Synthesis and Characterization of Biopolyol-Based Waterborne Polyurethane Modified through Complexation with Chitosan
Abstract
:1. Introduction
2. Materials and Methods
2.1. Materials
2.2. Synthesis of CWPU/CS Nanocomposites and Preparation of the Films
2.3. Cell Seeding on the Fabricated CWPU/CS Films and Cell Imaging
2.4. Characterization
3. Results
3.1. Synthesis of CWPU and CWPU/CS Nanocomposites
3.2. Structural Characterization of CWPU and CWPU/CS Nanocomposites Dispersions by 1H NMR
3.3. Particle Size and Zeta Potential of CWPU and CWPU/CS Nanocomposites Dispersions
3.4. FTIR Studies of CWPU and CWPU/CS Nanocomposites Dispersions
3.5. Steady-Shear Flow Behavior of CWPU and CWPU/CS Nanocomposites Dispersions
3.6. Dynamic Oscillation Behavior of CWPU and CWPU/CS Nanocomposites Dispersions
3.7. Microscopic Studies of CWPU and CWPU/CS Nanocomposites Films
3.8. Mechanical Properties of CWPU and CWPU/CS Nanocomposites Films
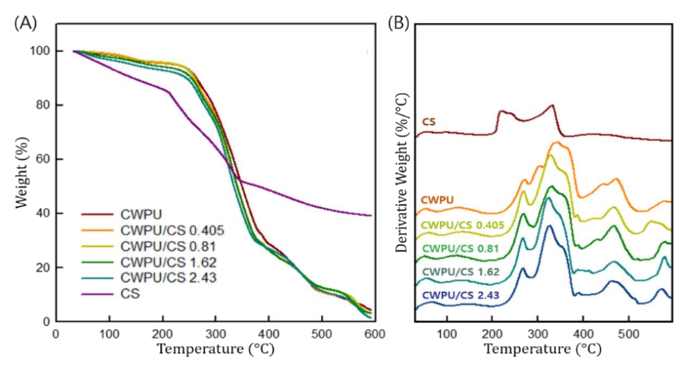
3.9. The Thermal Properties of CWPU and CWPU/CS Nanocomposite Films
3.10. Cellular Responses on CWPU and CWPU/CS Nanocomposites Films
4. Conclusions
Author Contributions
Funding
Institutional Review Board Statement
Informed Consent Statement
Data Availability Statement
Conflicts of Interest
References
- Gurgel, D.; Bresolin, D.; Sayer, C.; Filho, L.C.; de Araújo, P.H. Flexible polyurethane foams produced from industrial residues and castor oil. Ind. Crops Prod. 2021, 164, 113377. [Google Scholar] [CrossRef]
- Chan, Y.Y.; Ma, C.; Zhou, F.; Hu, Y.; Schartel, B. Flame retardant flexible polyurethane foams based on phosphorous soybean-oil polyol and expandable graphite. Polym. Degrad. Stab. 2021, 191, 109656. [Google Scholar] [CrossRef]
- Polaczek, K.; Kurańska, M.; Auguścik-Królikowska, M.; Prociak, A.; Ryszkowska, J. Open-cell polyurethane foams of very low density modified with various palm oil-based bio-polyols in accordance with cleaner production. J. Clean. Prod. 2021, 290, 125875. [Google Scholar] [CrossRef]
- Paraskar, P.M.; Prabhudesai, M.S.; Hatkar, V.M.; Kulkarni, R.D. Vegetable oil based polyurethane coatings-A sustainable approach: A review. Prog. Org. Coat. 2021, 156, 106267. [Google Scholar] [CrossRef]
- Godinho, B.; Gama, M.; Barros-Timmons, A.; Ferreira, A. Recycling of different types of polyurethane foam wastes via acidolysis to produce polyurethane coatings. Sustain. Mater. Technol. 2021, 29, e00330. [Google Scholar] [CrossRef]
- Ma, Z.; Li, Q.; Wei, J.; Liang, C.; Yang, T.; Wang, G.; Xia, C. Effects of Al-based alloy powders on the mechanical behavior, corrosion resistance and infrared emissivity of polyurethane composite coatings. Colloids Surf. A Physicochem. Eng. 2021, 624, 126782. [Google Scholar] [CrossRef]
- Paraskar, P.M.; Prabhudesai, M.S.; Kulkarni, R.D. Synthesis and characterizations of air-cured polyurethane coatings from vegetable oils and itaconic acid. React. Funct. Polym. 2020, 156, 104734. [Google Scholar] [CrossRef]
- Mohanty, S.R.; Mohanty, S.; Nayak, S.K.; Samal, S.K. Synthesis and evaluation of novel acrylic and ester-based polyols for transparent polyurethane coating applications. Mater. Today Commun. 2021, 27, 102228. [Google Scholar] [CrossRef]
