Modeling and Comparative Analysis of Atmospheric Pressure Anodic Carbon Arc Discharge in Argon and Helium–Producing Carbon Nanostructures
Abstract
1. Introduction
2. Model Description
2.1. Model Equations and Boundary Conditions
2.2. Elementary Processes in Helium Plasma
2.3. Elementary Processes in Argon Plasma
2.4. Kinetics of Elementary Processes Involving Atoms and Molecules of Carbon
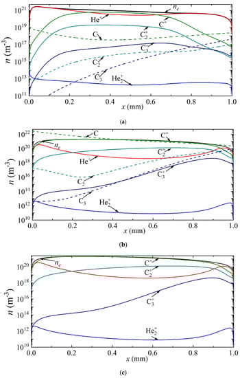
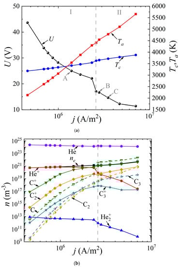
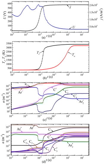
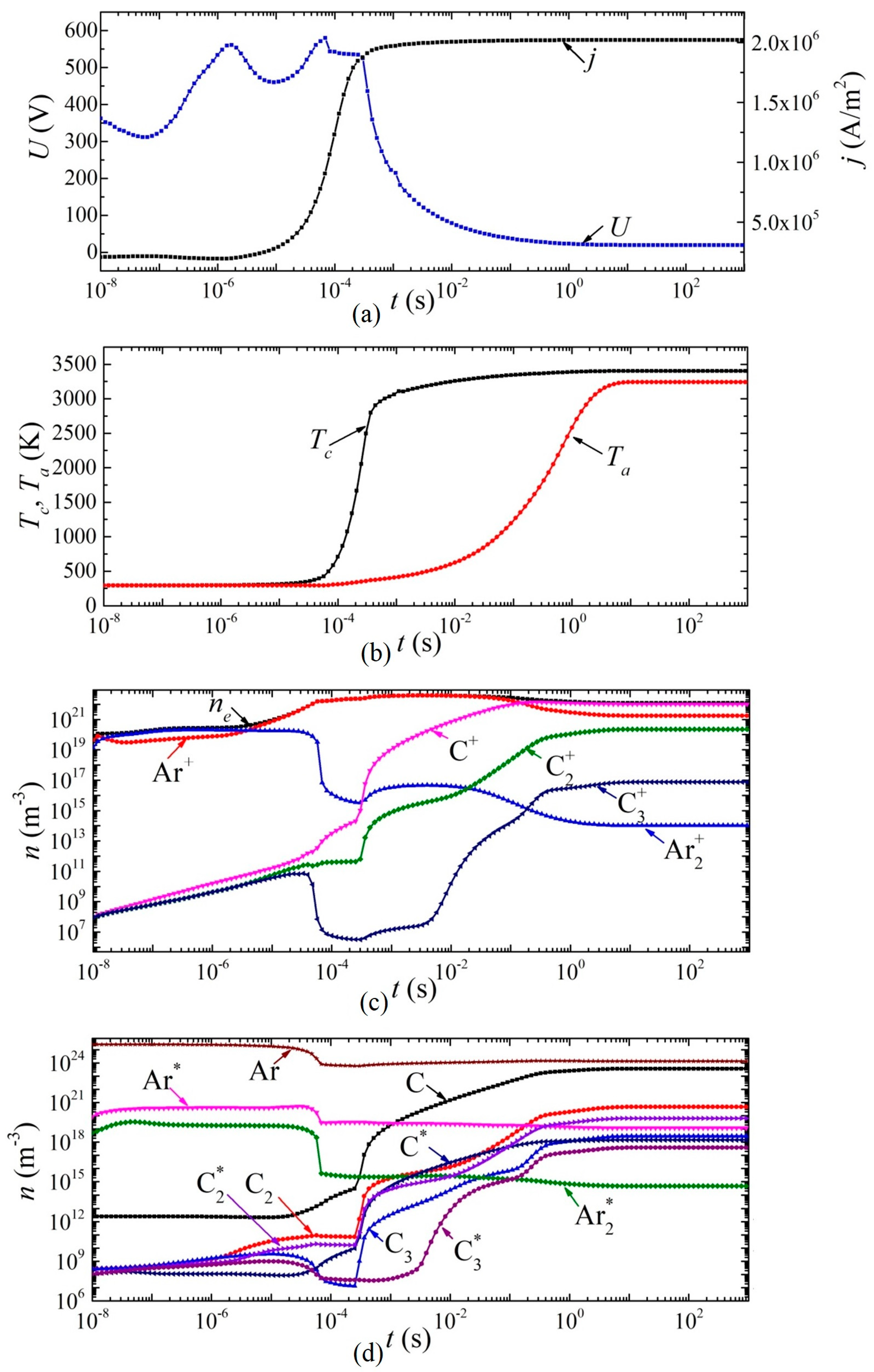
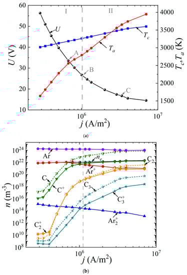
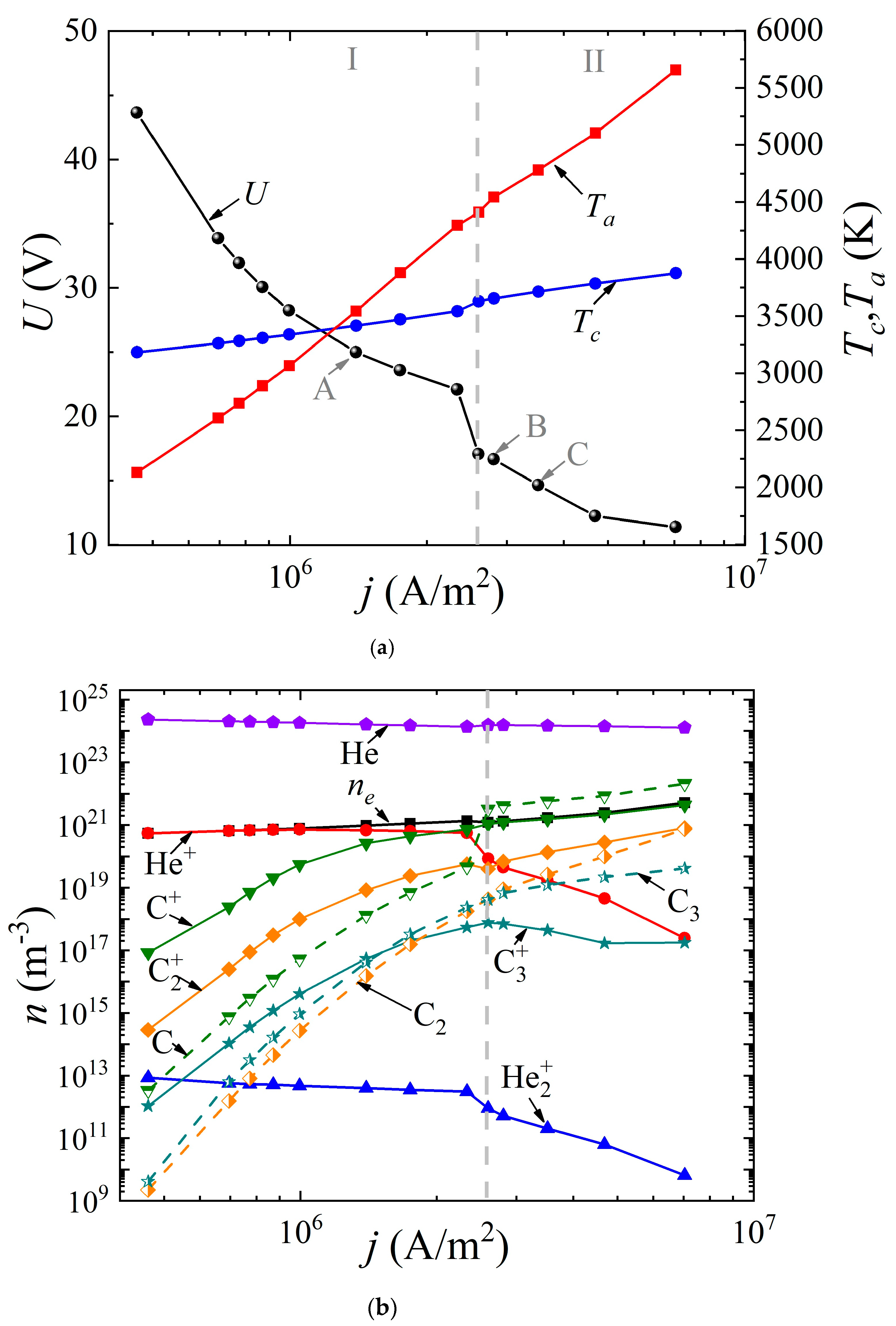
3. Results and Discussion
4. Conclusions
Author Contributions
Funding
Data Availability Statement
Conflicts of Interest
References
- Ostrikov, K. Plasma Nanoscience: Basic Concepts and Applications of Deterministic Nanofabrication; Wiley-VCH Verlag: Weinheim, Germany, 2008; pp. 1–563. [Google Scholar]
- Journet, C.; Picher, M.; Jourdain, V. Carbon nanotube synthesis: From large-scale production to atom-by-atom growth. Nanotechnology 2012, 23, 142001. [Google Scholar] [CrossRef] [PubMed]
- Shigeta, M.; Murphy, A.B. Thermal plasmas for nanofabrication. J. Phys. D Appl. Phys. 2011, 44, 174025. [Google Scholar] [CrossRef]
- Chen, G.; Zhou, W.; Guan, D.; Sunarso, J.; Zhu, Y.; Hu, X.; Zhang, W.; Shao, Z. Two orders of magnitude enhancement in oxygen evolution reactivity on amorphous Ba0.5Sr0.5Co0.8Fe0.2O3−δ nanofilms with tunable oxidation state. Sci. Adv. 2017, 3, e1603206. [Google Scholar] [CrossRef] [PubMed]
- Guan, D.; Zhong, J.; Xu, H.; Huang, Y.C.; Hu, Z.; Chen, B.; Zhang, Y.; Ni, M.; Xu, X.; Zhou, W.; et al. A universal chemical-induced tensile strain tuning strategy to boost oxygen-evolving electrocatalysis on perovskite oxides. Appl. Phys. Rev. 2022, 9, 011422. [Google Scholar] [CrossRef]
- Meyyappan, M. Plasma nanotechnology: Past, present and future. J. Phys. D Appl. Phys. 2011, 44, 174002. [Google Scholar] [CrossRef]
- Jiang, Q.; Ren, Y.; Yang, Y.; Liu, H.; Wang, L.; Li, J.; Dai, L.; He, Z. High-activity and stability graphite felt supported by Fe, N, S co-doped carbon nanofibers derived from bimetal-organic framework for vanadium redox flow battery. Chem. Eng. J. 2023, 460, 141751. [Google Scholar] [CrossRef]
- Journet, C.; Maser, W.K.; Bernier, P.; Loiseau, A.; Lamy, M.; de la Chapelle, M.L.; Lefrant, S.; Deniard, P.; Lee, R.; Fischer, J.E. Largescale production of single-walled carbon nanotubes by the electric-arc technique. Nature 1997, 388, 756–758. [Google Scholar] [CrossRef]
- Jiang, Q.; Ren, Y.; Yang, Y.; Wang, L.; Dai, L.; He, Z. Recent advances in carbon-based electrocatalysts for vanadium redox flow battery: Mechanisms, properties, and perspectives. Compos. Part B Eng. 2022, 242, 110094. [Google Scholar] [CrossRef]
