Excitation of Surface Plasmon Polariton Modes with Double-Layer Gratings of Graphene
Abstract
1. Introduction
2. Materials and Methods
3. Transmission Characteristics of This Grating with a Perpendicular Incident Light
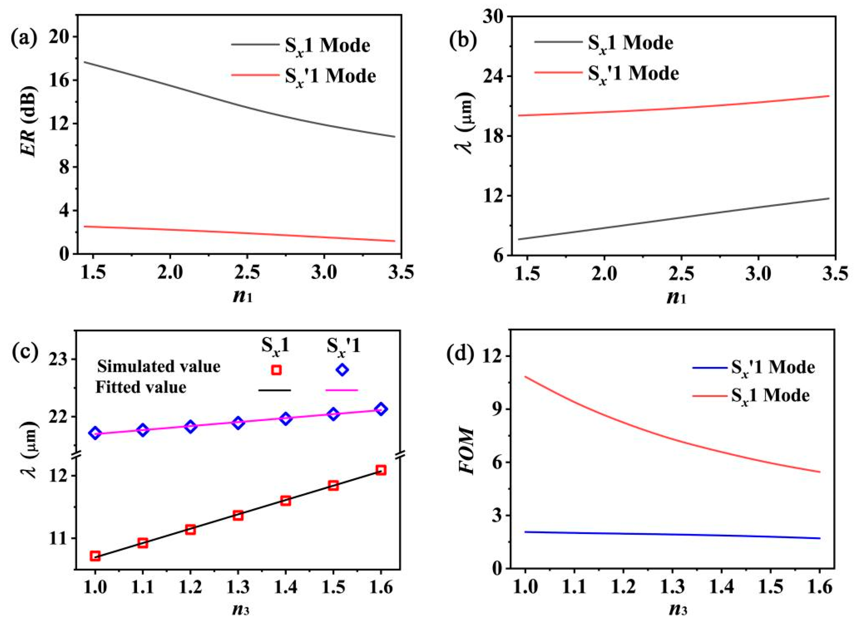
4. Transmission Characteristics of This Grating with an Oblique Incident Light
5. Conclusions
Author Contributions
Funding
Institutional Review Board Statement
Informed Consent Statement
Data Availability Statement
Conflicts of Interest
References
- Barnes, W.L.; Dereux, A.; Ebbesen, T.W. Surface plasmon subwavelength optics. Nature 2003, 424, 824–830. [Google Scholar] [CrossRef] [PubMed]
- West, P.R.; Ishii, S.; Naik, G.V.; Emani, N.K.; Shalaev, V.M.; Boltasseva, A. Searching for better plasmonic materials. Laser Photonics Rev. 2010, 4, 795–808. [Google Scholar] [CrossRef]
- Li, R.; Kong, X.K.; Liu, S.B.; Liu, Z.M.; Li, Y.M. Planar metamaterial analogue of electromagnetically induced transparency for a miniature refractive index sensor. Phys. Lett. A 2019, 383, 125947. [Google Scholar] [CrossRef]
- Burokur, S.N.; Lupu, A.; Lustrac, A. Direct dark mode excitation by symmetry matching of a single-particle-based metasurface. Phys. Rev. B 2015, 91, 035104. [Google Scholar] [CrossRef]
- Kazanskiy, N.L.; Khonina, S.N.; Butt, M.A.; Ka′zmierczak, A.; Piramidowicz, R. A numerical investigation of a plasmonic sensor based on a metal-insulator-metal waveguide for simultaneous detection of biological analytes and ambient temperature. Nanomaterials 2021, 11, 2551. [Google Scholar] [CrossRef] [PubMed]
- Liu, J.P.; Wang, L.L.; Sun, B.; Li, H.J.; Zhai, X. Enhanced optical transmission through anano-slit based on a dipole source and an annular nano-cavity. Opt. Laser Technol. 2015, 69, 71–76. [Google Scholar] [CrossRef]
- Abdulhalim, I. Coupling configurations between extended surface electromagnetic waves and localized surface plasmons for ultrahigh field enhancement. Nanophotonics 2018, 7, 1891–1916. [Google Scholar] [CrossRef]
- Soref, R. Mid-infrared photonics in silicon and germanium. Nat. Photonics 2010, 4, 495–497. [Google Scholar] [CrossRef]
- Novoselov, K.S.; Geim, A.K.; Morozov, S.V.; Jiang, D.; Katsnelson, M.I.; Grigorieva, I.V.; Dubonos, S.V.; Firsov, A.A. Two-dimensional gas of massless Dirac fermions in graphene. Nature 2005, 438, 197–200. [Google Scholar] [CrossRef]
- Jablan, M.; Buljan, H.; Soljacic, M. Plasmonics in graphene at infrared frequencies. Phys. Rev. B 2009, 80, 245435. [Google Scholar] [CrossRef]
- Vakil, A.; Engheta, N. Transformation optics using graphene. Science 2011, 332, 1291–1294. [Google Scholar] [CrossRef] [PubMed]
- Biswas, S.R.; Gutiérrez, C.E.; Nemilentsau, A.; Lee, I.H.; Oh, S.H.; Avouris, P.; Low, T. Tunable graphene metasurface reflect array for cloaking, illusion, and focusing. Phys. Rev. Appl. 2018, 9, 034021. [Google Scholar] [CrossRef]
- Liu, J.P.; Wang, W.L.; Xie, F.; Luo, X.; Zhou, X.; Lei, M.; Yuan, Y.J.; Long, M.Q.; Wang, L.L. Efficient directional coupling from multilayer-graphene-based long-range SPP waveguide to metal-based hybrid SPP waveguide in mid-infrared range. Opt. Express 2018, 26, 29509–29521. [Google Scholar] [CrossRef]