- Zhang, R.; Dai, H.; Smith, G.D. Investigation of the high temperature performance of a polyurethane adhesive used for structural wood composites. Int. J. Adhes. Adhes. 2021, 102882, in press. [Google Scholar] [CrossRef]
- Boutar, Y.; Naïmi, S.; Mezlini, S.; Carbas, R.J.C.; da Silva, L.F.M.; Ali, M.B.S. Cyclic fatigue testing: Assessment of polyurethane adhesive joints’ durability for bus structures’ aluminium assembly. J. Adv. Join. Process. 2021, 3, 100053. [Google Scholar] [CrossRef]
- Momber, A.W.; Fröck, L.; Marquardt, T. Effects of adhesive type on the mechanical properties of adhesive joints between polyurethane top coats and polyurethane-based adhesives after accelerated atmospheric ageing. Mar. Struct. 2021, 79, 103022. [Google Scholar] [CrossRef]
- Pang, Y.; Yu, Z.; Chen, L.; Chen, H. Superhydrophobic polyurethane sponges modified by sepiolite for efficient oil-water separation. Colloids Surf. A Physicochem. Eng. 2021, 627, 127175. [Google Scholar] [CrossRef]
- Sun, R.; Yu, N.; Zhao, J.; Mo, J.; Pan, Y.; Luo, D. Chemically stable superhydrophobic polyurethane sponge coated with ZnO/epoxy resin coating for effective oil/water separation. Colloids Surf. A Physicochem. Eng. 2020, 611, 125850. [Google Scholar] [CrossRef]
- Sui, S.; Quan, H.; Hu, Y.; Hou, M.; Guo, S. A strategy of heterogeneous polyurethane-based sponge for water purification: Combination of superhydrophobicity and photocatalysis to conduct oil/water separation and dyes degradation. J. Colloid Interface Sci. 2021, 589, 275–285. [Google Scholar] [CrossRef] [PubMed]
- Ghasemolu, M.; Daver, F.; Ivanova, E.P.; Brkjaca, R.; Adhikari, B. Assessment of interfacial interactions between starch and non-isocyanate polyurethanes in their hybrids. Carbohydr. Polym. 2020, 246, 116656. [Google Scholar] [CrossRef]
- Tai, N.L.; Ghasemlou, M.; Adhikari, R.; Adhikari, B. Starch-based isocyante- and non-isocyanate polyurethane hybrids: A review on synthesis, performance and biodegradation. Carbohydr. Polym. 2021, 265, 118029. [Google Scholar] [CrossRef]
- Choi, S.M.; Han, S.S.; Shin, E.J. Highly stretchable conductive nanocomposite films using regenerated cellulose nanoparticles. ACS Appl. Polym. 2020, 2, 4387–4398. [Google Scholar] [CrossRef]
- Lubczak, R.; Szczech, D.; Broda, D.; Wojnarowska-Nowak, R.; Kus-Liśkiewicz, M.; Dębskak, B.; Lubczak, J. Polyetherols and polyurethane foams from starch. Polym. Test. 2021, 93, 106884. [Google Scholar] [CrossRef]
- Viezzer, C.; Mazzuca, R.; Machado, D.C.; de Camargo Forte, M.M.; Ribelles, J.L.G. A new waterborne chitosan-based polyurethane hydrogel as a vehicle to transplant bone marrow mesenchymal cells improved wound healing of ulcers in a diabetic rat model. Carbohydr. Polym. 2020, 231, 115734. [Google Scholar] [CrossRef]
- Choi, S.M.; Lee, M.W.; Shin, E.J. One-pot processing of regenerated cellulose nanoparticles/waterborne polyurethane nanocomposite for eco-friendly polyurethane matrix. Polymers 2019, 11, 356. [Google Scholar] [CrossRef] [Green Version]
- Chu, P.; Li, Z.; Chen, Y.; Yuan, T.; Yang, Z. One-pot and solvent-free synthesis of castor oil-based polyurethane acrylate oligomers for UV-curable coatings applications. Prog. Org. Coat. 2021, 159, 106398. [Google Scholar]