- Adamovich, I.; Baalrud, S.D.; Bogaerts, A.; Bruggeman, P.J.; Cappelli, M.; Colombo, V.; Czarnetzki, U.; Ebert, U.; Eden, J.G.; Favia, P.; et al. The 2017 Plasma Roadmap: Low temperature plasma science and technology. J. Phys. D Appl. Phys. 2017, 50, 323001. [Google Scholar] [CrossRef]
- Chiappim, W.; Neto, B.B.; Shiotani, M.; Karnopp, J.; Gonçalves, L.; Chaves, J.P.; Sobrinho, A.d.S.; Leitão, J.P.; Fraga, M.; Pessoa, R. Plasma-Assisted Nanofabrication: The Potential and Challenges in Atomic Layer Deposition and Etching. Nanomaterials 2022, 12, 3497. [Google Scholar] [CrossRef]
- You, Y.-B.; Lee, Y.-S.; Kim, S.-J.; Cho, C.-H.; Seong, I.-H.; Jeong, W.-N.; Choi, M.-S.; You, S.-J. Influence of Additive N2 on O2 Plasma Ashing Process in Inductively Coupled Plasma. Nanomaterials 2022, 12, 3798. [Google Scholar] [CrossRef]
- Lee, Y.; Yeom, H.; Choi, D.; Kim, S.; Lee, J.; Kim, J.; Lee, H.; You, S. Database Development of SiO2 Etching with Fluorocarbon Plasmas Diluted with Various Noble Gases of Ar, Kr, and Xe. Nanomaterials 2022, 12, 3828. [Google Scholar] [CrossRef]
- Qin, B.; Zhang, T.; Chen, H.; Ma, Y. The growth mechanism of few-layer graphene in the arc discharge process. Carbon 2016, 102, 494–498. [Google Scholar] [CrossRef]
- Park, Y.S.; Kodama, S.; Sekiguchi, H. Preparation of Metal Nitride Particles Using Arc Discharge in Liquid Nitrogen. Nanomaterials 2021, 11, 2214. [Google Scholar] [CrossRef]
- Vekselman, V.; Raitses, Y.; Shneider, M.N. Growth of nanoparticles in dynamic plasma. Phys. Rev. E 2019, 99, 063205. [Google Scholar] [CrossRef]
- Timerkaev, B.A.; Kaleeva, A.A.; Timerkaeva, D.B.; Saifutdinov, A.I. Germanium catalyst for plasma-chemical synthesis of diamonds. High Energy Chem. 2019, 53, 390–395. [Google Scholar] [CrossRef]
- Shavelkina, M.B.; Ivanov, P.P.; Bocharov, A.N.; Amirov, R.K. Numerical and Experimental Study of the Multichannel Nature of the Synthesis of Carbon Nanostructures in DC Plasma Jets. Plasma Chem. Plasma Process. 2021, 41, 171–189. [Google Scholar] [CrossRef]
- Iijima, S. Helical microtubules of graphitic carbon. Nature 1991, 354, 56–58. [Google Scholar] [CrossRef]
- Chopra, N.G.; Luyken, R.J.; Cherrey, K.; Crespi, V.H.; Cohen, M.L.; Louie, S.G.; Zettl, A. Boron Nitride Nanotubes. Science 1995, 269, 966–967. [Google Scholar] [CrossRef]
- Chhowalla, M.; Amaratunga, G.A.J. Thin films of fullerenelike MoS2 nanoparticles with ultra-low friction and wear. Nature 2000, 407, 164–167. [Google Scholar] [CrossRef]
- Li, X.; Zhu, H. Two-dimensional MoS2: Properties, preparation, and applications. J. Mater. 2015, 1, 33–44. [Google Scholar] [CrossRef]
