Experimental, Theoretical and Numerical Studies on Thermal Properties of Lightweight 3D Printed Graphene-Based Discs with Designed Ad Hoc Air Cavities
Abstract
1. Introduction
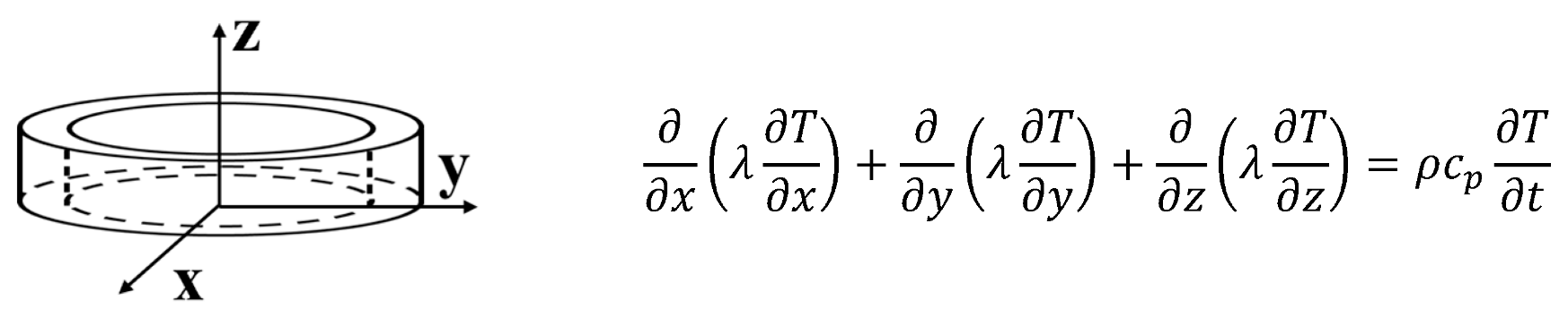
2. Materials and Methods
- is the density of the material [kg/m3];
- cp is the specific heat of material [J/kg∙K];
- λ is the thermal conductivity of the involved material, [Wm∙K];
- , are the conductive heat flux components along the x, y and z directions, expressed by Fourier’s law as specified in Supplementary Materials (Equation (S5));
- is the change in temperature over time.
3. Results
3.1. Morphological Analysis
3.2. Thermal Conductivity of Air Cavity with Different Shapes: Experimental, Theoretical and Simulation Results
3.3. Thermal Conductivity of Nanocomposites with Multiple Air Cavities: Experimental, Theoretical and Simulation Results
3.4. Thermal Conductivity of Nanocomposites as Function of Air Cavities Radiuses: Experimental, Theoretical and Simulation Results
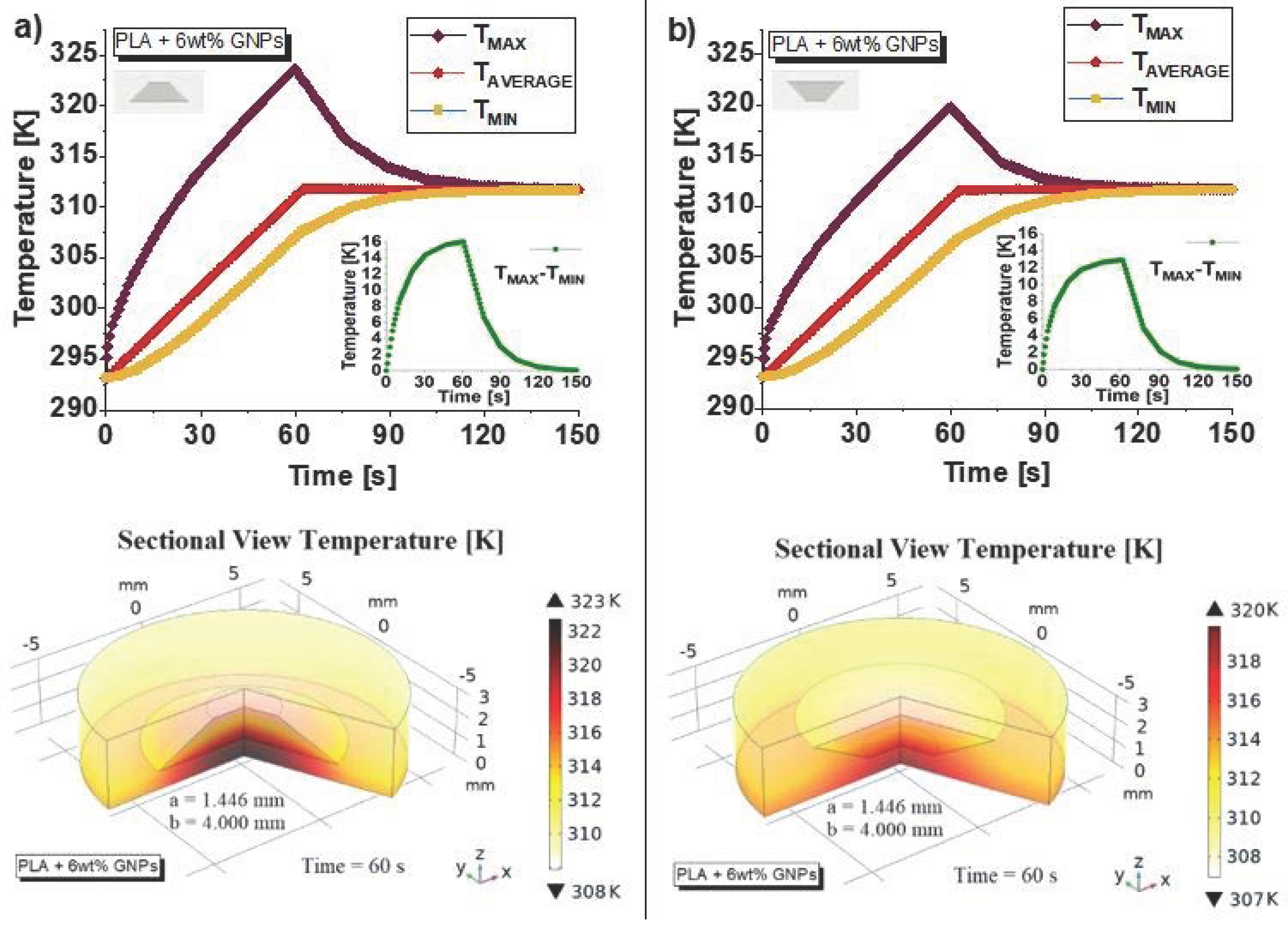
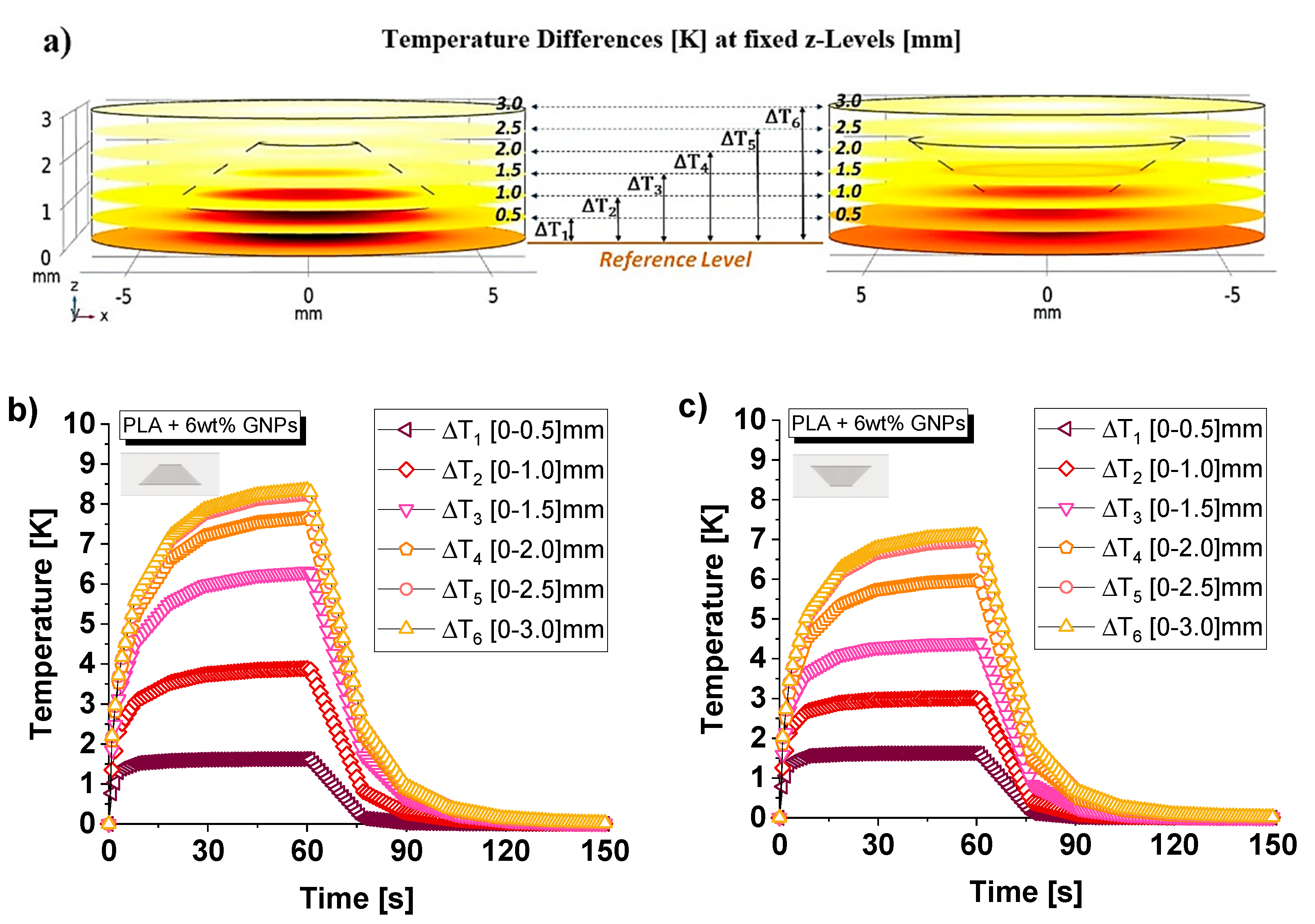
3.5. Thermal Conductivity of Nanocomposites as Function of Air Cavities Orientation: Experimental, Theoretical and Simulation Results
4. Discussion
5. Conclusions
Supplementary Materials
Author Contributions
Funding
Institutional Review Board Statement
Informed Consent Statement
Data Availability Statement
Conflicts of Interest
References
- Reyno, T.; Marsden, C.; Wowk, D. Surface damage evaluation of honeycomb sandwich aircraft panels using 3D scanning technology. NDT E Int. 2018, 97, 11–19. [Google Scholar] [CrossRef]
- Sadiq, S.E.; Bakhy, S.H.; Jweeg, M.J. Crashworthiness behavior of aircraft sandwich structure with honeycomb core under bending load. In IOP Conference Series: Materials Science and Engineering; IOP Publishing: Bristol, UK, 2020; Volume 881, No. 1; p. 012046. [Google Scholar]
- Feng, C.P.; Chen, L.B.; Tian, G.L.; Wan, S.S.; Bai, L.; Bao, R.Y.; Yang, W. Multifunctional thermal management materials with excellent heat dissipation and generation capability for future electronics. ACS Appl. Mater. Interfaces 2019, 11, 18739–18745. [Google Scholar] [CrossRef] [PubMed]
