compound film bring about excellent performance of flexible selectors in memory integration. Nanoscale 2019, 11, 20792–20796. [Google Scholar]
- Lanza, M.; Waser, R.; Ielmini, D.; Yang, J.J.; Goux, L.; Suñe, J.; Kenyon, A.; Mehonic, A.; Spiga, S.; Rana, V.; et al. Standards for the Characterization of Endurance in Resistive Switching Devices. ACS Nano 2021, 15, 17214–17231. [Google Scholar] [CrossRef]
- Sebastian, A.; Le Gallo, M.; Khaddam-Aljameh, R.; Eleftheriou, E. Memory devices and applications for in-memory computing. Nat. Nanotechnol. 2020, 15, 529–544. [Google Scholar] [CrossRef]
- Sebastian, A.; Le Gallo, M.; Khaddam-Aljameh, R.; Funck, C.; Menzel, S. Comprehensive model of electron conduction in oxide-based memristive devices. ACS Appl. Electron. Mater. 2021, 3, 3674–3692. [Google Scholar]
- Dalgaty, T.; Castellani, N.; Turck, C.; Harabi, K.E.; Querlioz, D.; Vianello, E. In situ learning using intrinsic memristor variability via Markov chain Monte Carlo sampling. Nat. Electron. 2021, 4, 151–161. [Google Scholar] [CrossRef]
- Lanza, M.; Wong, H.-S.P.; Pop, E.; Ielmini, D.; Strukov, D.; Regan, B.; Larcher, L.; Villena, M.; Yang, J.; Goux, L.; et al. Recommended methods to study resistive switching devices. Adv. Electron. Mater. 2019, 5, 1800143. [Google Scholar] [CrossRef]
- Chen, K.-H.; Cheng, C.-M.; Wang, N.-F.; Hung, H.-W.; Li, C.-Y.; Wu, S. First Order Rate Law Analysis for Reset State in Vanadium Oxide Thin Film Resistive Random Access Memory Devices. Nanomaterials 2023, 13, 198. [Google Scholar] [CrossRef]
- Rahaman, S.; Maikap, S. Low power resistive switching memory using Cu metallic filament in Ge0.2Se0.8 solid-electrolyte. Microelectron. Reliab. 2010, 50, 643–646. [Google Scholar] [CrossRef]
- Choi, S.J.; Lee, J.H.; Bae, H.J.; Yang, W.Y.; Kim, T.W.; Kim, K.H. Improvement of CBRAM resistance window by scaling down electrode size in pure-GeTe film. IEEE Electron Device Lett. 2008, 30, 120–122. [Google Scholar] [CrossRef]
- Goux, L.; Opsomer, K.; Degraeve, R.; Müller, R.; Detavernier, C.; Wouters, D.J.; Jurczak, M.; Altimime, L.; Kittl, J.A. Influence of the Cu-Te composition and microstructure on the resistive switching of Cu-Te/Al2O3/Si cells. Appl. Phys. Lett. 2011, 99, 053502. [Google Scholar] [CrossRef]
- Bernard, Y.; Gonon, P.; Jousseaume, V. Resistance switching of Cu/SiO2 memory cells studied under voltage and current-driven modes. Appl. Phys. Lett. 2010, 96, 193502. [Google Scholar] [CrossRef]
- Tsuji, Y.; Sakamoto, T.; Banno, N.; Hada, H.; Aono, M. Off-state and turn-on characteristics of solid electrolyte switch. Appl. Phys. Lett. 2010, 96, 023504. [Google Scholar] [CrossRef]
- Tsunoda, K.; Fukuzumi, Y.; Jameson, J.R.; Wang, Z.; Griffin, P.B.; Nishi, Y. Bipolar resistive switching in polycrystalline TiO2 films. Appl. Phys. Lett. 2007, 90, 113501. [Google Scholar] [CrossRef]
- Choi, H.; Pyun, M.; Kim, T.-W.; Hasan, M.; Dong, R.; Lee, J.; Park, J.-B.; Yoon, J.; Seong, D.-J.; Lee, T.; et al. Nanoscale Resistive Switching of a Copper–Carbon-Mixed Layer for Nonvolatile Memory Applications. IEEE Electron. Device Lett. 2009, 30, 302–304. [Google Scholar] [CrossRef]
- Jo, S.H.; Kim, K.H.; Lu, W. High-density crossbar arrays based on a Si memristive system. Nano Lett. 2009, 9, 870–874. [Google Scholar] [CrossRef]
- Yao, J.; Sun, Z.; Zhong, L.; Natelson, D.; Tour, J.M. Resistive Switches and Memories from Silicon Oxide. Nano Lett. 2010, 10, 4105–4110. [Google Scholar] [CrossRef]