- Lin, Z.; Carvalho, B.R.; Kahn, E.; Lv, R.; Rao, R.; Terrones, H.; Pimenta, M.A.; Terrones, M. Defect engineering of twodimensional transition metal dichalcogenides. 2D Mater. 2016, 3, 022002. [Google Scholar] [CrossRef]
- Yang, Z.; Tian, J.; Yin, Z.; Cui, C.; Qian, W.; Wei, F. Carbon nanotube- and graphene-based nanomaterials and applications in high-voltage supercapacitor: A review. Carbon 2019, 141, 467–480. [Google Scholar] [CrossRef]
- Kumar, A.; Khan, M.A.; Kumar, M. Recent advances in UV photodetectors based on 2D materials: A review. J. Phys. D App. Phys 2022, 55, 133002. [Google Scholar] [CrossRef]
- Golberg, D.; Bai, X.D.; Mitome, M.; Tang, C.C.; Zhi, C.Y.; Bando, Y. Structural peculiarities of in situ deformation of a multiwalled BN nanotube inside a high-resolution analytical transmission electron microscope. Acta Mater. 2007, 55, 1293–1298. [Google Scholar] [CrossRef]
- Levchenko, I.; Xu, S.; Teel, G.; Mariotti, D.; Walker, M.L.R.; Keidar, M. Recent progress and perspectives of space electric propulsion systems based on smart nanomaterials. Nat. Commun. 2018, 9, 879. [Google Scholar] [CrossRef]
- Zhang, Q.; Wu, Z.; Li, N.; Pu, Y.; Wang, B.; Zhang, T.; Tao, J. Advanced review of graphene-based nanomaterials in drug delivery systems: Synthesis, modification, toxicity and application. Mater. Sci. Eng. 2017, 77, 1363–1375. [Google Scholar] [CrossRef]
- Bazaka, K.; Levchenko, I.; Lim, J.W.M.; Baranov, O.; Corbella, C.; Xu, S.; Keidar, M. MoS2-based nanostructures: Synthesis and applications in medicine. J. Phys. D Appl. Phys. 2019, 52, 183001. [Google Scholar] [CrossRef]
- Momeni, K.; Ji, Y.; Wang, Y.; Paul, S.; Neshani, S.; Yilmaz, D.E.; Shin, Y.K.; Zhang, D.; Jiang, J.W.; Park, H.S.; et al. Multiscale computational understanding and growth of 2D materials: A review. Npj Comput. Mater. 2020, 6, 22. [Google Scholar] [CrossRef]
- Kundrapu, M.; Keidar, M. Numerical simulation of carbon arc discharge for nanoparticle synthesis. Phys. Plasmas 2012, 19, 073510. [Google Scholar] [CrossRef]
- Keidar, M.; Beilis, I.I. Modeling of atmospheric-pressure anodic carbon arc producing carbon nanotubes. J. Appl. Phys. 2009, 106, 103304. [Google Scholar] [CrossRef]
- Lebouvier, A.; Iwarere, S.A.; Ramjugernath, D.; Fulcheri, L. 3D magnetohydrodynamic modelling of a dc low-current plasma arc batch reactor at very high pressure in helium. J. Phys. D Appl. Phys. 2013, 46, 145203. [Google Scholar] [CrossRef]
- Chemartin, L.; Lalande, P.; Montreuil, E.; Delalondre, C.; Cheron, B.G.; Lago, F. Three dimensional simulation of a DC free burning arc. Application to lightning physics. Atmos. Res. 2009, 91, 371–380. [Google Scholar] [CrossRef]
