Sub-THz Vibrational Dynamics in Ordered Mesoporous Silica Nanoparticles
Abstract
1. Introduction
2. Materials and Methods
2.1. Materials
2.2. Synthesis of Porous and Non-Porous Silica
2.3. Characterization of the Silica Nanomaterials
3. Results
3.1. MCM-41 MSNs
3.2. SBA-15 MSNs and Non-Porous Silica NPs
3.3. Brillouin Scattering
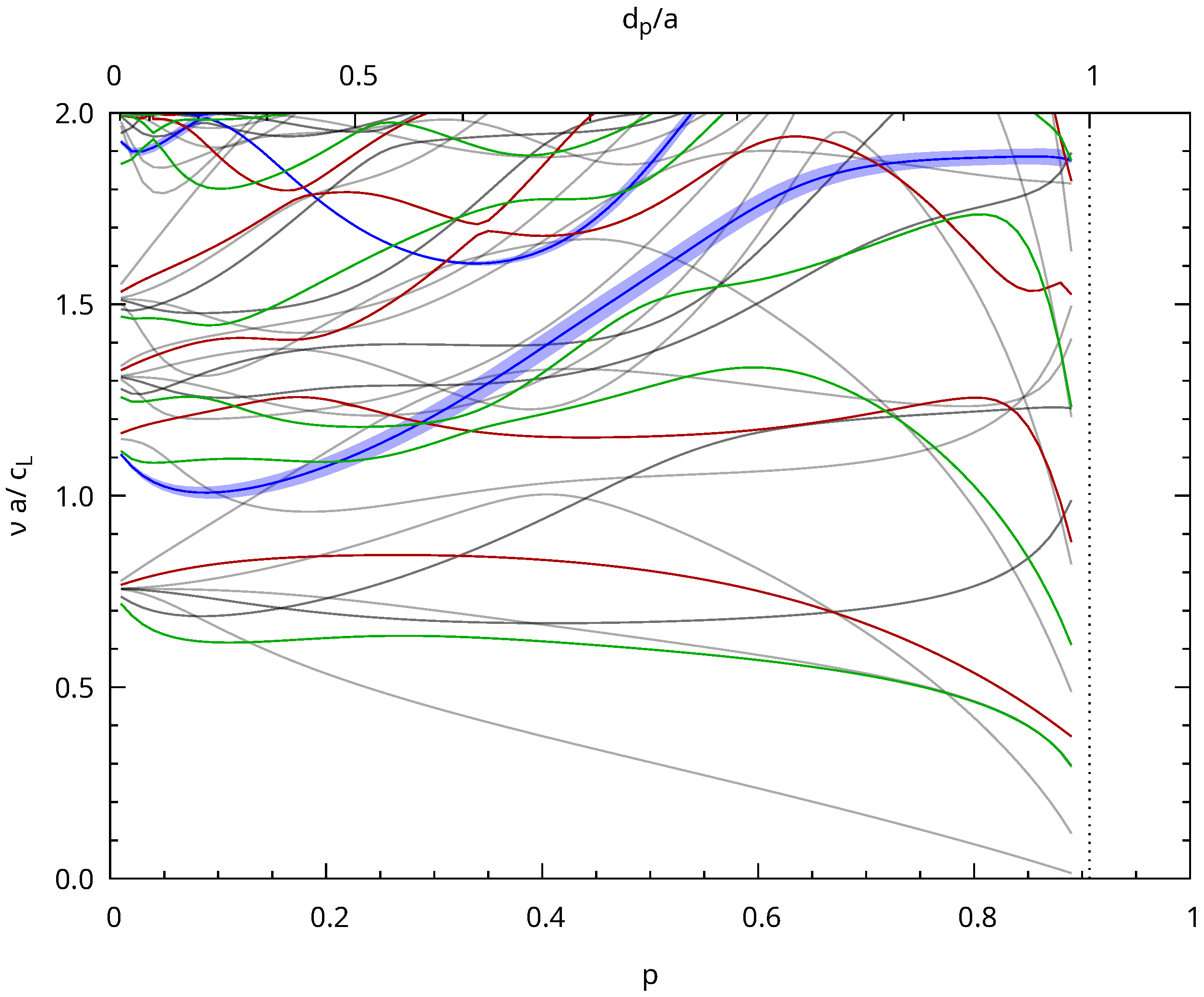
3.4. Calculation of the Phonon Bands
3.4.1. Acoustic Branches
3.4.2. Optical Branches
4. Discussion
5. Conclusions
Supplementary Materials
Author Contributions
Funding
Data Availability Statement
Conflicts of Interest
References
- Vasileiadis, T.; Varghese, J.; Babacic, V.; Gomis-Bresco, J.; Urrios, D.N.; Graczykowski, B. Progress and perspectives on phononic crystals. J. Appl. Phys. 2021, 129, 160901. [Google Scholar] [CrossRef]
- Cang, Y.; Jin, Y.; Djafari-Rouhani, B.; Fytas, G. Fundamentals, progress and perspectives on high-frequency phononic crystals. J. Phys. Appl. Phys. 2022, 55, 193002. [Google Scholar] [CrossRef]
- Manzano, M.; Vallet-Regí, M. Mesoporous silica nanoparticles for drug delivery. Adv. Funct. Mater. 2019, 30, 1902634. [Google Scholar] [CrossRef]
- Ogawa, M. Mesoporous silica layer: Preparation and opportunity. Chem. Rec. 2016, 17, 217–232. [Google Scholar] [CrossRef] [PubMed]
- Eurov, D.A.; Kurdyukov, D.A.; Stovpiaga, E.Y.; Salasyuk, A.S.; Jäger, J.; Scherbakov, A.V.; Akimov, A.V.; Kent, A.J.; Yakovlev, D.R.; Bayer, M.; et al. Hypersonic properties of monodisperse spherical mesoporous silica particles. J. Phys. Appl. Phys. 2014, 47, 335303. [Google Scholar] [CrossRef]
- Alevizaki, A.; Sainidou, R.; Rembert, P.; Morvan, B.; Stefanou, N. Phononic crystals of poroelastic spheres. Phys. Rev. 2016, 94. [Google Scholar] [CrossRef]
- Abdala, N.L.; Esmann, M.; Fuertes, M.C.; Angelomé, P.C.; Ortiz, O.; Bruchhausen, A.; Pastoriza, H.; Perrin, B.; Soler-Illia, G.J.A.A.; Lanzillotti-Kimura, N.D. Mesoporous thin films for acoustic devices in the gigahertz range. J. Phys. Chem. 2020, 124, 17165–17171. [Google Scholar] [CrossRef]
- Thelen, M.; Bochud, N.; Brinker, M.; Prada, C.; Huber, P. Laser-excited elastic guided waves reveal the complex mechanics of nanoporous silicon. Nat. Commun. 2021, 12, 3597. [Google Scholar] [CrossRef]
- Machon, D.; Bois, L.; Jubgand Fandio, D.J.; Martinet, Q.; Forestier, A.; Le Floch, S.; Margueritat, J.; Pischedda, V.; Morris, D.; Saviot, L. Revisiting pressure-induced transitions in mesoporous anatase TiO2. J. Phys. Chem. C 2019, 123, 23488–23496. [Google Scholar] [CrossRef]