- Tsai, T.-M.; Chang, K.-C.; Chang, T.-C.; Zhang, R.; Wang, T.; Pan, C.-H.; Chen, K.-H.; Chen, H.-M.; Chen, M.-C.; Tseng, Y.-T.; et al. Resistive Switching Mechanism of Oxygen-Rich Indium Tin Oxide Resistance Random Access Memory. IEEE Electron. Device Lett. 2016, 37, 408–411. [Google Scholar] [CrossRef]
- Zhang, R.; Young, T.-F.; Chen, M.-C.; Chen, H.-L.; Liang, S.-P.; Syu, Y.-E.; Sze, S.M.; Chang, K.-C.; Chang, T.-C.; Tsai, T.-M.; et al. Characterization of Oxygen Accumulation in Indium-Tin-Oxide for Resistance Random Access Memory. IEEE Electron. Device Lett. 2014, 35, 630–632. [Google Scholar] [CrossRef]
- Lin, C.-Y.; Chang, K.-C.; Chang, T.-C.; Tsai, T.-M.; Pan, C.-H.; Zhang, R.; Liu, K.-H.; Chen, H.-M.; Tseng, Y.-T.; Hung, Y.-C.; et al. Effects of Varied Negative Stop Voltages on Current Self-Compliance in Indium Tin Oxide Resistance Random Access Memory. IEEE Electron. Device Lett. 2015, 36, 564–566. [Google Scholar] [CrossRef]
- Fujimoto, M.; Koyama, H. TiO2 anatase nanolayer on TiN thin film exhibiting high-speed bipolar resistive switching. Appl. Phys. Lett. 2006, 89, 223509. [Google Scholar] [CrossRef]
- Seo, S.; Lee, M.J.; Seo, D.H.; Jeoung, E.J.; Suh, D.-S.; Joung, Y.S.; Yoo, I.K.; Hwang, I.R.; Kim, S.H.; Byun, I.S.; et al. Reproducible resistance switching in polycrystalline NiO films. Appl. Phys. Lett. 2004, 85, 5655–5657. [Google Scholar] [CrossRef]
- Donley, C.; Dunphy, D.; Paine, D.; Carter, C.; Nebesny, K.; Lee, P.; Alloway, D.; Armstrong, N.R. Characterization of Indium−Tin Oxide Interfaces Using X-ray Photoelectron Spectroscopy and Redox Processes of a Chemisorbed Probe Molecule: Effect of Surface Pretreatment Conditions. Langmuir 2001, 18, 450–457. [Google Scholar] [CrossRef]
- Chen, K.-H.; Kao, M.-C.; Huang, S.-J.; Li, J.-Z. Bipolar Switching Properties of Neodymium Oxide RRAM Devices Using by a Low Temperature Improvement Method. Materials 2017, 10, 1415. [Google Scholar] [CrossRef]
- Li, Z.; Böruer, P.D.; Schmidt, H.; Bolívar, P.H.; Choubey, B. Bidirectional Transition between Threshold and Bipolar Switching in Ag/SiO2/ITO Memristors. In Proceedings of the 2022 IEEE 22nd International Conference on Nanotechnology (NANO), Palma de Mallorca, Spain, 4–8 July 2022. [Google Scholar]
- Chen, K.H.; Cheng, C.M.; Li, C.Y.; Huang, S.J. Hopping conduction distance of bipolar switching GdOx resistance random access memory thin films devices modified by different constant compliance current. Microelectron. Reliab. 2018, 91, 330–334. [Google Scholar] [CrossRef]
- Kim, D.C.; Lee, M.J.; Ahn, S.E.; Seo, S.; Park, J.C.; Yoo, I.K.; Baek, I.G.; Yim, E.K.; Lee, J.E.; Park, S.O.; et al. Improvement of resistive memory switching in NiO using IrO2. Appl. Phys. Lett. 2006, 88, 232106. [Google Scholar] [CrossRef]
- Oka, T.; Nagaosa, N. Interfaces of Correlated Electron Systems: Proposed Mechanism for Colossal Electroresistance. Phys. Rev. Lett. 2005, 95, 266403. [Google Scholar] [CrossRef]
- Choi, B.J.; Jeong, D.S.; Kim, S.K.; Rohde, C.; Choi, S.; Oh, J.H.; Kim, H.J.; Hwang, C.S.; Szot, K.; Waser, R.; et al. Resistive switching mechanism of TiO2 thin films grown by atomic-layer deposition. J. Appl. Phys. 2005, 98, 033715–033724. [Google Scholar] [CrossRef]
- Jeon, S.H.; Park, B.H.; Lee, J.; Lee, B.; Han, S. First-principles modeling of resistance switching in perovskite oxide material. Appl. Phys. Lett. 2006, 89, 042904. [Google Scholar] [CrossRef]