- Timofeev, N.A.; Sukhomlinov, V.S.; Zissis, G.; Mukharaeva, I.Y.; Mikhaylov, D.V.; Mustafaev, A.S.; Dupuis, P.; Solikhov, D.Q.; Borodina, V.S. Modeling of High Pressure Short-Arc Xenon Discharge With a Thoriated Cathode. IEEE Trans. Plasma Sci. 2021, 49, 2387–2396. [Google Scholar] [CrossRef]
- Elaissi, S.; Ben Gouider Trabelsi, A.; Alkallas, F.H.; Alrebdi, T.A.; Charrada, K. Modeling of Advanced Silicon Nanomaterial Synthesis Approach: From Reactive Thermal Plasma Jet to Nanosized Particles. Nanomaterials 2022, 12, 1763. [Google Scholar] [CrossRef]
- Maharaj, A.; D’Angola, A.; Colonna, G.; Iwarere, S.A. Modeling and Simulation of Low Current Atmospheric and High-Pressure Helium Plasma Discharges. Front. Phys. 2021, 9, 652. [Google Scholar] [CrossRef]
- Musielok, J. Non-Equilibrium Effects in He-Ar-H Arc Plasma. Beiträge Aus Der Plasmaphys. 1977, 17, 135–143. [Google Scholar] [CrossRef]
- Cram, L.E.; Poladian, L.; Roumeliotis, G. Departures from equilibrium in a free burning argon arc. J. Phys. D Appl. Phys. 1988, 21, 418–425. [Google Scholar] [CrossRef]
- Farmer, A.J.D.; Haddad, G.N. Rayleigh scattering measurements in a free-burning argon arc. J. Phys. D Appl. Phys. 1988, 21, 426–431. [Google Scholar] [CrossRef]
- Benilov, M.S. Understanding and modelling plasma–electrode interaction in high-pressure arc discharges: A review. J. Phys. D Appl. Phys. 2008, 41, 144001. [Google Scholar] [CrossRef]
- Heberlein, J.; Mentel, J.; Pfender, E. The anode region of electric arcs: A survey. J. Phys. D Appl. Phys. 2009, 43, 023001. [Google Scholar] [CrossRef]
- Baeva, M.; Kozakov, R.; Gorchakov, S.; Uhrlandt, D. Two-temperature chemically nonequilibrium modelling of transferred arcs. Plasma Sources Sci. Technol. 2012, 21, 55027. [Google Scholar] [CrossRef]
- Baeva, M.; Uhrlandt, D. Plasma chemistry in the free-burning Ar arc. J. Phys. D Appl. Phys. 2013, 46, 325202. [Google Scholar] [CrossRef]
- Baeva, M.; Benilov, M.S.; Almeida, N.A.; Uhrlandt, D. Novel non-equilibrium modelling of a DC electric arc in argon. J. Phys. D Appl. Phys. 2016, 49, 245205. [Google Scholar] [CrossRef]
- Benilov, M.S.; Almeida, N.A.; Baeva, M.; Cunha, M.D.; Benilova, L.G.; Uhrlandt, D. Account of near-cathode sheath in numerical models of high-pressure arc discharges. J. Phys. D Appl. Phys. 2016, 49, 215201. [Google Scholar] [CrossRef]
- Baeva, M. A Survey of Chemical Nonequilibrium in Argon Arc Plasma. Plasma Chem. Plasma Process. 2017, 37, 513–530. [Google Scholar] [CrossRef]
- Saifutdinov, A.I. Numerical study of various scenarios for the formation of atmospheric pressure DC discharge characteristics in argon: From glow to arc discharge. Plasma Sources Sci. Technol. 2022, 31, 094008. [Google Scholar] [CrossRef]
