Superior High Transistor’s Effective Mobility of 325 cm2/V-s by 5 nm Quasi-Two-Dimensional SnON nFET
Abstract
1. Introduction
2. Materials and Methods
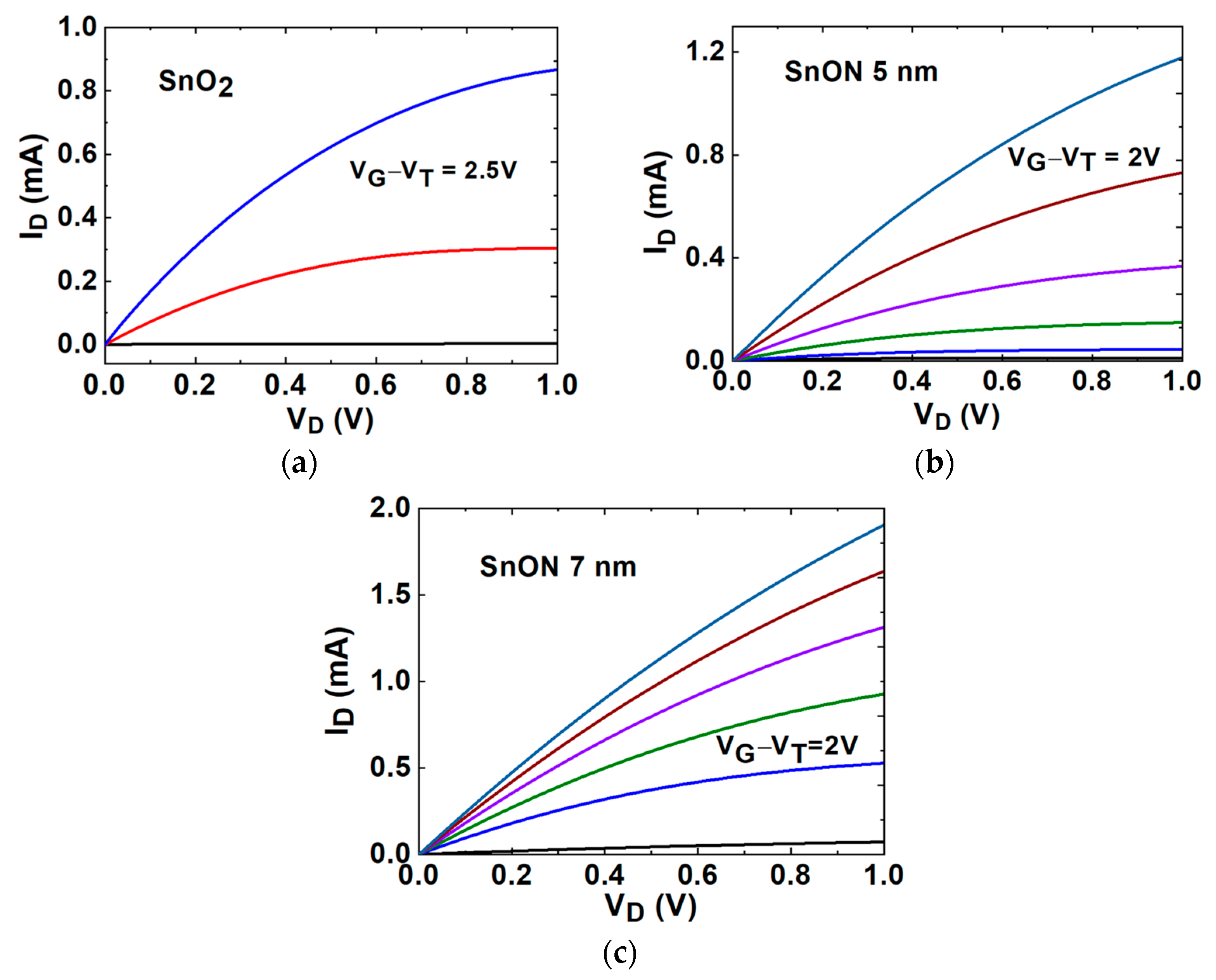
3. Results
4. Conclusions
Author Contributions
Funding
Data Availability Statement
Acknowledgments
Conflicts of Interest
References
- Bohr, M.T.; Chau, R.S.; Ghani, T.; Mistry, K. The high-k solution. IEEE Spectr. 2007, 44, 29–35. [Google Scholar] [CrossRef]
- Wong, H.S.P. Beyond the conventional transistor. Solid-State Electron. 2005, 49, 755–762. [Google Scholar] [CrossRef]
- Cheng, C.H.; Chin, A. Low-voltage steep turn-on p-MOSFET using ferroelectric high-κ gate dielectric. IEEE Electron Device Lett. 2014, 35, 274–276. [Google Scholar] [CrossRef]
- Chang, T.; Kao, H.L.; Chen, Y.J.; Liu, S.L.; McAlister, S.P.; Chin, A. A CMOS-compatible, high RF power, asymmetric-LDD MOSFET with excellent linearity. In Proceedings of the IEEE International Electron Devices Meeting (IEDM), San Francisco, CA, USA, 15–17 December 2008; pp. 457–460. [Google Scholar]
- Ravariu, C. Vacuum nano-triode in nothing-on-insulator configuration working in terahertz domain. IEEE J. Electron Devices Soc. 2018, 6, 1115–1123. [Google Scholar] [CrossRef]
- Ravariu, C.; Pârvulescu, C.; Manea, E.; Dinescu, A.; Gavrila, R.; Purica, M.; Arora, V. Manufacture of a nothing on insulator nano-structure with two Cr/Au nanowires separated by 18 nm air gap. Nanotechnology 2020, 31, 275203. [Google Scholar] [CrossRef]
- Loubet, N.; Hook, T.; Montanini, P.; Yeung, C.W.; Kanakasabapathy, S.; Guillom, M.; Yamashita, T.; Zhang, J.; Miao, X.; Wang, J.; et al. Stacked nanosheet gate-all-around transistor to enable scaling beyond FinFET. In Proceedings of the 2017 Symposium on VLSI Technology, Kyoto, Japan, 5–8 June 2017; pp. T230–T231. [Google Scholar]
- Kim, J.; Lee, J.S.; Han, J.W.; Meyyappan, M. Single-event transient in FinFETs and nanosheet FETs. IEEE Electron Device Lett. 2018, 39, 1840–1843. [Google Scholar] [CrossRef]
- Shih, C.W.; Chin, A.; Lu, C.F.; Yi, S.H. Extremely high mobility ultra-thin metal-oxide with ns2np2 configuration, In IEDM Technical Digest. In Proceedings of the IEEE International Electron Devices Meeting, Washington, DC, USA, 7–9 December 2015; pp. 145–148. [Google Scholar]
