Theoretical Analysis of Terahertz Frequency Multiplier Based on Semiconductor Superlattices
Abstract
:1. Introduction
2. Balance Equation Approach for Electron Response of a Superlattice Frequency Multiplier
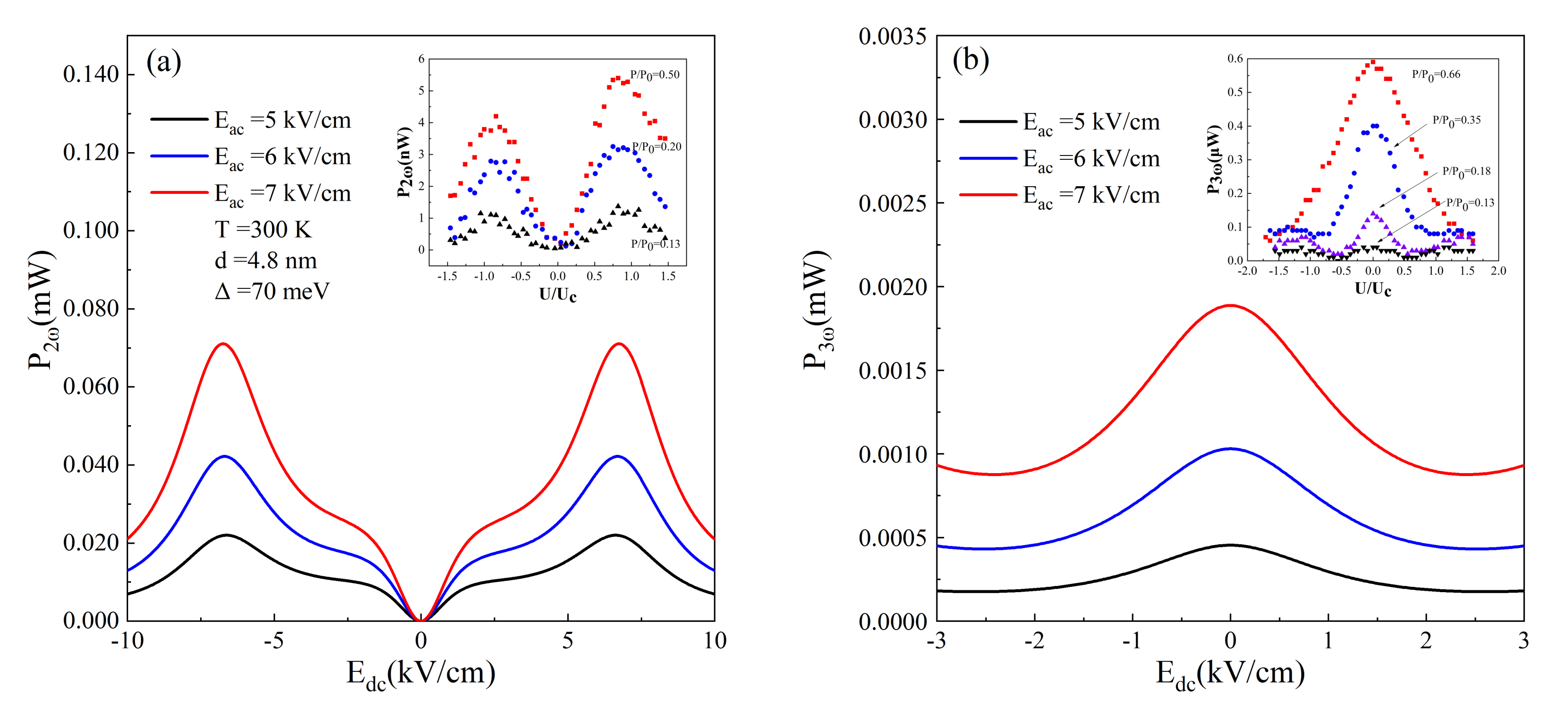
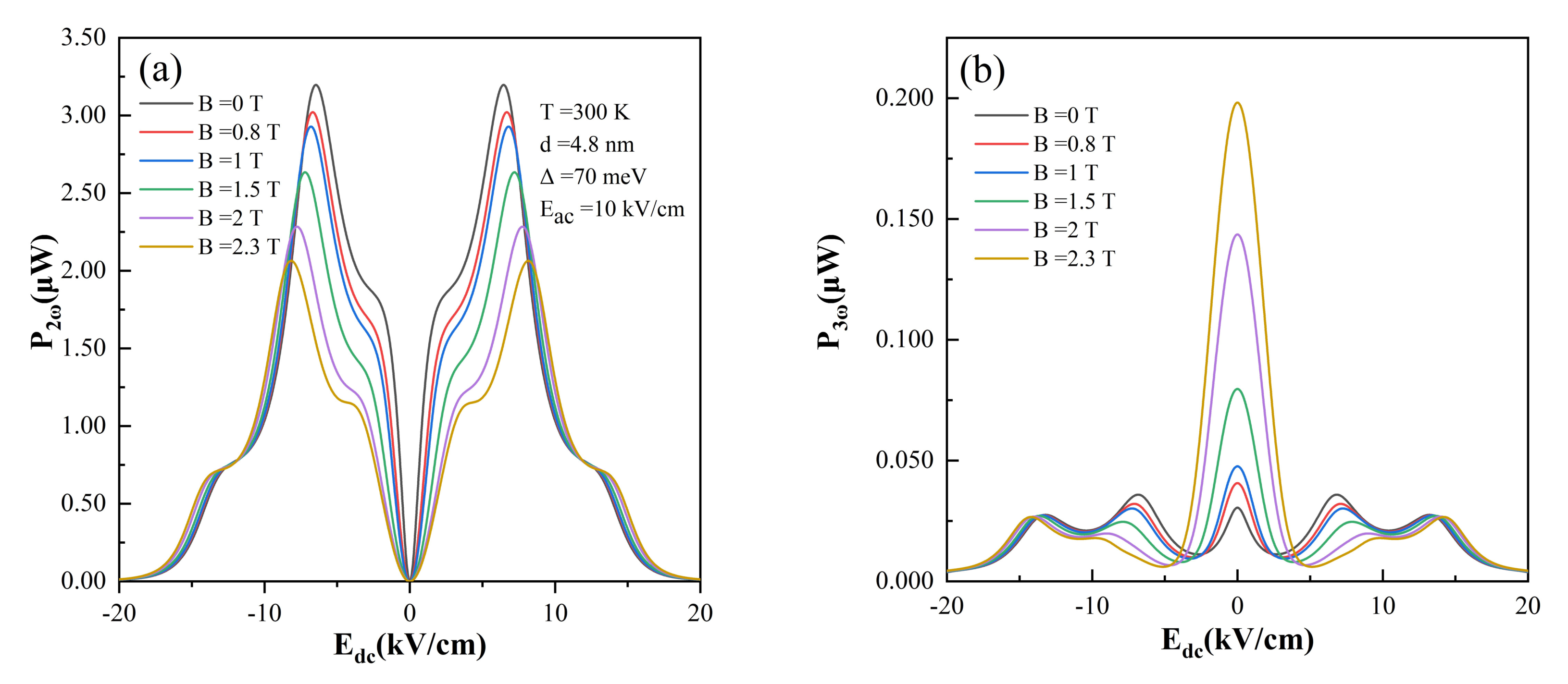
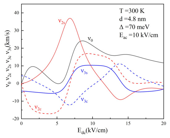
3. Performance Analysis of the Superlattice Terahertz Frequency Multiplier
4. Conclusions
Author Contributions
Funding
Institutional Review Board Statement
Informed Consent Statement
Data Availability Statement
Acknowledgments
Conflicts of Interest
References
- Esaki, L.; Tsu, R. Superlattice and negative differential conductivity in semiconductors. J. Res. Dev. 1970, 14, 61–65. [Google Scholar] [CrossRef]
- Lei, X.L. Current suppression and harmonic generation by intense terahertz fields in semiconductor superlattices. J. Appl. Phys. 1997, 82, 718–721. [Google Scholar] [CrossRef]
- Schomburg, E.; Ignatov, A.A.; Grenzer, J.; Renk, K.F.; Pavel’ev, D.G.; Koschurinov, Y.; Melzer, B.J.; Ivanov, S.; Schaposchnikov, S.; Kop’ev, P.S. Suppression of current through an Esaki–Tsu GaAs/AlAs superlattice by millimeter wave irradiation. Appl. Phys. Lett. 1996, 68, 1096–1098. [Google Scholar] [CrossRef]
- Hummel, A.B.; Blöser, C.; Bauer, T.; Roskos, H.G.; Kosevich, Y.A.; Kxoxhler, K. Electro-optic investigation of the Coherent Hall Effect in semiconductor superlattices. Phys. Status Solidi b 2005, 242, 1175–1178. [Google Scholar] [CrossRef]
- Soskin, S.M.; Khovanov, I.A.; McClintock, P.V.E. Regular rather than chaotic origin of the resonant transport in superlattices. Phys. Rev. Lett. 2015, 114, 166802. [Google Scholar] [CrossRef] [PubMed] [Green Version]
- Ying, L.; Huang, D.; Lai, Y.-C. Multistability, chaos, and random signal generation in semiconductor superlattices. Phys. Rev. E 2016, 93, 062204. [Google Scholar] [CrossRef] [Green Version]