- Bicerano, J. Prediction of Polymer Properties, 3rd ed.; CRC Press: Boca Raton, FL, USA, 2002. [Google Scholar]
- Mark, J.; Ngai, K.; Graessley, W.; Mandelkern, L.; Samulski, E.; Wignall, G.; Koenig, J. Physical Properties of Polymers, 3rd ed.; Cambridge University Press: New York, NY, USA, 2004. [Google Scholar]
- Yang, J.S.; Sprengard, J.; Ju, L.C.; Hao, A.; Saei, M.; Liang, R.; Cheng, G.J.; Xu, C.Y. Three-Dimensional-linked Carbon Fiber-carbon Nanotube Hybrid Structure for Enhancing Thermal Conductivity of Silicon Carbonitride Matrix Composites. Carbon 2016, 108, 38–46. [Google Scholar] [CrossRef]
- Li, X.H.; Shao, L.B.; Song, N.; Shi, L.Y.; Ding, P. Enhanced Thermal-conductive and Anti-dripping Properties of Polyamide Composites by 3D Graphene Structures at Low Filler Content. Compos. Part Appl. Sci. Manuf. 2016, 88, 305–314. [Google Scholar] [CrossRef]
- Loeblein, M.; Bolker, A.; Tsang, S.H.; Atar, N.; Uzan-Saguy, C.; Verker, R.; Gouzman, I.; Grossman, E.; Teo, E.H.T. 3D Graphene-Infused Polyimide with Enhanced Electrothermal Performance for Long-Term Flexible Space Applications. Small 2015, 11, 6425–6434. [Google Scholar] [CrossRef] [PubMed]
- Yang, Y. Physical Properties of Polymer Handbook; Springer Science & Business Media: New York, NY, USA, 2007; pp. 155–164. [Google Scholar]
- Kumar, S.; Locke, J.; McNally, T. Thermal conductivity of composites of polymers and 0D/1D/2D materials. In Encyclopedia of Nanomaterials, 1st ed.; Yin, Y., Lu, Y., Xia, Y., Eds.; Elsevier: Amsterdam, The Netherlands, 2023; pp. 730–753. [Google Scholar]
- Akishin, G.P.; Turnaev, S.K.; Vaispapir, V.Y.; Gorbunova, M.A.; Makurin, Y.N.; Kiiko, V.S.; Ivanovskii, A.L. Thermal Conductivity of Beryllium Oxide Ceramic. Refract. Ind. Ceram. 2009, 50, 465–468. [Google Scholar] [CrossRef]
- Hwang, Y.; Kim, M.; Kim, J. Fabrication of Surface-treated SiC/Epoxy Composites Through a Wetting Method for Enhanced Thermal and Mechanical Properties. Chem. Eng. J. 2014, 246, 229–237. [Google Scholar] [CrossRef]
- Zhu, Y.; Bai, H.; Xue, C.; Zhou, R.; Xu, Q.; Tao, P.; Wang, C.; Wang, J.; Jiang, N. Thermal Conductivity and Mechanical Properties of a Flake Graphite/Cu Composite with a Silicon Nano-layer on a Graphite Surface. RSC Adv. 2016, 6, 98190–98196. [Google Scholar] [CrossRef]