- Jonas, A.R.S.; Lima, R.F. Perfect valley filter controlled by Fermi velocity modulation in graphene. Carbon 2020, 160, 353–360. [Google Scholar]
- Huang, C.C.; Chang, R.J.; Cheng, C.W. Ultra-low-loss mid-infrared plasmonic waveguides based on multilayer graphene. Nanomaterials 2021, 11, 2981. [Google Scholar] [CrossRef] [PubMed]
- Fang, Z.; Thongrattanasiri, S.; Schlather, A.; Liu, Z.; Ma, L.; Wang, Y.; Ajayan, P.M.; Nordlander, P.; Halas, N.J.; Garcia de Abajo, F.J. Gated tunability and hybridization of localized plasmons in nanostructured graphene. ACS Nano 2013, 7, 2388–2395. [Google Scholar] [CrossRef]
- Fan, Y.; Shen, N.H.; Koschny, T.; Soukoulis, C.M. Tunable terahertz meta-surface with graphene cut wires. ACS Photonics 2015, 2, 151–156. [Google Scholar] [CrossRef]
- Hossain, M.S.; Huynh, D.H.; Jiang, L.; Rahman, S.; Nguyen, P.D.; Al-Dirini, F.M.A.; Hossain, F.M.; Bahk, J.; Skafidas, S. Investigating enhanced thermoelectric performance of graphene-based nano-structures. Nanoscale 2018, 10, 4786–4792. [Google Scholar] [CrossRef]
- Chen, J.; Badioli, M.; Alonso-Gonzalez, P.; Thongrattanasiri, S.; Huth, F.; Osmond, J.; Spasenovic, M.; Centeno, A.; Pesquera, A.; Godignon, P.; et al. Optical nano-imaging of gate-tunable graphene plasmons. Nature 2012, 487, 77–81. [Google Scholar] [CrossRef]
- Fei, Z.; Rodin, A.S.; Andreev, G.O.; Bao, W.; McLeod, A.S.; Wagner, M.; Zhang, L.M.; Zhao, Z.; Thiemens, M.; Dominguez, G.; et al. Gate-tuning of graphene plasmons revealed by infrared nano-imaging. Nature 2012, 487, 82–85. [Google Scholar] [CrossRef]
- Nikitin, A.Y.; Alonso-González, P.; Hillenbrand, R. Efficient coupling of light to graphene plasmons by compressing surface polaritons with tapered bulk materials. Nano Lett. 2014, 14, 2896–2901. [Google Scholar] [CrossRef] [PubMed][Green Version]
- Lee, S.; Kim, S. Practical Perfect Absorption in Monolayer Graphene by Prism Coupling. IEEE Photonics J. 2017, 9, 2700810. [Google Scholar] [CrossRef]
- Heo, H.; Lee, S.; Kim, S. Broadband absorption enhancement of monolayer graphene by prism coupling in the visible range. Carbon 2019, 154, 42–47. [Google Scholar] [CrossRef]
- Gao, W.L.; Shu, J.; Qiu, C.Y.; Xu, Q.F. Excitation of plasmonics waves in graphene by guided-mode resonances. ACS Nano 2012, 6, 7806–7813. [Google Scholar] [CrossRef]
- Lu, H.; Zeng, C.; Zhang, Q.M.; Liu, X.M.; Hossain, M.M.; Reineck, P.; Gu, M. Graphene-based active slow surface plasmon polaritons. Sci. Rep. 2015, 5, 8443. [Google Scholar] [CrossRef]
- Janfazaa, M.; Mansouri-Birjandia, M.A.; Tavousi, A. Proposal for a graphene nanoribbon assisted mid-infrared band-stop/ band-pass filter based on bragg gratings. Opt. Commun. 2019, 440, 75–82. [Google Scholar] [CrossRef]
- Ren, Y.X.; Guo, X.G.; Zhang, G.X.; Balakin, A.V.; Shkurinov, A.P.; Yu, A.Q.; Zhu, Y.M. Excitation of graphene surface plasmons polaritons by guided-mode resonances with high efficiency. Opt. Express 2020, 28, 13224–13233. [Google Scholar] [CrossRef]