- Shur, M. Recent developments in terahertz sensing technology. Proc. SPIE 2016, 9836, 98362Q. [Google Scholar] [CrossRef]
- Mekkalaki, A.; Kulkarni, M. Design of 16*16 high speed MLM using KOM for image filter application. In Proceedings of the 2016 International Conference on Electrical, Electronics, and Optimization Techniques (ICEEOT), Chennai, India, 3–5 March 2016; p. 3504. [Google Scholar]
- Sung, S.; Brown, E.R.; Grundfest, W.S.; Taylor, Z.D.; Selvin, S.; Bajwa, N.; Chantra, S.; Nowroozi, B.; Garritano, J.; Goell, J.; et al. THz Imaging System for in vivo Human Cornea. IEEE Trans. Terahertz Sci. Technol. 2018, 8, 27. [Google Scholar] [CrossRef]
- Qiu, F.C.; Tan, Z.Y.; Fu, Z.L.; Wan, W.J.; Li, M.Q.; Wang, C.; Cao, J.C. Reflective scanning imaging based on a fast terahertz photodetector. Opt. Commun. 2018, 427, 170–174. [Google Scholar] [CrossRef]
- Tessmann, A.; Schlechtweg, M.; Bruch, D.; Lewark, U.J.; Leuther, A.; Massler, H.; Wagner, S.; Seelmann-Eggebert, M.; Hurm, V.; Aidam, R.; et al. Terahertz monolithic integrated circuits based on metamorphic HEMT technology for sensors and communication. In Proceedings of the 2013 Asia-Pacific Microwave Conference Proceedings (APMC), Seoul, Korea, 5–8 November 2013. [Google Scholar]
- Wang, C.; Lu, B.; Miao, L.; Deng, X. 0.34 THz T/R front-end for wireless communication. High Power Laser Part. Beams 2013, 25, 1530–1534. [Google Scholar] [CrossRef]
- Zeng, H.; Liang, H.; Zhang, Y.; Wang, L.; Liang, S.; Gong, S.; Li, Z.; Yang, Z.; Zhang, X.; Lan, F.; et al. High-precision digital terahertz phase manipulation within a multichannel field perturbation coding chip. Nat. Photonics 2021, 15, 751–757. [Google Scholar] [CrossRef]
- Tonouchi, M. Cutting-edge terahertz technology. Nat. Photonics 2007, 1, 97–105. [Google Scholar] [CrossRef]
- Tunesi, J.; Peters, L.; Gongora, J.S.T.; Olivieri, L.; Fratalocchi, A.; Pasquazi, A.; Peccianti, M. Terahertz emission mediated by ultrafast time-varying metasurfaces. Phys. Rev. Res. 2021, 3, L042006. [Google Scholar] [CrossRef]
