Optothermal Raman Spectroscopy of Black Phosphorus on a Gold Substrate
Abstract
:1. Introduction
2. Materials and Methods
2.1. Materials
2.2. Raman Spectroscopy
2.3. Simulation
3. Results and Discussion
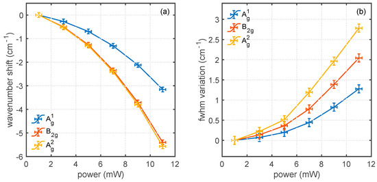
3.1. Experimental Results of the Power Dependence of the Raman Spectra
3.2. Distribution of the Heat in the Sample and Simulation of the Raman Spectra
4. Conclusions
Author Contributions
Funding
Institutional Review Board Statement
Informed Consent Statement
Data Availability Statement
Acknowledgments
Conflicts of Interest
References
- Ling, X.; Wang, H.; Huang, S.; Xia, F.; Dresselhaus, M.S. The renaissance of black phosphorus. Proc. Natl. Acad. Sci. USA 2015, 112, 4523–4530. [Google Scholar] [CrossRef] [PubMed] [Green Version]
- Grazianetti, C.; Martella, C.; Molle, A. The Xenes generations: A taxonomy of epitaxial single-element 2D materials. Phys. Status Solidi (RRL)—Rapid Res. Lett. 2020, 14, 1900439. [Google Scholar] [CrossRef] [Green Version]
- Liu, H.; Neal, A.T.; Zhu, Z.; Luo, Z.; Xu, X.; Tománek, D.; Ye, P.D. Phosphorene: An unexplored 2D semiconductor with a high hole mobility. ACS Nano 2014, 8, 4033–4041. [Google Scholar] [CrossRef] [PubMed] [Green Version]
- Carvalho, A.; Wang, M.; Zhu, X.; Rodin, A.S.; Su, H.; Neto, A.H.C. Phosphorene: From theory to applications. Nat. Rev. Mater. 2016, 1, 16061. [Google Scholar] [CrossRef]
- Molle, A.; Faraone, G.; Lamperti, A.; Chiappe, D.; Cinquanta, E.; Martella, C.; Bonera, E.; Scalise, E.; Grazianetti, C. Stability and universal encapsulation of epitaxial Xenes. Faraday Discuss. 2021, 227, 171–183. [Google Scholar] [CrossRef] [PubMed]
- Rudenko, A.N.; Katsnelson, M.I. Quasiparticle band structure and tight-binding model for single- and bilayer black phosphorus. Phys. Rev. B 2014, 89, 201408. [Google Scholar] [CrossRef] [Green Version]
- Le, P.T.T.; Mirabbaszadeh, K.; Yarmohammadi, M. Blue shift in the interband optical transitions of gated monolayer black phosphorus. J. Appl. Phys. 2019, 125, 193101. [Google Scholar] [CrossRef]
- Li, L.L.; Moldovan, D.; Xu, W.; Peeters, F.M. Electronic properties of bilayer phosphorene quantum dots in the presence of perpendicular electric and magnetic fields. Phys. Rev. B 2017, 96, 155425. [Google Scholar] [CrossRef] [Green Version]
- Li, Q.; Wu, J.-T.; Liu, Y.; Qi, X.-M.; Jin, H.-G.; Yang, C.; Liu, J.; Li, G.-L.; He, Q.-G. Recent advances in black phosphorus-based electrochemical sensors: A review. Anal. Chim. Acta 2021, 1170, 338480. [Google Scholar] [CrossRef]
- Qiao, J.; Kong, X.; Hu, Z.-X.; Yang, F.; Ji, W. High-mobility transport anisotropy and linear dichroism in few-layer black phosphorus. Nat. Commun. 2014, 5, 4475. [Google Scholar] [CrossRef] [Green Version]
- Buscema, M.; Groenendijk, D.J.; Blanter, S.I.; Steele, G.A.; van der Zant, H.S.J.; Castellanos-Gomez, A. Fast and broadband photoresponse of few-layer black phosphorus field-effect transistors. Nano Lett. 2014, 14, 3347–3352. [Google Scholar] [CrossRef] [Green Version]
- Low, T.; Engel, M.; Steiner, M.; Avouris, P. Origin of photoresponse in black phosphorus phototransistors. Phys. Rev. B 2014, 90, 081408. [Google Scholar] [CrossRef] [Green Version]
- Li, L.; Yu, Y.; Ye, G.J.; Ge, Q.; Ou, X.; Wu, H.; Feng, D.; Chen, X.H.; Zhang, Y. Black phosphorus field-effect transistors. Nat. Nanotechnol. 2014, 9, 372–377. [Google Scholar] [CrossRef] [PubMed] [Green Version]
- Zhu, W.; Yogeesh, M.N.; Yang, S.; Aldave, S.H.; Kim, J.-S.; Sonde, S.; Tao, L.; Lu, N.; Akinwande, D. Flexible black phosphorus ambipolar transistors, circuits and AM demodulator. Nano Lett. 2015, 15, 1883–1890. [Google Scholar] [CrossRef]