- Saifutdinov, A.I. Unified simulation of different modes in atmospheric pressure DC discharges in nitrogen. J. Appl. Phys. 2021, 129, 093302. [Google Scholar] [CrossRef]
- Saifutdinov, A.I.; Timerkaev, B.A.; Saifutdinova, A.A. Features of Transient Processes in DC Microdischarges in Molecular Gases: From a Glow Discharge to an Arc Discharge with a Unfree or Free Cathode Regime. JETP Lett. 2020, 112, 405–412. [Google Scholar] [CrossRef]
- Saifutdinov, A.I.; Fairushin, I.I.; Kashapov, N.F. Analysis of various scenarios of the behavior of voltage-current characteristics of direct-current microdischarges at atmospheric pressure. JETP Lett. 2016, 104, 180–185. [Google Scholar] [CrossRef]
- Saifutdinov, A.I.; Sorokina, A.R.; Boldysheva, V.K.; Latypov, E.R.; Saifutdinova, A.A. Evaporation of Carbon Atoms and Molecules in Helium by Low-Current Arc Discharge with Graphite Electrodes. High Energy Chem. 2022, 56, 477–486. [Google Scholar] [CrossRef]
- Saifutdinov, A.I.; Timerkaev, B.A.; Ibragimov, A.R. Numerical Simulation of Temperature Fields in a Direct-Current Plasmatron. Tech. Phys. Lett. 2018, 44, 164–166. [Google Scholar] [CrossRef]
- Baeva, M.; Loffhagen, D.; Uhrlandt, D. Unified non-equilibrium modelling of tungsten-inert gas microarcs in atmospheric pressure argon. Plasma Chem. Plasma Process. 2019, 39, 1359–1378. [Google Scholar] [CrossRef]
- Baeva, M.; Loffhagen, D.; Becker, M.M.; Uhrlandt, D. Fluid modelling of DC argon microplasmas: Effects of the electron transport description. Plasma Chem. Plasma Process. 2019, 39, 949–968. [Google Scholar] [CrossRef]
- Baeva, M.; Methling, R.; Uhrlandt, D. Unified modelling of TIG microarcs with evaporation from copper anode. Plasma Phys. Technol. 2021, 8, 1–4. [Google Scholar] [CrossRef]
- Baeva, M.; Boretskij, V.F.; Gonzalez, D.; Methling, R.; Murmantsev, O.; Uhrlandt, D.; Veklich, A. Unified modelling of low-current short-length arcs between copper electrodes. J. Phys. D Appl. Phys. 2020, 54, 025203. [Google Scholar] [CrossRef]
- Wang, W.; Rong, M.; Murphy, A.B.; Wu, Y.; Spencer, J.W.; Yan, J.D.; Fang, M.T. Thermophysical properties of carbon–argon and carbon–helium plasmas. J. Phys. D Appl. Phys. 2011, 44, 355207. [Google Scholar] [CrossRef]
- Knacke, O.; Stranski, I.N. The mechanism of evaporation. Prog. Met. Phys. 1956, 6, 181–235. [Google Scholar] [CrossRef]
- Benilov, M.S.; Jacobsson, S.; Kaddani, A.; Zahrai, S. Vaporization of a solid surface in an ambient gas. J. Phys. D Appl. Phys. 2001, 34, 1993–1999. [Google Scholar] [CrossRef]
- Thorn, R.J.; Winslow, G.H. Vaporization coefficient of graphite and composition of the equilibrium vapor. J. Chem. Phys. 1957, 26, 186–196. [Google Scholar] [CrossRef]