- Kim, K.; Ju, H.; Kim, J. Surface Modification of BN/Fe3O4 Hybrid Particle to Enhance Interfacial Affinity for High Thermal Conductive Material. Polymer 2016, 91, 74–80. [Google Scholar] [CrossRef]
- Hong, J.H.; Park, D.W.; Shim, S.E. A review on thermal conductivity of polymer composites using carbon-based fillers: Carbon nanotubes and carbon fibers. Carbon Lett. 2010, 11, 347–356. [Google Scholar] [CrossRef]
- Guo, X.; Cheng, S.; Cai, W.; Zhang, Y.; Zhang, X.A. A review of carbon-based thermal interface materials: Mechanism, thermal measurements and thermal properties. Mater. Des. 2021, 209, 109936. [Google Scholar] [CrossRef]
- Chen, J.; Liu, B.; Gao, X. Thermal properties of graphene-based polymer composite materials: A molecular dynamics study. Results Phys. 2020, 16, 102974. [Google Scholar] [CrossRef]
- Liu, C.; Chen, M.; Yu, W.; He, Y. Recent advance on graphene in heat transfer enhancement of composites. ES Energy Environ. 2018, 2, 31–42. [Google Scholar] [CrossRef]
- Wei, W.; Qu, X. Extraordinary physical properties of functionalized graphene. Small 2012, 8, 2138–2151. [Google Scholar] [CrossRef] [PubMed]
- Yadav, S.K.; Cho, J.W. Functionalized graphene nanoplatelets for enhanced mechanical and thermal properties of polyurethane nanocomposites. Appl. Surf. Sci. 2013, 266, 360–367. [Google Scholar] [CrossRef]
- Shukla, M.K.; Sharma, K. Improvement in mechanical and thermal properties of epoxy hybrid composites by functionalized graphene and carbon-nanotubes. Mater. Res. Express 2019, 6, 125323. [Google Scholar] [CrossRef]
- Kuila, T.; Khanra, P.; Mishra, A.K.; Kim, N.H.; Lee, J.H. Functionalized-graphene/ethylene vinyl acetate co-polymer composites for improved mechanical and thermal properties. Polym. Test. 2012, 31, 282–289. [Google Scholar] [CrossRef]
- Gibson, I.; Rosen, D.; Stucker, B.; Khorasani, M.; Rosen, D.; Stucker, B.; Khorasani, M. Additive Manufacturing Technologies; Springer: Cham, Switzerland, 2021. [Google Scholar]