- Xia, X.S.; Zhai, X.; Wang, L.L.; Liu, J.P.; Li, H.J.; Liu, J.Q.; Pan, A.L.; Wen, S.C. Excitation of surface plasmons in graphene-coated nanowire arrays. J. Appl. Phys. 2016, 120, 103204. [Google Scholar] [CrossRef]
- Ding, P.; Li, Y.; Li, M.Y.; Shao, L.; Wang, J.Q.; Fan, C.Z.; Zeng, F.G. Tunable dual band light trapping and localization in coupled graphene grating-sheet system at mid-infrared wavelengths. Opt. Commun. 2018, 407, 410–416. [Google Scholar] [CrossRef]
- Xia, X.S.; Zhai, X.; Wang, L.L.; Li, H.J.; Huang, Z.R.; Lin, Q. Dynamically tuning the optical coupling of surface plasmons in coplanar graphene nanoribbons. Opt. Commun. 2015, 352, 110–115. [Google Scholar] [CrossRef]
- Ukhtary, M.S.; Saito, R. Surface plasmon in graphene and carbon nanotubes. Carbon 2020, 167, 455–474. [Google Scholar] [CrossRef]
- Liu, J.P.; Zhai, X.; Wang, L.L.; Li, H.J.; Xie, F.; Xia, S.X.; Shang, X.J.; Luo, X. Graphene-based long-range SPP hybrid waveguide with ultra-long propagation length in mid-infrared range. Opt. Express 2016, 24, 5376–5386. [Google Scholar] [CrossRef] [PubMed]
- Liu, J.P.; Zhai, X.; Xie, F.; Wang, L.L.; Xia, S.X.; Li, H.J.; Shang, X.J. Analytical model of mid-infrared surface plasmon modes in a cylindrical long-range waveguide with double-layer graphene. J. Lightwave Technol. 2017, 35, 1971–1979. [Google Scholar] [CrossRef]
- Li, W.; Chen, B.; Meng, C.; Fang, W.; Xiao, Y.; Li, X.; Hu, Z.; Xu, Y.; Tong, L.; Wang, H.; et al. Ultrafast all-optical graphene modulator. Nano Lett. 2014, 14, 955–959. [Google Scholar] [CrossRef] [PubMed]
- Wu, Y.; Yao, B.; Zhang, A.; Rao, Y.; Wang, Z.; Cheng, Y.; Gong, Y.; Zhang, W.; Chen, Y.; Chiang, K.S. Graphene-coated microfiber Bragg grating for high-sensitivity gas sensing. Opt. Lett. 2014, 39, 1235–1237. [Google Scholar] [CrossRef]
- He, X.; Liu, Z.; Wang, D.N.; Yang, M.; Hu, T.Y.; Tian, J.G. Saturable absorber based on graphene-covered microfiber. IEEE Photon. Technol. Lett. 2013, 25, 1392–1394. [Google Scholar] [CrossRef]
- Dai, D.X.; He, S.L. A silicon-based hybrid plasmonic waveguidewith a metal cap for a nano-scale light confinement. Opt. Express 2009, 17, 16646–16653. [Google Scholar] [CrossRef]
- Farhat, M.; Guenneau, S.; Bağcı, H. Exciting graphene surface plasmon polaritons through light and sound interplay. Phys. Rev. Lett. 2013, 111, 237404. [Google Scholar] [CrossRef]
- Gao, Y.; Ren, G.; Zhu, B.; Wang, J.; Jian, S. Single-mode graphene-coated nanowire plasmonic waveguide. Opt. Lett. 2014, 39, 5909–5912. [Google Scholar] [CrossRef]
- Hanson, G.W. Quasi-transverse electromagnetic modes supported by a graphene parallelplate waveguide. J. Appl. Phys. 2008, 104, 084314. [Google Scholar] [CrossRef]
- Ju, L.; Geng, B.; Horng, J.; Girit1, C.; Martin, M.; Hao, Z.; Bechtel, H.A.; Liang, X.; Zettl, A.; Shen, Y.R.; et al. Graphene Plasmonics for Tunable Terahertz Metamaterials. Nat. Nanotechnol. 2011, 6, 630–634. [Google Scholar] [CrossRef] [PubMed]
- Liu, J.P.; Zhai, X.; Wang, L.L.; Li, H.J.; Xie, F.; Lin, Q.; Xia, S.X. Analysis of mid-infrared surface plasmon modes in a graphene-based cylindrical hybrid waveguide. Plasmonics 2016, 11, 703–711. [Google Scholar] [CrossRef]