- Razavipour, S.G.; Dupont, E.; Fathololoumi, S.; Chan, C.W.I.; Lindskog, M.; Wasilewski, Z.R.; Aers, G.; Laframboise, S.R.; Wacker, A.; Hu, Q.; et al. An indirectly pumped terahertz quantum cascade laser with low injection coupling strength operating above 150 K. J. Appl. Phys. 2013, 113, 203107. [Google Scholar] [CrossRef]
- Agnew, G.; Grier, A.; Taimre, T.; Lim, Y.L.; Nikolić, M.; Valavanis, A.; Cooper, J.; Dean, P.; Khanna, S.P.; Lachab, M.; et al. Efficient prediction of terahertz quantum cascade laser dynamics from steady-state simulations. Appl. Phys. Lett. 2015, 16, 161105. [Google Scholar] [CrossRef] [Green Version]
- Wan, W.J.; Li, H.; Cao, J.C. Homogeneous spectral broadening of pulsed terahertz quantum cascade lasers by radio frequency modulation. Opt. Express 2018, 26, 980–989. [Google Scholar] [CrossRef]
- Qi, X.; Bertling, K.; Taimre, T.; Agnew, G.; Lim, Y.L.; Gillespie, T.; Robinson, A.; Brünig, M.; Demić, A.; Dean, P.; et al. Observation of optical feedback dynamics in single-mode terahertz quantum cascade lasers: Transient instabilities. Phys. Rev. A 2021, 103, 033504. [Google Scholar] [CrossRef]
- Khalatpour, A.; Paulsen, A.K.; Deimert, C.; Wasilewski, Z.R.; Hu, Q. High-power portable terahertz laser systems. Nat. Photonics 2021, 15, 16–20. [Google Scholar] [CrossRef]
- Grenzer, J.; Ignatov, A.A.; Schomburg, E.; Renk, K.F.; Pavel’ev, D.G.; Koschurinov, Y.; Melzer, B.; Ivanov, S.; Schaposchnikov, S.; Kop’ev, P.S. Microwave oscillator based on Bloch oscillations of electrons in a semiconductor superlattice. Ann. Phys. 1995, 507, 184–190. [Google Scholar] [CrossRef]
- Telenkov, M.P.; Mityagin, Y.A. Sequential resonant tunneling between landau levels in GaAs/AlGaAs superlattices in strong tilted magnetic and electric fields. Int. J. Mod. Phys. B 2007, 21, 1594–1599. [Google Scholar] [CrossRef]