- Lai, Y.; Qian, Y.; Yang, D.; Qiu, X.; Zhou, M. Preparation and performance of lignin-based waterborne polyurethane emulsion. Ind. Crops Prod. 2021, 170, 113739. [Google Scholar] [CrossRef]
- Anjum, A.; Zuber, M.; Zia, K.M.; Anjum, M.N.; Aftab, W. Preparation and characterization of guar gum based polyurethanes. Int. J. Biol. 2021, 183, 2174–2183. [Google Scholar] [CrossRef] [PubMed]
- Liu, Y.; Zhang, Z.; Wang, J.; Xie, T.; Sun, L.; Yang, K.; Li, Z. Renewable tannic acid based self-healing polyurethane with dynamic phenol-carbamate network: Simultaneously showing robust mechanical properties, reprocessing ability and shape memory. Polymers 2021, 228, 123860. [Google Scholar] [CrossRef]
- Zhang, C.Q.; Kessler, M.R. Bio-based polyurethane foam made from compatible blends of vegetable-oil-based polyol and petroleum-based polyol. ACS Sustain. Chem. Eng. 2015, 3, 743–749. [Google Scholar] [CrossRef]
- Liang, H.; Liu, L.; Lu, J.; Chen, M.; Zhang, C. Castor oil-based cationic waterborne polyurethane dispersions: Storage stability, thermo-physical properties and antibacterial properties. Ind. Crops Prod. 2018, 117, 169–178. [Google Scholar] [CrossRef]
- Fu, H.; Wang, Y.; Chen, W.; Xiao, J. Reinforcement of waterborne polyurethane with chitosan-modified halloysite nanotubes. Appl. Surf. Sci. 2015, 346, 372–378. [Google Scholar] [CrossRef]
- Liang, H.; Wang, S.; He, H.; Wang, M.; Liu, L.; Lu, J.; Zhang, Y.; Zhang, C. Aqueous anionic polyurethane dispersions from castor oil. Ind. Crops Prod. 2018, 122, 182–189. [Google Scholar] [CrossRef]
- Lee, D.I.; Kim, S.H.; Lee, D.S. Synthesis of Self-Healing Waterborne Polyurethane Systems Chain Extended with Chitosan. Polymers 2019, 11, 503. [Google Scholar] [CrossRef] [Green Version]
- Chen, R.; Zhang, C.; Kessler, M.R. Anionic waterborne polyurethane dispersion from a bio-based ionic segment. RSC Adv. 2014, 4, 35476–35483. [Google Scholar] [CrossRef]
- Cseri, L.; Razali, M.; Pogany, P.; Szekely, G. Organic solvents in sustainable synthesis and engineering. Green Chem. 2018, 2018, 513–553. [Google Scholar]
- Lee, J.W.; Han, S.S.; Zo, S.M.; Choi, S.M. Cellulose/poly-(m-phenylene isophthalamide) porous film as a tissue-engineered skin bioconstruct. Results Phys. 2018, 2018, 113–120. [Google Scholar] [CrossRef]
- Kim, M.S.; Ryu, K.M.; Lee, S.H.; Choi, Y.C.; Rho, S.C.; Jeong, Y.G. Chitin Nanofiber-reinforced waterborne polyurethane nanocomposite films with enhanced thermal and mechanical performance. Carbohydr. Polym. 2021, 258, 117728. [Google Scholar] [CrossRef]
- Gadwal, I. A brief overview on preparation of self -healing polymers and coatings via hydrogen bonding interactions. Macromol. 2021, 1, 18–36. [Google Scholar] [CrossRef]
- Gurunathan, T.; Mohanty, S.; Nayak, S.K. Isocyanate terminated castor oil-based polyurethane prepolymer: Synthesis and characterization. Prog. Org. Coat. 2015, 80, 39–48. [Google Scholar] [CrossRef]
- Lee, C.Y.; Kim, J.W.; Suh, K.D. Synthesis of water-soluble urethane acrylate anionomers and their ultra-violet coating properties. J. Mater. Sci. 1999, 34, 5343–5349. [Google Scholar] [CrossRef]
- Chiu, H.T.; Hsu, X.Y.; Yang, H.M.; Ciou, Y.S. Snthesis and Characteristics of m-TMXDI-based waterborne polyurethane modified by aqueous chitosan. J. Textile Sci. Eng. 2015, 5, 1000218. [Google Scholar] [CrossRef]