- Efetov, D.K.; Kim, P. Controlling Electron-Phonon Interactions in Graphene at Ultrahigh Carrier Densities. Phys. Rev. Lett. 2010, 105, 256805. [Google Scholar] [CrossRef] [PubMed]
- Bolotin, K.I.; Sikes, K.J.; Jiang, Z.; Klima, M.; Fudenberg, G.; Hone, J.; Kim, P.; Stormer, H.L. Ultrahigh electron mobility in suspended graphene. Solid State Commun. 2008, 146, 351–355. [Google Scholar] [CrossRef]
- Dai, D.X.; Shi, Y.C.; He, S.L.; Wosinski, L.; Thylen, L. Gain enhancement in a hybrid plasmonic nano-waveguide with a low-index or high-index gain medium. Opt. Express 2011, 19, 12925–12936. [Google Scholar] [CrossRef]
- Zafar, R.; Salim, M. Enhanced figure of merit in fano resonance-based plasmonic refractive index sensor. IEEE Sens. J. 2015, 15, 6313–6317. [Google Scholar] [CrossRef]
- Wang, B.Q.; Yu, P.; Wang, W.H.; Zhang, X.T.; Kuo, H.C.; Wang, Z.M. High-Q plasmonic resonances: Fundamentals and applications. Adv. Opt. Mate. 2021, 9, 2001520. [Google Scholar] [CrossRef]
- Dolatabady, A.; Asgari, S.; Granpayeh, N. Tunable mid-infrared nanoscale graphene-based refractive index sensor. IEEE Sens. J. 2017, 18, 569–574. [Google Scholar] [CrossRef]
- Cen, C.; Lin, H.; Huang, J.; Liang, C.; Chen, X.; Tang, Y.; Yi, Z.; Ye, X.; Liu, J.; Yi, Y.; et al. A tunable plasmonic refractive index sensor with nonoring-strip graphene arrays. Sensors 2018, 18, 4489. [Google Scholar] [CrossRef]
- Abutoama, M.; Abdulhalim, I. Angular and Intensity modes self-referenced refractive index sensor based on thin dielectric grating combined with thin metal film. IEEE J. Sel. Top. Quantum Electron. 2017, 23, 4600309. [Google Scholar] [CrossRef]
- Abutoama, M.; Abdulhalim, I. Self-referenced Biosensor based on thin dielectric grating combined with thin metal film. Opt. Express 2015, 23, 28667–28682. [Google Scholar] [CrossRef] [PubMed]









Publisher’s Note: MDPI stays neutral with regard to jurisdictional claims in published maps and institutional affiliations. |
© 2022 by the authors. Licensee MDPI, Basel, Switzerland. This article is an open access article distributed under the terms and conditions of the Creative Commons Attribution (CC BY) license (https://creativecommons.org/licenses/by/4.0/).
Share and Cite
Liu, J.; Wang, W.; Xie, F.; Zhang, X.; Zhou, X.; Yuan, Y.; Wang, L. Excitation of Surface Plasmon Polariton Modes with Double-Layer Gratings of Graphene. Nanomaterials 2022, 12, 1144. https://doi.org/10.3390/nano12071144
Liu J, Wang W, Xie F, Zhang X, Zhou X, Yuan Y, Wang L. Excitation of Surface Plasmon Polariton Modes with Double-Layer Gratings of Graphene. Nanomaterials. 2022; 12(7):1144. https://doi.org/10.3390/nano12071144
Chicago/Turabian StyleLiu, Jianping, Weilin Wang, Fang Xie, Xiaoming Zhang, Xia Zhou, Yijun Yuan, and Lingling Wang. 2022. "Excitation of Surface Plasmon Polariton Modes with Double-Layer Gratings of Graphene" Nanomaterials 12, no. 7: 1144. https://doi.org/10.3390/nano12071144
APA StyleLiu, J., Wang, W., Xie, F., Zhang, X., Zhou, X., Yuan, Y., & Wang, L. (2022). Excitation of Surface Plasmon Polariton Modes with Double-Layer Gratings of Graphene. Nanomaterials, 12(7), 1144. https://doi.org/10.3390/nano12071144