- Kanahashi, K.; Pu, J.; Takenobu, T. 2D Materials for large-area flexible thermoelectric devices. Adv. Energy Mater. 2020, 10, 1902842. [Google Scholar] [CrossRef]
- Le, P.; Yarmohammadi, M. Tuning thermoelectric transport in phosphorene through a perpendicular magnetic field. Chem. Phys. 2019, 519, 1–5. [Google Scholar] [CrossRef]
- Luo, Z.; Maassen, J.; Deng, Y.; Du, Y.; Garrelts, R.P.; Lundstrom, M.S.; Ye, P.D.; Xu, X. Anisotropic in-plane thermal conductivity observed in few-layer black phosphorus. Nat. Commun. 2015, 6, 8572. [Google Scholar] [CrossRef]
- Zeng, Q.; Sun, B.; Du, K.; Zhao, W.; Yu, P.; Zhu, C.; Xia, J.; Chen, Y.; Cao, X.; Yan, Q.; et al. Highly anisotropic thermoelectric properties of black phosphorus crystals. 2D Mater. 2019, 6, 045009. [Google Scholar] [CrossRef]
- Jang, H.; Wood, J.D.; Ryder, C.R.; Hersam, M.C.; Cahill, D.G. Anisotropic thermal conductivity of exfoliated black phosphorus. Adv. Mater. 2015, 27, 8017–8022. [Google Scholar] [CrossRef]
- Faraone, G.; Balduzzi, E.; Martella, C.; Grazianetti, C.; Molle, A.; Bonera, E. Thickness determination of anisotropic van der Waals crystals by Raman spectroscopy: The case of black phosphorus. Nanotechnology 2020, 31, 415703. [Google Scholar] [CrossRef]
- Bonera, E.; Fanciulli, M.; Carnevale, G. Raman stress maps from finite-element models of silicon structures. J. Appl. Phys. 2006, 100, 033516. [Google Scholar] [CrossRef]
- Bonera, E.; Pezzoli, F.; Picco, A.; Vastola, G.; Stoffel, M.; Grilli, E.; Guzzi, M.; Rastelli, A.; Schmidt, O.G.; Miglio, L. Strain in a single ultrathin silicon layer on top of SiGe islands: Raman spectroscopy and simulations. Phys. Rev. B 2009, 79, 075321. [Google Scholar] [CrossRef]
- Faraone, G.; Sipala, R.; Mariani, M.; Martella, C.; Grazianetti, C.; Molle, A.; Bonera, E. Probing the laser ablation of black phosphorus by raman spectroscopy. J. Phys. Chem. C 2021, 125, 8704–8711. [Google Scholar] [CrossRef] [PubMed]
- Balkanski, M.; Wallis, R.F.; Haro, E. Anharmonic effects in light scattering due to optical phonons in silicon. Phys. Rev. B 1983, 28, 1928–1934. [Google Scholar] [CrossRef]
- Wang, T.; Wang, R.; Yuan, P.; Xu, S.; Liu, J.; Wang, X. Interfacial thermal conductance between mechanically exfoliated black phosphorus and SiOx: Effect of thickness and temperature. Adv. Mater. Interfaces 2017, 4, 1700233. [Google Scholar] [CrossRef]
- Łapińska, A.; Taube, A.; Judek, J.; Zdrojek, M. Temperature evolution of phonon properties in few-layer black phosphorus. J. Phys. Chem. C 2016, 120, 5265–5270. [Google Scholar] [CrossRef]





Publisher’s Note: MDPI stays neutral with regard to jurisdictional claims in published maps and institutional affiliations. |
© 2022 by the authors. Licensee MDPI, Basel, Switzerland. This article is an open access article distributed under the terms and conditions of the Creative Commons Attribution (CC BY) license (https://creativecommons.org/licenses/by/4.0/).
Share and Cite
Bonera, E.; Molle, A. Optothermal Raman Spectroscopy of Black Phosphorus on a Gold Substrate. Nanomaterials 2022, 12, 1410. https://doi.org/10.3390/nano12091410
Bonera E, Molle A. Optothermal Raman Spectroscopy of Black Phosphorus on a Gold Substrate. Nanomaterials. 2022; 12(9):1410. https://doi.org/10.3390/nano12091410
Chicago/Turabian StyleBonera, Emiliano, and Alessandro Molle. 2022. "Optothermal Raman Spectroscopy of Black Phosphorus on a Gold Substrate" Nanomaterials 12, no. 9: 1410. https://doi.org/10.3390/nano12091410
APA StyleBonera, E., & Molle, A. (2022). Optothermal Raman Spectroscopy of Black Phosphorus on a Gold Substrate. Nanomaterials, 12(9), 1410. https://doi.org/10.3390/nano12091410