- Rozenberg, M.J.; Inoue, I.H.; Sánchez, M.J. Strong electron correlation effects in nonvolatile electronic memory devices. Appl. Phys. Lett. 2006, 88, 033510. [Google Scholar] [CrossRef]
- Chen, K.H.; Zhang, R.; Chang, T.C.; Tsai, T.M.; Chang, K.C.; Lou, J.C.; Young, T.F.; Chen, J.H.; Shih, C.C.; Tung, C.W.; et al. Hopping conduction distance dependent activation energy characteristics of Zn:SiO2 resistance random access memory devices. Appl. Phys. Lett. 2013, 102, 133503. [Google Scholar] [CrossRef]
- Chang, K.-C.; Chang, T.-C.; Tsai, T.-M.; Zhang, R.; Hung, Y.-C.; Syu, Y.-E.; Chang, Y.-F.; Chen, M.-C.; Chu, T.-J.; Chen, H.-L.; et al. Physical and chemical mechanisms in oxide-based resistance random access memory. Nanoscale Res. Lett. 2015, 10, 120. [Google Scholar] [CrossRef] [PubMed]
- Chen, K.H.; Chang, K.C.; Chang, T.C.; Tsai, T.M.; Liang, S.P.; Young, T.F.; Syu, Y.E.; Sze, S.M. Improvement of Bipolar Switching Properties of Gd:SiOx RRAM Devices on Indium Tin Oxide Electrode by Low-Temperature Supercritical CO2 Treatment. Nanoscale Res. Lett. 2016, 11, 52. [Google Scholar] [CrossRef] [PubMed]
- Chen, K.H.; Chang, K.C.; Chang, K.C.; Chang, K.M.; Sze, S.M. Effect of different constant compliance current for hopping conduction distance properties of the Sn:SiOx thin film RRAM device. Appl. Phys. A 2016, 122, 1–6. [Google Scholar] [CrossRef]














| Zn:SiO2 [34] | Ni:SiO2 [34] | Sn:SiO2 [32] | Gd:SiO2 [31] | ITO:SiO2 | |
|---|---|---|---|---|---|
| Operation current | 1 × 10−3 A | 1 × 10−3 A | 1 × 10−2 A | 5 ×10−4 A | 5 × 10−3 A |
| Operation stability | Good | Good | Good | Good | Good |
| Set voltage | <1 V | <1.5 V | <1 V | <0.5 V | <0.5 V |
| Reset voltage | <1.5 V | <2 V | <1.5 V | <1 V | <1 V |
| Endurance | >107 | >106 | >107 | >106 | >106 |
| Retention | >109 | >109 | >107 | >106 | >106 |
Disclaimer/Publisher’s Note: The statements, opinions and data contained in all publications are solely those of the individual author(s) and contributor(s) and not of MDPI and/or the editor(s). MDPI and/or the editor(s) disclaim responsibility for any injury to people or property resulting from any ideas, methods, instructions or products referred to in the content. |
© 2023 by the authors. Licensee MDPI, Basel, Switzerland. This article is an open access article distributed under the terms and conditions of the Creative Commons Attribution (CC BY) license (https://creativecommons.org/licenses/by/4.0/).
Share and Cite
Chen, K.-H.; Cheng, C.-M.; Wang, N.-F.; Kao, M.-C. Activation Energy and Bipolar Switching Properties for the Co-Sputtering of ITOX:SiO2 Thin Films on Resistive Random Access Memory Devices. Nanomaterials 2023, 13, 2179. https://doi.org/10.3390/nano13152179
Chen K-H, Cheng C-M, Wang N-F, Kao M-C. Activation Energy and Bipolar Switching Properties for the Co-Sputtering of ITOX:SiO2 Thin Films on Resistive Random Access Memory Devices. Nanomaterials. 2023; 13(15):2179. https://doi.org/10.3390/nano13152179
Chicago/Turabian StyleChen, Kai-Huang, Chien-Min Cheng, Na-Fu Wang, and Ming-Cheng Kao. 2023. "Activation Energy and Bipolar Switching Properties for the Co-Sputtering of ITOX:SiO2 Thin Films on Resistive Random Access Memory Devices" Nanomaterials 13, no. 15: 2179. https://doi.org/10.3390/nano13152179
APA StyleChen, K.-H., Cheng, C.-M., Wang, N.-F., & Kao, M.-C. (2023). Activation Energy and Bipolar Switching Properties for the Co-Sputtering of ITOX:SiO2 Thin Films on Resistive Random Access Memory Devices. Nanomaterials, 13(15), 2179. https://doi.org/10.3390/nano13152179