- Mansour, A.R.; Hara, K. Multispecies plasma fluid simulation for carbon arc discharge. J. Phys. D Appl. Phys. 2019, 52, 105204. [Google Scholar] [CrossRef]
- Savvatimsky, A.I. Melting of Graphite and Properties of Liquid Carbon; Fizmatkniga: Moscow, Russia, 2013. (In Russian) [Google Scholar]
- Fomin, Y.D.; Brazhkin, V.V. Comparative study of melting of graphite and graphene. Carbon 2020, 157, 767–778. [Google Scholar] [CrossRef]
- Nemchinsky, V. Carbon arc for nanoparticles production: Anode ablation rate and the value of the anode voltage drop. J. Appl. Phys. 2021, 130, 103304. [Google Scholar] [CrossRef]
- Kutasi, K.; Hartmann, P.; Donkó, Z. Self-consistent modelling of helium discharges: Investigation of the role of He2+ ions. J. Phys. D Appl. Phys. 2001, 34, 3368–3377. [Google Scholar] [CrossRef]
- Kutasi, K.; Hartmann, P.; Bánó, G.; Donkó, Z. He2+ molecular ions in helium glow discharges: The effect of bulk electron temperature. Plasma Sources Sci. Technol. 2005, 14, S1–S8. [Google Scholar] [CrossRef]
- Bogdanov, E.A.; Kapustin, K.D.; Kudryavtsev, A.A.; Chirtsov, A.S. Different approaches to fluid simulation of the longitudinal structure of the atmospheric-pressure microdischarge in helium. Tech. Phys. 2010, 55, 1430–1442. [Google Scholar] [CrossRef]
- Wang, Q.; Economou, D.J.; Donnelly, V.M. Simulation of a direct current microplasma discharge in helium at atmospheric pressure. J. Appl. Phys. 2006, 100, 023301. [Google Scholar] [CrossRef]
- Deloche, R.; Monchicourt, P.; Cheret, M.; Lambert, F. High-pressure helium afterglow at room temperature. Phys. Rev. A 1976, 13, 1140–1176. [Google Scholar] [CrossRef]
- Alves, L.L.; Bartschat, K.; Biagi, S.F.; Bordage, M.C.; Pitchford, L.C.; Ferreira, C.M.; Hagelaar, G.J.M.; Morgan, W.L.; Pancheshnyi, S.; Phelps, A.V.; et al. Comparisons of sets of electron–neutral scattering cross sections and swarm parameters in noble gases: II. Helium and neon. J. Phys. D Appl. Phys. 2013, 46, 334002. [Google Scholar] [CrossRef]
- Biagi-v7.1 Database. Available online: www.lxcat.net (accessed on 5 May 2016).
- Nemchinsky, V. Dissociation of the products of graphite anode ablation in an arc producing nanoparticles. Carbon Trends 2022, 8, 100187. [Google Scholar] [CrossRef]
- QUANTEMOL Database. Available online: www.lxcat.net (accessed on 25 May 2016).
- Rozhansky, D.A. Gas Discharge Physics L; ONTI NKTP USSR: Moscow, Russia, 1937; 348p. (In Russian) [Google Scholar]
- Vekselman, V.; Feurer, M.; Huang, T.; Stratton, B.; Raitses, Y. Complex structure of the carbon arc discharge for synthesis of nanotubes. Plasma Sources Sci. Technol. 2017, 26, 065019. [Google Scholar] [CrossRef]