- Gardan, J. Additive manufacturing technologies: State of the art and trends. Int. J. Prod. Res. 2016, 54, 3118–3132. [Google Scholar] [CrossRef]
- Horn, T.J.; Harrysson, O.L. Overview of current additive manufacturing technologies and selected applications. Sci. Prog. 2012, 95, 255–282. [Google Scholar] [CrossRef]
- Pezzana, L.; Riccucci, G.; Spriano, S.; Battegazzore, D.; Sangermano, M.; Chiappone, A. 3D Printing of PDMS-Like Polymer Nanocomposites with Enhanced Thermal Conductivity: Boron Nitride Based Photocuring System. Nanomaterials 2021, 11, 373. [Google Scholar] [CrossRef]
- Ji, J.; Chiang, S.W.; Liu, M.; Liang, X.; Li, J.; Gan, L.; Du, H. Enhanced thermal conductivity of alumina and carbon fibre filled composites by 3-D printing. Thermochim. Acta 2020, 690, 178649. [Google Scholar] [CrossRef]
- Laureto, J.; Tomasi, J.; King, J.A.; Pearce, J.M. Thermal properties of 3-D printed polylactic acid-metal composites. Prog. Addit. Manuf. 2017, 2, 57–71. [Google Scholar] [CrossRef]
- Timbs, K.; Khatamifar, M.; Lin, W.; Antunes, E. Experimental study on the thermal performance of straight and oblique finned, polymer heat sinks. In Proceedings of the 22nd Australasian Fluid Mechanics Conference, AFMC2020, Brisbane, Australia, 7–10 December 2020. [Google Scholar]
- Timbs, K.; Khatamifar, M.; Antunes, E.; Lin, W. Experimental study on the heat dissipation performance of straight and oblique fin heat sinks made of thermal conductive composite polymers. Therm. Sci. Eng. Prog. 2021, 22, 100848. [Google Scholar] [CrossRef]
- Gerges, T.; Marie, A.; Wickramasinghe, T.; Lombard, P.; Levêque, M.; Lips, S.; Cabrera, M. Investigation of 3D printed polymerbased heat dissipator for GaN transistors. In Proceedings of the 23rd European Conference on Power Electronics and Applications (EPE’21 ECCE Europe), Online, 6–10 September 2021; p. 1. [Google Scholar]
- Spinelli, G.; Guarini, R.; Kotsilkova, R.; Ivanov, E.; Romano, V. Experimental, Theoretical and Simulation Studies on the Thermal Behavior of PLA-Based Nanocomposites Reinforced with Different Carbonaceous Fillers. Nanomaterials 2021, 11, 1511. [Google Scholar] [CrossRef]