- Yu, D.S.; Chin, A.; Laio, C.C.; Lee, C.F.; Cheng, C.F.; Chen, W.J.; Zhu, C.; Li, M.-F.; McAlister, S.P.; Kwong, D.L. 3D GOI CMOSFETs with Novel IrO2(Hf) dual gates and high-k dielectric on 1P6M-0.18 /spl mu/m-CMOS. In IEDM Technical Digest. In Proceedings of the IEEE International Electron Devices Meeting, San Francisco, CA, USA, 13–15 December 2004; pp. 181–184. [Google Scholar]
- Chin, A.; Chen, Y.D. Technologies Toward Three-Dimensional Brain-Mimicking IC Architecture. In EDTM Technical Digest. In Proceedings of the IEEE Electron Devices Technology & Manufacturing Conference, Singapore, 12–15 March 2019; pp. 472–474. [Google Scholar]
- Yen, T.J.; Chin, A.; Gritsenko, V. High-performance top-gate thin-film transistor with an ultra-thin channel layer. Nanomaterials 2020, 10, 2145. [Google Scholar] [CrossRef]
- Shih, C.W.; Chin, A.; Lu, C.F.; Su, W.F. Low-temperature processed tin oxide transistor with ultraviolet irradiation. IEEE Electron Device Lett. 2019, 40, 909–912. [Google Scholar] [CrossRef]
- Pooja, P.; Che, C.C.; Zeng, S.H.; Lee, Y.C.; Yen, T.J.; Chin, A. Outstanding high field-effect mobility of 299 cm2V−1s−1 by nitrogen-doped SnO2 nanosheet thin-film transistor. Adv. Mater. Technol. 2023, 8, 2201521. [Google Scholar] [CrossRef]
- Bussolotti, F.; Yang, J.; Kawai, H.; Chee, J.Y.; Goh, K.E.J. Influence of many-body effects on hole quasiparticle dynamics in a WS2 monolayer. Phys. Rev. B 2021, 103, 045412. [Google Scholar] [CrossRef]
- Fischer, T.H.; Almlof, J. General methods for geometry and wave function optimization. The J. Phys. Chem. 1992, 96, 9768–9774. [Google Scholar] [CrossRef]
- Monkhorst, H.J.; Pack, J.D. Special points for Brillouin-zone integrations. Phys. Rev. B 1976, 13, 5188. [Google Scholar] [CrossRef]
- Yu, X.; Zhu, C.; Yu, M.; Li, M.F.; Chin, A.; Tung, C.H.; Gui, D.; Kwong, D.L. Advanced MOSFETs using HfTaON/SiO2/gate dielectric and TaN metal gate with excellent performances for low standby power application. In Proceedings of the IEEE International Electron Devices Meeting, Washington, DC, USA, 5 December 2005; pp. 27–30. [Google Scholar]