- Gaifullin, M.B.; Alexeeva, N.V.; Hramov, A.E.; Makarov, V.V.; Maksimenko, V.A.; Koronovskii, A.A.; Greenaway, M.T.; Fromhold, T.M.; Patanè, A.; Mellor, C.J.; et al. Microwave generation in synchronized semiconductor superlattices. Phys. Rev. A 2017, 7, 044024. [Google Scholar] [CrossRef] [Green Version]
- Xia, J.B. Theory of terahertz-photocurrent resonances in miniband superlattices. Phys. Rev. B 1998, 58, 3565. [Google Scholar] [CrossRef] [Green Version]
- Winnerl, S.; Schomburg, E.; Brandl, S.; Kus, O.; Renk, K.F.; Wanke, M.C.; Allen, S.J.; Ignatov, A.A.; Ustinov, V.; Zhukov, A.; et al. Frequency doubling and tripling of terahertz radiation in a GaAs/AlAs superlattice due to frequency modulation of Bloch oscillations. Appl. Phys. Lett. 2000, 77, 1259–1261. [Google Scholar] [CrossRef]
- Pereira, M.F.; Zubelli, J.P.; Winge, D.; Wacker, A.; Rodrigues, A.S.; Anfertev, V.; Vaks, V. Theory and measurements of harmonic generation in semiconductor superlattices with applications in the 100 GHz to 1 THz range. Phys. Rev. B 2017, 96, 045306. [Google Scholar] [CrossRef] [Green Version]
- Apostolakis, A.; Pereira, M.F. Controlling the harmonic conversion efficiency in semiconductor superlattices by interface roughness design. AIP Adv. 2019, 9, 015022. [Google Scholar] [CrossRef] [Green Version]
- Pereira, M.F.; Anfertev, V.; Shevchenko, Y.; Vaks, V. Giant controllable gigahertz to terahertz nonlinearities in superlattices. Sci. Rep. 2020, 10, 15950. [Google Scholar] [CrossRef]
- Hyart, T.; Alekseev, K.N.; Leppänen, A.; Thuneberg, E.V. Terahertz Bloch oscillator with suppressed electric domains: Effect of elastic scattering. Int. J. Mod. Phys. B 2009, 23, 4459–4472. [Google Scholar] [CrossRef] [Green Version]
- Kroemer, H. Wave Packet Dynamics in a Biased Finite-Length Superlattice. arXiv 2003, arXiv:cond-mat/0310019. [Google Scholar]