| № | Symbol | Energy (eV) | Stat. Weight | Effective Level Components |
|---|---|---|---|---|
| 1 | 0 | 1 | ||
| 2 | He(T) | 19.8196 | 3 | |
| 3 | He(S) | 20.6157 | 1 | |
| 4 | He* | 23.02 | 36 | |
| 5 | He+ | 24.5874 | 1 | He+ |
| 6 | He2+ | 22.24 | 1 | He2+ |
| 7 | He2* | 17.97 | 3 | He2* |
| R | Reaction | Reaction Constant kj, m3/s, or m6/s | Description |
|---|---|---|---|
| 1 | [67,68,69,70,71,72] | Elastic collision | |
| 2 | [67,68,69,70,71,72] | Excitation | |
| 3 | [67,68,69,70,71,72] | Excitation | |
| 4 | [67,68,69,70,71,72] | Excitation | |
| 5 | [67,68,69,70,71,72] | Direct ionization | |
| 6 | [67,68,69,70,71,72] | Stepwise ionization | |
| 7 | [67,68,69,70,71,72] | Stepwise ionization | |
| 8 | [67,68,69,70,71,72] | Superelastic collisions | |
| 9 | [67,68,69,70,71,72] | Superelastic collisions | |
| 10 | [67,68,69,70,71,72] | Mixing level | |
| 11 | [67,68] | Deexcitation | |
| 12 | [67,68] | Associative ionization | |
| 13 | [69,70] | Conversion to excimers | |
| 14 | [69,70] | Penning ionization | |
| 15 | [69,70] | Penning ionization | |
| 16 | [69,70] | Penning ionization | |
| 17 | [69,70] | Penning ionization | |
| 18 | [69,70] | Penning ionization | |
| 19 | [69,70] | Penning ionization | |
| 20 | [69,70] | Ion conversion | |
| 21 | [69,70] | Three body recombination | |
| 22 | [69,70] | Three body recombination | |
| 23 | [69,70] | Three body recombination | |
| 24 | [69,70] | Dissociative recombination | |
| 25 | [69,70] | Dissociative recombination |
| № | Symbol | Energy (eV) | Comment |
|---|---|---|---|
| 1 | 0 | - | |
| 2 | 8.864 | 2p3p(3P) | |
| 3 | 11.26 | - | |
| 4 | 0 | - | |
| 5 | 2.394 | (Swan bands) | |
| 6 | 11.79 | - | |
| 7 | 0 | - | |
| 8 | 3.062 | (Swing bands) | |
| 9 | 12.00 | - |
| R | Reaction | Reaction Constant kj * | Description |
|---|---|---|---|
| 1 | [72] | Elastic Collision | |
| 2 | [74] | Elastic Collision | |
| 3 | [74] | Elastic Collision | |
| 4 | [74] | Direct ionization | |
| 5 | [52,62] | Excitation | |
| 6 | [52,62] | Deexcitation | |
| 7 | [52,62] | Stepwise ionization | |
| 8 | [52,62] | Direct ionization | |
| 9 | [52,62] | Excitation | |
| 10 | [52,62] | Deexcitation | |
| 11 | [52,62] | Stepwise ionization | |
| 12 | [52,62] | Direct ionization | |
| 13 | [52,62] | Excitation | |
| 14 | [52,62] | Deexcitation | |
| 15 | [52,62] | Stepwise ionization | |
| 16 | Electron dissociation | ||
| 17 | [52,62] | Chemical reactions between heavy species | |
| 18 | [52,62] | Chemical reactions between heavy species | |
| 19 | [52,62] | Chemical reactions between heavy species | |
| 20 | [52,62] | Chemical reactions between heavy species | |