- Fischetti, M.V.; Neumayer, D.A.; Cartier, E.A. Effective electron mobility in Si inversion layers in metal–oxide–semiconductor systems with a high-κ insulator: The role of remote phonon scattering. J. Appl. Phys. 2001, 90, 4587–4608. [Google Scholar] [CrossRef]
- Shih, C.W.; Chin, A.; Lu, C.F.; Su, W.F. Remarkably high hole mobility metal-oxide thin-film transistors. Sci. Rep. 2016, 6, 19023. [Google Scholar] [CrossRef]
- Sun, S.C.; Plummer, J.D. Electron mobility in inversion and accumulation layers on thermally oxidized silicon surfaces. IEEE J. Solid-State Circuits 1980, 15, 562–573. [Google Scholar] [CrossRef]
- Liu, Y.; Duan, X.; Shin, H.J.; Park, S.; Huang, Y.; Duan, X. Promises and prospects of two-dimensional transistors. Nature 2021, 591, 43–53. [Google Scholar] [CrossRef]
- Siao, M.D.; Shen, W.C.; Chen, R.S.; Chang, Z.W.; Shih, M.C.; Chiu, Y.P.; Cheng, C.M. Two-dimensional electronic transport and surface electron accumulation in MoS2. Nat. Commun. 2018, 9, 1442. [Google Scholar] [CrossRef]
- Takagi, S.I.; Toriumi, A.; Iwase, M.; Tango, H. On the universality of inversion layer mobility in Si MOSFET’s: Part I-effects of substrate impurity concentration. IEEE Trans. Electron Dev. 1994, 41, 2357–2362. [Google Scholar] [CrossRef]
- Liao, C.C.; Chin, A.; Su, N.C.; Li, M.F.; Wang, S.J. Low Vt Gate-First Al/TaN/[Ir3Si-HfSi2−x]/HfLaON CMOS Using Simple Laser Annealing/Reflection. In Proceedings of the 2008 Symposium on VLSI Technology, Honolulu, HI, USA, 17–19 June 2008; pp. 190–191. [Google Scholar]
- Yu, D.S.; China, A.; Wu, C.H.; Li, M.F.; Zhu, C.; Wang, S.J.; Yoo, W.J.; Hung, B.F.; McAlister, S.P. Lanthanide and Ir-based dual metal-gate/HfAlON CMOS with large work-function difference. In Proceedings of the IEEE International Electron Devices Meeting (IEDM), Washington, DC, USA, 5 December 2005; pp. 649–652. [Google Scholar]
- Wu, C.H.; Hung, B.F.; Chin, A.; Wang, S.J.; Chen, W.J.; Wang, X.P.; Li, M.F.; Zhu, C.; Jin, Y.; Tao, H.J.; et al. High temperature stable [Ir3Si-TaN]/HfLaON CMOS with large work-function difference. In Proceedings of the IEEE International Electron Devices Meeting (IEDM), San Francisco, CA, USA, 11–13 December 2006; pp. 617–620. [Google Scholar]