- Ignatov, A.A.; Renk, K.F.; Dodin, E.P. Esaki-Tsu superlattice oscillator: Josephson-like dynamics of carriers. Phys. Rev. Lett. 1996, 70, 1996. [Google Scholar] [CrossRef]
- Lei, X.L.; Horing, N.J.M.; Cui, H.L. Microwave conductivity of a confined superlattice. Superlattices Microstruct. 1993, 14, 243. [Google Scholar] [CrossRef]
- Kosevich, Y.A. Anomalous Hall velocity, transient weak supercurrent, and coherent Meissner effect in semiconductor superlattices. Phys. Rev. B 2001, 63, 205313. [Google Scholar] [CrossRef]
- Cao, J.C.; Liu, H.C.; Lei, X.L. Chaotic dynamics in quantum-dot miniband superlattices. Phys. Rev. B 2000, 61, 5546. [Google Scholar] [CrossRef]





Publisher’s Note: MDPI stays neutral with regard to jurisdictional claims in published maps and institutional affiliations. |
© 2022 by the authors. Licensee MDPI, Basel, Switzerland. This article is an open access article distributed under the terms and conditions of the Creative Commons Attribution (CC BY) license (https://creativecommons.org/licenses/by/4.0/).
Share and Cite
Feng, W.; Wei, S.; Zheng, Y.; Wang, C.; Cao, J. Theoretical Analysis of Terahertz Frequency Multiplier Based on Semiconductor Superlattices. Nanomaterials 2022, 12, 1114. https://doi.org/10.3390/nano12071114
Feng W, Wei S, Zheng Y, Wang C, Cao J. Theoretical Analysis of Terahertz Frequency Multiplier Based on Semiconductor Superlattices. Nanomaterials. 2022; 12(7):1114. https://doi.org/10.3390/nano12071114
Chicago/Turabian StyleFeng, Wei, Shuting Wei, Yonghui Zheng, Chang Wang, and Juncheng Cao. 2022. "Theoretical Analysis of Terahertz Frequency Multiplier Based on Semiconductor Superlattices" Nanomaterials 12, no. 7: 1114. https://doi.org/10.3390/nano12071114
APA StyleFeng, W., Wei, S., Zheng, Y., Wang, C., & Cao, J. (2022). Theoretical Analysis of Terahertz Frequency Multiplier Based on Semiconductor Superlattices. Nanomaterials, 12(7), 1114. https://doi.org/10.3390/nano12071114