- Spinelli, G.; Guarini, R.; Kotsilkova, R.; Batakliev, T.; Ivanov, E.; Romano, V. Experimental and Simulation Studies of Temperature Effect on Thermophysical Properties of Graphene-Based Polylactic Acid. Materials 2022, 15, 986. [Google Scholar] [CrossRef]
- Batakliev, T.; Georgiev, V.; Kalupgian, C.; Muñoz, P.A.; Ribeiro, H.; Fechine, G.J.; Andrade, R.J.E.; Ivanov, E.; Kotsilkova, R. Physico-chemical Characterization of PLA-based Composites Holding Carbon Nanofillers. Appl. Compos. Mater. 2021, 28, 1175–1192. [Google Scholar] [CrossRef]
- Kotsilkova, R.; Petrova-Doycheva, I.; Menseidov, D.; Ivanov, E.; Paddubskaya, A.; Kuzhir, P. Exploring thermal annealing and graphene-carbon nanotube additives to enhance crystallinity, thermal, electrical and tensile properties of aged poly(lactic) acid-based filament for 3D printing. Compos. Sci. Technol. 2019, 181, 107712. [Google Scholar] [CrossRef]
- Batakliev, T.; Georgiev, V.; Ivanov, E.; Kotsilkova, R.; Di Maio, R.; Silvestre, C.; Cimmino, S. Nanoindentation analysis of 3D printed poly (lactic acid)-based composites reinforced with graphene and multiwall carbon nanotubes. J. Appl. Polym. Sci. 2019, 136, 47260. [Google Scholar] [CrossRef]
- Guadagno, L.; Raimondo, M.; Vertuccio, L.; Mauro, M.; Guerra, G.; Lafdi, K.; De Vivo, B.; Lamberti, P.; Spinelli, G.; Tucci, V. Optimization of graphene-based materials outperforming host matrices. RSC Adv. 2015, 5, 36969–36978. [Google Scholar] [CrossRef]
- Spinelli, G.; Lamberti, P.; Tucci, V.; Kotsilkova, R.; Ivanov, E.; Menseidov, D.; Naddeo, C.; Romano, V.; Guadagno, L.; Adami, R.; et al. Nanocarbon/Poly(Lactic) Acid for 3D Printing: Effect of Fillers Content on Electromagnetic and Thermal Properties. Materials 2019, 12, 2369. [Google Scholar] [CrossRef]
- Parker, W.J.; Jenkins, R.J.; Butler, C.P.; Abbott, G.L. Method of Determining Thermal Diffusivity, Heat Capacity and Thermal Conductivity. J. Appl. Phys. 1961, 32, 1679. [Google Scholar] [CrossRef]
- Bird, R.; Stewart, W.; Lightfoot, E. Transport Phenomena, 2nd ed.; John Wiley and Sons: New York, NY, USA, 2002. [Google Scholar]
- Olichwer, N.; Koschine, T.; Meyer, A.; Egger, W.; Rätzke, K.; Vossmeyer, T. Gold nanoparticle superlattices: Structure and cavities studied by GISAXS and PALS. RSC Adv. 2016, 6, 113163–113172. [Google Scholar] [CrossRef]