- Kim, B.K. Aqueous polyurethane dispersions. Colloid Polym. Sci. 1996, 274, 599–611. [Google Scholar] [CrossRef]
- Jang, J.T.; Jhon, Y.K.; Cheong, I.W.; Kim, J.H. Effect of process variables on molecular weight and mechanical properties of water-based polyurethane dispersion. Colloids Surf. A Physicochem. Eng. Asp. 2002, 196, 135–143. [Google Scholar] [CrossRef]
- Laube, T.; Weisser, J.; Berger, S.; Börner, S.; Bischoff, S.; Schubert, H.; Gajda, M.; Bräuer, R.; Schnabelrauch, M. In situ foamable, degradable polyurethane as biomaterial for soft tissue repair. Mater. Sci. Eng. C 2017, 78, 163–174. [Google Scholar] [CrossRef]
- Silva, S.S.; Menezes, S.M.C.; Garcia, R.B. Synthesis and characterization of polyurethane-g-chitosan. Eur. Polym. J. 2003, 39, 1515–1519. [Google Scholar] [CrossRef]
- Subramani, S.; Park, Y.; Lee, Y.; Kim, J. New development of polyurethane dispersion derived from blocked aromatic diisocyanate. Prog. Org. Coat. 2003, 48, 71–79. [Google Scholar] [CrossRef]
- Yasmeen, S.; Kabiraz, M.K.; Saha, B.; Qadir, M.R.; Gafur, M.A.; Masum, S.M. Chromium (VI) Ions Removal from Tannery Effluent using Chitosan-Microcrystalline Cellulose Composite as Adsorbent. Int. Res. J. Pure Appl. Chem. 2016, 10, 1–14. [Google Scholar]








| Composition | CWPU | CWPU/CS 0.405 | CWPU /CS 0.81 | CWPU/CS 1.62 | CWPU/CS 2.43 | Equivalent | Molar Ratio | NCO/OH/OH |
|---|---|---|---|---|---|---|---|---|
| Castor oil (g) | 10.00 | 10.00 | 10.00 | 10.00 | 10.00 | 0.032 | 0.021 | 0.48 |
| IPDI (g) | 7.42 | 7.42 | 7.42 | 7.42 | 7.42 | 0.067 | 0.033 | 1 |
| DMBA (g) | 1.86 | 1.86 | 1.86 | 1.86 | 1.86 | 0.025 | 0.013 | 0.37 |
| TEA (g) | 1.72 | 1.72 | 1.72 | 1.72 | 1.72 | - | 0.034 | - |
| CS (g) | 0 | 0.405 | 0.81 | 1.62 | 2.43 | - | - | - |
| Bio-based content (wt%) | 47.62 | 48.62 | 49.56 | 51.37 | 53.05 | - | - | - |
Publisher’s Note: MDPI stays neutral with regard to jurisdictional claims in published maps and institutional affiliations. |
© 2022 by the authors. Licensee MDPI, Basel, Switzerland. This article is an open access article distributed under the terms and conditions of the Creative Commons Attribution (CC BY) license (https://creativecommons.org/licenses/by/4.0/).
Share and Cite
Choi, S.-M.; Lee, S.; Shin, E.-J. Synthesis and Characterization of Biopolyol-Based Waterborne Polyurethane Modified through Complexation with Chitosan. Nanomaterials 2022, 12, 1143. https://doi.org/10.3390/nano12071143
Choi S-M, Lee S, Shin E-J. Synthesis and Characterization of Biopolyol-Based Waterborne Polyurethane Modified through Complexation with Chitosan. Nanomaterials. 2022; 12(7):1143. https://doi.org/10.3390/nano12071143
Chicago/Turabian StyleChoi, Soon-Mo, Sunhee Lee, and Eun-Joo Shin. 2022. "Synthesis and Characterization of Biopolyol-Based Waterborne Polyurethane Modified through Complexation with Chitosan" Nanomaterials 12, no. 7: 1143. https://doi.org/10.3390/nano12071143
APA StyleChoi, S.-M., Lee, S., & Shin, E.-J. (2022). Synthesis and Characterization of Biopolyol-Based Waterborne Polyurethane Modified through Complexation with Chitosan. Nanomaterials, 12(7), 1143. https://doi.org/10.3390/nano12071143