- Pighini, C.; Aymes, D.; Millot, N.; Saviot, L. Low-frequency Raman characterization of size-controlled anatase TiO2 nanopowders grown by continuous hydrothermal synthesis. J. Nanoparticle Res. 2007, 9, 309. [Google Scholar] [CrossRef]
- Laude, V. Phononic Crystals; De Gruyter: Berlin, Germany, 2020. [Google Scholar] [CrossRef]
- Varache, M.; Bezverkhyy, I.; Weber, G.; Saviot, L.; Baras, R.C.F.; Bouyer, F. Loading of cisplatin into mesoporous silica nanoparticles: Effect of surface functionalization. Langmuir 2019, 35, 8984–8995. [Google Scholar] [CrossRef] [PubMed]
- Yuan, P.; Li, X.; Wang, W.; Liu, H.; Yan, Y.; Yang, H.; Yue, Y.; Bao, X. Tailored design of differently modified mesoporous materials to deeply understand the adsorption mechanism for polycyclic aromatic hydrocarbons. Langmuir 2018, 34, 15708–15718. [Google Scholar] [CrossRef] [PubMed]
- Stöber, W.; Fink, A.; Bohn, E. Controlled growth of monodisperse silica spheres in the micron size range. J. Colloid Interface Sci. 1968, 26, 62–69. [Google Scholar] [CrossRef]
- Brunauer, S.; Emmett, P.H.; Teller, E. Adsorption of gases in multimolecular layers. J. Am. Chem. Soc. 1938, 60, 309–319. [Google Scholar] [CrossRef]
- Barrett, E.P.; Joyner, L.G.; Halenda, P.P. The determination of pore volume and area distributions in porous substances. I. computations from nitrogen isotherms. J. Am. Chem. Soc. 1951, 73, 373–380. [Google Scholar] [CrossRef]
- Ishii, Y.; Nishiwaki, Y.; Al-zubaidi, A.; Kawasaki, S. Pore size determination in ordered mesoporous materials using powder X-ray diffraction. J. Phys. Chem. C 2013, 117, 18120–18130. [Google Scholar] [CrossRef]
- Galeener, F.L.; Geissberger, A.E. Vibrational dynamics in 30Si-substituted vitreous SiO2. Phys. Rev. B 1983, 27, 6199–6204. [Google Scholar] [CrossRef]
- Geissberger, A.E.; Galeener, F.L. Raman studies of vitreous SiO2 versus fictive temperature. Phys. Rev. B 1983, 28, 3266–3271. [Google Scholar] [CrossRef]
- Humbert, B.; Burneau, A.; Gallas, J.; Lavalley, J. Origin of the Raman bands, D1 and D2, in high surface area and vitreous silicas. J. Non-Cryst. Solids 1992, 143, 75–83. [Google Scholar] [CrossRef]
- Borodko, Y.; Ager, J.W.; Marti, G.E.; Song, H.; Niesz, K.; Somorjai, G.A. Structure sensitivity of vibrational spectra of mesoporous silica SBA-15 and Pt/SBA-15. J. Phys. Chem. B 2005, 109, 17386–17390. [Google Scholar] [CrossRef] [PubMed]