- Ma, J.; Sadhu, J.S.; Ganta, D.; Tian, H.; Sinha, S. Thermal transport in 2-and 3-dimensional periodic “holey” nanostructures. AIP Adv. 2014, 4, 124502. [Google Scholar] [CrossRef]
- Lambin, P.; Liubimau, A.; Bychanok, D.; Vitale, L.; Kuzhir, P. Thermal and Electromagnetic Properties of Polymer Holey Structures Produced by Additive Manufacturing. Polymers 2020, 12, 2892. [Google Scholar] [CrossRef] [PubMed]
- Al Rashid, A.; Khan, S.A.; Al-Ghamdi, S.G.; Koc, M. Additive manufacturing of polymer nanocomposites: Needs and challenges in materials, processes, and applications. J. Mater. Res. Technol. 2021, 14, 910–941. [Google Scholar] [CrossRef]
- Kim, H.S.; Bae, H.S.; Yu, J.; Kim, S.Y. Thermal conductivity of polymer composites with the geometrical characteristics of graphene nanoplatelets. Sci. Rep. 2016, 6, 26825. [Google Scholar] [CrossRef]
- Wang, F.; Drzal, L.T.; Qin, Y.; Huang, Z. Mechanical properties and thermal conductivity of graphene nanoplatelet/epoxy composites. J. Mater. Sci. 2015, 50, 1082–1093. [Google Scholar] [CrossRef]
- Kostagiannakopoulou, C.; Fiamegkou, E.; Sotiriadis, G.; Kostopoulos, V. Thermal conductivity of carbon nanoreinforced epoxy composites. J. Nanomater. 2016, 2016, 1847325. [Google Scholar] [CrossRef]
- Krishnamoorti, R.; Vaia, R.A. Polymer Nanocomposites: Synthesis, Characterization, and Modelling; American Chemical Society: Washington, DC, USA, 2002. [Google Scholar]
- Kochetov, R.; Korobko, A.V.; Andritsch, T.; Morshuis, P.H.F.; Picken, S.J.; Smit, J.J. Three-phase Lewis-Nielsen model for the thermal conductivity of polymer nanocomposites. In Proceedings of the 2011 IEEE Annual Report Conference on Electrical Insulation and Dielectric Phenomena, Cancun, Mexico, 16–19 October 2011; pp. 338–341. [Google Scholar]
- Vega-Flick, A.; Duncan, R.A.; Eliason, J.K.; Cuffe, J.; Johnson, J.A.; Peraud, J.P.; Nelson, K.A. Thermal transport in suspended silicon membranes measured by laser-induced transient gratings. AIP Adv. 2016, 6, 121903. [Google Scholar] [CrossRef]