- Cheng, C.F.; Wu, C.H.; Su, N.C.; Wang, S.J.; McAlister, S.P.; Chin, A. Very low Vt [Ir-Hf]/HfLaO CMOS using novel self-aligned low temperature shallow junctions. In Proceedings of the IEEE International Electron Devices Meeting (IEDM), Washington DC, USA, 10–12 December 2007; pp. 333–336. [Google Scholar]
- Park, J.; Jeong, H.J.; Lee, H.M.; Nahm, H.H.; Park, J.S. The resonant interaction between anions or vacancies in ZnON semiconductors and their effects on thin film device properties. Sci. Rep. 2017, 7, 2111. [Google Scholar] [CrossRef]
- Rim, K.; Chan, K.; Shi, L.; Boyd, D.; Ott, J.; Klymko, N.; Cardone, F.; Tai, L.; Koester, S.; Cobb, M.; et al. Fabrication and mobility characteristics of ultra-thin strained Si directly on insulator (SSDOI) MOSFETs. In Proceedings of the IEEE International Electron Devices Meeting, Washington, DC, USA, 8–10 December 2003; pp. 1–4. [Google Scholar]
- Baroni, S.; Resta, R. Ab initio calculation of the macroscopic dielectric constant in silicon. Phys. Rev. B 1986, 33, 7017. [Google Scholar] [CrossRef]
- Kunc, K.; Resta, R. External fields in the self-consistent theory of electronic states: A new method for direct evaluation of macroscopic and microscopic dielectric response. Phys. Rev. Lett. 1983, 51, 686. [Google Scholar] [CrossRef]
- Neidert, R.E.; Binari, S.C.; Weng, T. Dielectric constant of semi-insulating indium phosphide. Electronic. Lett. 1982, 18, 987–988. [Google Scholar] [CrossRef]
- Kane, M.J.; Uren, M.J.; Wallis, D.J.; Wright, P.J.; Soley, D.E.J.; Simons, A.J.; Martin, T. Determination of the dielectric constant of GaN in the kHz frequency range. Semicond. Sci. Technol. 2011, 26, 085006. [Google Scholar] [CrossRef]
- Moore, W.J.; Holm, R.T.; Yang, M.J.; Freitas Jr, J.A. Infrared dielectric constant of cubic SiC. J. Appl. Phys. 1995, 78, 7255–7258. [Google Scholar] [CrossRef]
- Youssef, A.M.; Yakout, S.M. Colossal dielectric constant, electric modulus and electrical conductivity of nanocrystalline SnO2: Role of Zr/Mn, Fe or Co dopants. J. Solid State Chem. 2022, 308, 122902. [Google Scholar] [CrossRef]
- Maxwell’s Equations. Available online: https://en.wikipedia.org/wiki/Maxwell%27s_equations (accessed on 8 June 2023).