| 21 | [52,62] | Chemical reactions between heavy species | |
| 22 | [52,62] | Chemical reactions between heavy species | |
| 23 | [52,62] | Dissociation involving ions | |
| 24 | [52,62] | Association involving ions | |
| 25 | [52,62] | Dissociation involving ions | |
| 26 | [52,62] | Association involving ions | |
| 27 | [52,62] | Dissociation involving ions | |
| 28 | [52,62] | Association involving ions | |
| 29 | [52,62] | Dissociation involving ions | |
| 30 | [52,62] | Association involving ions | |
| 31 | [52,62] | Dissociation involving ions | |
| 32 | [52,62] | Association involving ions | |
| 33 | [52,62] | Three body recombination | |
| 34 | [52,62] | Three body recombination | |
| 35 | [52,62] | Three body recombination | |
| 36 | [52,62] | Dissociative recombination | |
| 37 | [52,62] | Dissociative recombination | |
| 38 | 7.14 × 106 [52,62] | Radiation | |
| 39 | 7.14 × 106 [52,62] | Radiation | |
| 40 | [52,62] | Penning ionization | |
| 41 | [52,62] | Penning ionization | |
| 42 | [52,62] | Penning ionization |
Disclaimer/Publisher’s Note: The statements, opinions and data contained in all publications are solely those of the individual author(s) and contributor(s) and not of MDPI and/or the editor(s). MDPI and/or the editor(s) disclaim responsibility for any injury to people or property resulting from any ideas, methods, instructions or products referred to in the content. |
© 2023 by the authors. Licensee MDPI, Basel, Switzerland. This article is an open access article distributed under the terms and conditions of the Creative Commons Attribution (CC BY) license (https://creativecommons.org/licenses/by/4.0/).
Share and Cite
Saifutdinov, A.; Timerkaev, B. Modeling and Comparative Analysis of Atmospheric Pressure Anodic Carbon Arc Discharge in Argon and Helium–Producing Carbon Nanostructures. Nanomaterials 2023, 13, 1966. https://doi.org/10.3390/nano13131966
Saifutdinov A, Timerkaev B. Modeling and Comparative Analysis of Atmospheric Pressure Anodic Carbon Arc Discharge in Argon and Helium–Producing Carbon Nanostructures. Nanomaterials. 2023; 13(13):1966. https://doi.org/10.3390/nano13131966
Chicago/Turabian StyleSaifutdinov, Almaz, and Boris Timerkaev. 2023. "Modeling and Comparative Analysis of Atmospheric Pressure Anodic Carbon Arc Discharge in Argon and Helium–Producing Carbon Nanostructures" Nanomaterials 13, no. 13: 1966. https://doi.org/10.3390/nano13131966
APA StyleSaifutdinov, A., & Timerkaev, B. (2023). Modeling and Comparative Analysis of Atmospheric Pressure Anodic Carbon Arc Discharge in Argon and Helium–Producing Carbon Nanostructures. Nanomaterials, 13(13), 1966. https://doi.org/10.3390/nano13131966