- Swift, G.; Molinski, T.S.; Lehn, W. A fundamental approach to transformer thermal modeling. I. Theory and equivalent circuit. IEEE Trans. Power Deliv. 2001, 16, 171–175. [Google Scholar] [CrossRef]
- Bicerano, J. (Ed.) Computational Modeling of Polymers, 1st ed.; CRC Press: Boca Raton, FL, USA, 1992. [Google Scholar]
- Regli, W.; Rossignac, J.; Shapiro, V.; Srinivasan, V. The new frontiers in computational modeling of material structures. Comput. Aided Des. 2016, 77, 73–85. [Google Scholar] [CrossRef]

























| Sample | Air Cavity Geometry | Data Air Cavity | Mathematical Formalism |
|---|---|---|---|
![]() | Full sample | // | // |
![]() | Square cavity![]() | Fixed Side, L: 5 [mm]; Fixed Height, H: 1.4 [mm]; Calculated Area, A: A: 25 [mm2] Calculated Volume, V: V = 35 [mm3] | |
![]() | Equilateral Triangular cavity![]() | Fixed Area, A-Area: 25 [mm2] Fixed Height, H: 1.4 [mm]; Fixed Volume V: 35 [mm3] Calculated Side, LC: Lc = 7.598 [mm]; | |
![]() | Circular cavity![]() | Fixed Area, A-Area:25 [mm2] Fixed Height, H: 1.4 [mm]; Fixed Volume V: 35 [mm3] Calculated Diameter, LC: Lc = 5.642 [mm]; |
| Sample | Air Cavity Geometry | Data Air Cavity | Mathematical Formalism |
|---|---|---|---|
![]() | Full sample // | // | // |
![]() | 1 Circular cavity![]() | Fixed diameter, LC: 3.385 [mm] Fixed Height, H: 1.4 [mm]; Calculated Area, A: A: 9.005 [mm2] Calculated Volume, V: V = 12.606 [mm3] | |
![]() | 2 Circular cavities![]() | Fixed diameter, LC: 3.385 [mm] Fixed Height, H: 1.4 [mm]; Calculated Area, A: A = 18.009 [mm2] Calculated Volume, V: V = 25.213 [mm3] | |
![]() | 3 Circular cavities![]() | Fixed diameter, LC: 3.385 [mm] Fixed Height, H: 1.4 [mm]; Calculated Area, A: A = 27.014 [mm2] Calculated Volume, V: V = 37. 819 [mm3] |
| Sample | Air Cavity Geometry | Data Air Cavity | Mathematical Formalism |
|---|---|---|---|
![]() | 1 Cylindrical cavity![]() | Fixed Volume: 35 [mm3] Fixed High, H: 1.4 [mm]; Calculated A, Area: 25 [mm2] Calculated radius, a: A = 2.821 [mm]; | |
![]() | 1 truncated cone cavity![]() | Fixed Volume, V: 35 [mm3] Fixed High, H: 1.4 [mm]; Fixed larger radius, b: 3.500 [mm] Calculated minor radius, a: 2.082 [mm]; | |