- Liu, Y.; Duan, X.; Huang, Y.; Duan, X. Two-dimensional transistors beyond graphene and TMDCs. Chem. Soc. Rev. 2018, 47, 6388–6409. [Google Scholar] [CrossRef]
- Yi, S.H.; Ruan, D.B.; Di, S.; Liu, X.; Wu, Y.H.; Chin, A. High performance metal-gate/high-k GaN MOSFET With good reliability for both logic and power applications. IEEE J. Electron Devices Soc. 2016, 4, 246–252. [Google Scholar] [CrossRef]
- del Alamo, J.; Vardi, A.; Zhao, X. InGaAs FinFETs for future CMOS. Invited Paper, Compound Semiconductor Magazine, 11 October 2016; 1–6. [Google Scholar]
- del Alamo, J.A. CMOS extension via III-V compound semiconductors. Short Course on Emerging Nanotechnology and Nanoelectronics. In Proceedings of the IEEE International Electron Devices Meeting, Washington, DC, USA, 10–12 December 2007; pp. 10–12. [Google Scholar]
- del Alamo, J.A.; Kim, D.H. InGaAs CMOS: A “Beyond-the-Roadmap” Logic Technology? Invited paper presented. In Proceedings of the 2007 Device Research Conference, South Bend, IN, USA, 18–20 June 2007; University of Notre Dame: South Bend, IN, USA, 2007; pp. 201–202. [Google Scholar]
- Poljak, M.; Jovanovic, V.; Grgec, D.; Suligoj, T. Assessment of electron mobility in ultrathin-body InGaAs-on-insulator MOSFETs using physics-based modeling. IEEE Trans. Electron Devices 2012, 59, 1636–1643. [Google Scholar] [CrossRef]
- Gonzalez-Medina, J.M.; Ruiz, F.G.; Marin, E.G.; Godoy, A.; Gámiz, F. Simulation study of the electron mobility in few-layer MoS2 metal–insulator-semiconductor field-effect transistors. Solid-State Electron. 2015, 114, 30–34. [Google Scholar] [CrossRef]
- Esseni, D.; Palestri, P.; Selmi, L. Nanoscale MOS Transistors: Semi-Classical Transport and Applications; Cambridge University Press: Cambridge, UK, 2011. [Google Scholar]
- Shih, C.W.; Chin, A. New material transistor with record-high field-effect mobility among wide-band-gap semiconductors. ACS Appl. Mater. Interfaces 2016, 8, 19187–19191. [Google Scholar] [CrossRef]
- Shan, W.; Walukiewicz, W.; Ager, J.W.; Yu, K.M.; Yuan, H.B.; Xin, H.P.; Cantwell, G.; Song, J.J. Nature of room-temperature photoluminescence in ZnO. Appl. Phys. Lett. 2005, 86, 191911. [Google Scholar] [CrossRef]
- Jarzebski, Z.M.; Morton, J.P. Physical properties of SnO2 materials: III. Optical properties. J. Electrochem. Soc. 1976, 123, 333C. [Google Scholar] [CrossRef]
- Ogino, T.; Aoki, M. Photoluminescenece in P-doped GaN. Jpn. J. App. Phys. 1979, 18, 1049. [Google Scholar] [CrossRef]
- Minamitani, E.; Arafune, R.; Frederiksen, T.; Suzuki, T.; Shahed, S.M.F.; Kobayashi, T.; Endo, N.; Fukidome, H.; Watanabe, S.; Komeda, T. Atomic-scale characterization of the interfacial phonon in graphene/SiC. Phys. Rev. B 2017, 96, 155431. [Google Scholar] [CrossRef]
- Das, S.; Sebastian, A.; Pop, E.; McClellan, C.J.; Franklin, A.D.; Grasser, T.; Knobloch, T.; Illarionov, Y.; Penumatcha, A.V.; Appenzeller, J.; et al. Transistors based on two-dimensional materials for future integrated circuits. Nat. Electron. 2021, 4, 786–799. [Google Scholar] [CrossRef]