- Alessi, A.; Agnello, S.; Buscarino, G.; Gelardi, F. Raman and IR investigation of silica nanoparticles structure. J. Non-Cryst. Solids 2013, 362, 20–24. [Google Scholar] [CrossRef]
- Shen, J.; Chen, P.; Lee, Y.; Cheng, C. Red-light emission in MCM-41 meso-porous nanotubes. Solid State Commun. 2002, 122, 65–68. [Google Scholar] [CrossRef]
- Hecht, F. New development in FreeFem++. J. Numer. Math. 2012, 20, 251–265. [Google Scholar] [CrossRef]
- Juvé, V.; Crut, A.; Maioli, P.; Pellarin, M.; Broyer, M.; Fatti, N.D.; Vallée, F. Probing elasticity at the nanoscale: Terahertz acoustic vibration of small metal nanoparticles. Nano Lett. 2010, 10, 1853–1858. [Google Scholar] [CrossRef]
- Girard, A.; Saviot, L.; Pedetti, S.; Tessier, M.D.; Margueritat, J.; Gehan, H.; Mahler, B.; Rtret, B.D.; Mermet, A. Mass load effect on the resonant acoustic frequencies of colloidal semiconductor nanoplatelets. Nanoscale 2016, 8, 13251–13256. [Google Scholar] [CrossRef] [PubMed]
- Still, T.; Gantzounis, G.; Kiefer, D.; Hellmann, G.; Sainidou, R.; Fytas, G.; Stefanou, N. Collective hypersonic excitations in strongly multiple scattering colloids. Phys. Rev. Lett. 2011, 106, 175505. [Google Scholar] [CrossRef]
- Love, W.F. Low-temperature thermal Brillouin scattering in fused silica and borosilicate glass. Phys. Rev. Lett. 1973, 31, 822–825. [Google Scholar] [CrossRef]
- Rumble, J.; Lide, D.; Bruno, T. CRC Handbook of Chemistry and Physics: A Ready-Reference Book of Chemical and Physical Data; CRC Handbook of Chemistry and Physics; CRC Press: Boca Raton, FL, USA, 2016–2017. [Google Scholar]
- Saviot, L. Free vibrations of anisotropic nano-objects with rounded or sharp corners. Nanomaterials 2021, 11, 1838. [Google Scholar] [CrossRef]
- Still, T.; Mattarelli, M.; Kiefer, D.; Fytas, G.; Montagna, M. Eigenvibrations of submicrometer colloidal spheres. J. Phys. Chem. Lett. 2010, 1, 2440–2444. [Google Scholar] [CrossRef]
- Visscher, W.M.; Migliori, A.; Bell, T.M.; Reinert, R.A. On the normal modes of free vibration of inhomogeneous and anisotropic elastic objects. J. Acoust. Soc. Am. 1991, 90, 2154–2162. [Google Scholar] [CrossRef]
- Kruk, M.; Jaroniec, M.; Ko, C.H.; Ryoo, R. Characterization of the porous Structure of SBA-15. Chem. Mater. 2000, 12, 1961–1968. [Google Scholar] [CrossRef]