![]() | 1 truncated cone cavity![]() | Fixed Volume, V: 35 [mm3] Fixed High, H: 1.4 [mm]; Fixed larger radius, b: 4.000 [mm] Calculated minor radius, a: 1.446 [mm]; |
| Initial (I.C.) and Boundary (B.C.) Conditions | Equations | Validity | |
|---|---|---|---|
| I. C. | t = 0 | T = Room Temperature (T0) | |
| B. C. | () | ||
| B. C. | () | ||
| B. C. | () | ||
Disclaimer/Publisher’s Note: The statements, opinions and data contained in all publications are solely those of the individual author(s) and contributor(s) and not of MDPI and/or the editor(s). MDPI and/or the editor(s) disclaim responsibility for any injury to people or property resulting from any ideas, methods, instructions or products referred to in the content. |
© 2023 by the authors. Licensee MDPI, Basel, Switzerland. This article is an open access article distributed under the terms and conditions of the Creative Commons Attribution (CC BY) license (https://creativecommons.org/licenses/by/4.0/).
Share and Cite
Spinelli, G.; Guarini, R.; Kotsilkova, R.; Ivanov, E.; Romano, V. Experimental, Theoretical and Numerical Studies on Thermal Properties of Lightweight 3D Printed Graphene-Based Discs with Designed Ad Hoc Air Cavities. Nanomaterials 2023, 13, 1863. https://doi.org/10.3390/nano13121863
Spinelli G, Guarini R, Kotsilkova R, Ivanov E, Romano V. Experimental, Theoretical and Numerical Studies on Thermal Properties of Lightweight 3D Printed Graphene-Based Discs with Designed Ad Hoc Air Cavities. Nanomaterials. 2023; 13(12):1863. https://doi.org/10.3390/nano13121863
Chicago/Turabian StyleSpinelli, Giovanni, Rosella Guarini, Rumiana Kotsilkova, Evgeni Ivanov, and Vittorio Romano. 2023. "Experimental, Theoretical and Numerical Studies on Thermal Properties of Lightweight 3D Printed Graphene-Based Discs with Designed Ad Hoc Air Cavities" Nanomaterials 13, no. 12: 1863. https://doi.org/10.3390/nano13121863
APA StyleSpinelli, G., Guarini, R., Kotsilkova, R., Ivanov, E., & Romano, V. (2023). Experimental, Theoretical and Numerical Studies on Thermal Properties of Lightweight 3D Printed Graphene-Based Discs with Designed Ad Hoc Air Cavities. Nanomaterials, 13(12), 1863. https://doi.org/10.3390/nano13121863





