- Ma, N.; Jena, D. Charge scattering and mobility in atomically thin semiconductors. Phys. Rev. 2014, 4, 011043. [Google Scholar] [CrossRef]
- Qiu, H.; Xu, T.; Wang, Z.; Ren, W.; Nan, H.; Ni, Z.; Chen, Q.; Yuan, S.; Miao, F.; Song, F.; et al. Hopping transport through defect-induced localized states in molybdenum disulphide. Nat. Commun. 2013, 4, 2642. [Google Scholar] [CrossRef]
- Wei, S.C.; Chin, A.; Fu, L.C.; Fang, S.W. Remarkably high mobility ultra-thin-film metal-oxide transistor with strongly overlapped orbitals. Sci. Rep. 2016, 6, 19023. [Google Scholar]
- Low, T.; Li, M.F.; Fan, W.J.; Ng, S.T.; Yeo, Y.C.; Zhu, C.; Chin, A.; Chan, L.; Kwong, D.L. Impact of surface roughness on silicon and germanium ultra-thin-body MOSFETs, In IEDM Technical Digest. In Proceedings of the IEEE International Electron Devices Meeting, San Francisco, CA, USA, 13–15 December 2004; pp. 151–154. [Google Scholar]
- Qian, Q.; Lei, J.; Wei, J.; Zhang, Z.; Tang, G.; Zhong, K.; Zheng, Z.; Chen, K.J. 2D materials as semiconducting gate for field-effect transistors with inherent over-voltage protection and boosted ON-current. Npj 2d Mater. Appl. 2019, 3, 24. [Google Scholar] [CrossRef]









| Semiconductor Material | EG (eV) | meff (mo) | Dielectric Const. κ | µeff (cm2/V-s) @5 nm |
|---|---|---|---|---|
| SnON (this work) | ~3.3 | ~0.29 | 123 | 325 |
| Si [38] | 1.12 | 1.08 | 11.7 | 120 |
| MoS2 [38] | 1.8 | ~0.5 | 4~8 (2~5 layers) | 184 |
| WS2 [38] | 1.4 | 0.33 | - | 234 |
| InGaAs [38] | 0.75 | 0.042 | 12.9 | 200 |
Disclaimer/Publisher’s Note: The statements, opinions and data contained in all publications are solely those of the individual author(s) and contributor(s) and not of MDPI and/or the editor(s). MDPI and/or the editor(s) disclaim responsibility for any injury to people or property resulting from any ideas, methods, instructions or products referred to in the content. |
© 2023 by the authors. Licensee MDPI, Basel, Switzerland. This article is an open access article distributed under the terms and conditions of the Creative Commons Attribution (CC BY) license (https://creativecommons.org/licenses/by/4.0/).
Share and Cite
Pooja, P.; Chien, C.C.; Chin, A. Superior High Transistor’s Effective Mobility of 325 cm2/V-s by 5 nm Quasi-Two-Dimensional SnON nFET. Nanomaterials 2023, 13, 1892. https://doi.org/10.3390/nano13121892
Pooja P, Chien CC, Chin A. Superior High Transistor’s Effective Mobility of 325 cm2/V-s by 5 nm Quasi-Two-Dimensional SnON nFET. Nanomaterials. 2023; 13(12):1892. https://doi.org/10.3390/nano13121892
Chicago/Turabian StylePooja, Pheiroijam, Chun Che Chien, and Albert Chin. 2023. "Superior High Transistor’s Effective Mobility of 325 cm2/V-s by 5 nm Quasi-Two-Dimensional SnON nFET" Nanomaterials 13, no. 12: 1892. https://doi.org/10.3390/nano13121892
APA StylePooja, P., Chien, C. C., & Chin, A. (2023). Superior High Transistor’s Effective Mobility of 325 cm2/V-s by 5 nm Quasi-Two-Dimensional SnON nFET. Nanomaterials, 13(12), 1892. https://doi.org/10.3390/nano13121892