- Galarneau, A.; Cambon, H.; Renzo, F.D.; Fajula, F. True microporosity and surface area of mesoporous SBA-15 silicas as a function of synthesis temperature. Langmuir 2001, 17, 8328–8335. [Google Scholar] [CrossRef]









| T (°C) | (nm) | a (nm) | (nm) | e (nm) | p (%) | Brillouin (GHz) | |
|---|---|---|---|---|---|---|---|
| 550 | 110 | 4.3 | 2.6 | 1.7 | 0.60 | 33 | 13 |
| 700 | 103 | 4.2 | 2.4 | 1.8 | 0.57 | 30 | 16 |
| 800 | 95 | 3.8 | 2.1 | 1.7 | 0.55 | 28 | 15 |
| T (°C) | a (nm) | (nm) | e (nm) | p (%) | Brillouin (GHz) | |
|---|---|---|---|---|---|---|
| 550 | 9.784 | 5.88 | 3.904 | 0.60 | 33.8 | 7.5 |
| 700 | 9.149 | 5.59 | 3.559 | 0.61 | 33.9 | 8.8 |
| 800 | 8.781 | 5.23 | 3.551 | 0.60 | 32.2 | 10 |
| i.r. | E2g | E1g | E1g | E2g | A1g |
| 0.61 | 0.81 | 1.13 | 1.17 | 1.28 | |
![]() | ![]() | ![]() | ![]() | ![]() |
Disclaimer/Publisher’s Note: The statements, opinions and data contained in all publications are solely those of the individual author(s) and contributor(s) and not of MDPI and/or the editor(s). MDPI and/or the editor(s) disclaim responsibility for any injury to people or property resulting from any ideas, methods, instructions or products referred to in the content. |
© 2023 by the authors. Licensee MDPI, Basel, Switzerland. This article is an open access article distributed under the terms and conditions of the Creative Commons Attribution (CC BY) license (https://creativecommons.org/licenses/by/4.0/).
Share and Cite
Hernando Abad, E.; Bouyer, F.; Chaabane, L.; Zerrouki, A.; Margueritat, J.; Saviot, L. Sub-THz Vibrational Dynamics in Ordered Mesoporous Silica Nanoparticles. Nanomaterials 2023, 13, 2078. https://doi.org/10.3390/nano13142078
Hernando Abad E, Bouyer F, Chaabane L, Zerrouki A, Margueritat J, Saviot L. Sub-THz Vibrational Dynamics in Ordered Mesoporous Silica Nanoparticles. Nanomaterials. 2023; 13(14):2078. https://doi.org/10.3390/nano13142078
Chicago/Turabian StyleHernando Abad, Eduardo, Frédéric Bouyer, Laroussi Chaabane, Alan Zerrouki, Jérémie Margueritat, and Lucien Saviot. 2023. "Sub-THz Vibrational Dynamics in Ordered Mesoporous Silica Nanoparticles" Nanomaterials 13, no. 14: 2078. https://doi.org/10.3390/nano13142078
APA StyleHernando Abad, E., Bouyer, F., Chaabane, L., Zerrouki, A., Margueritat, J., & Saviot, L. (2023). Sub-THz Vibrational Dynamics in Ordered Mesoporous Silica Nanoparticles. Nanomaterials, 13(14), 2078. https://doi.org/10.3390/nano13142078






