Extremely Narrow and Actively Tunable Mie Surface Lattice Resonances in GeSbTe Metasurfaces: Study
Abstract
:1. Introduction
2. Design and Simulation Setups
3. Results and Discussion
3.1. Spectral and Field Characteristics of ED-SLRs
3.2. Effects of the Geometric Size
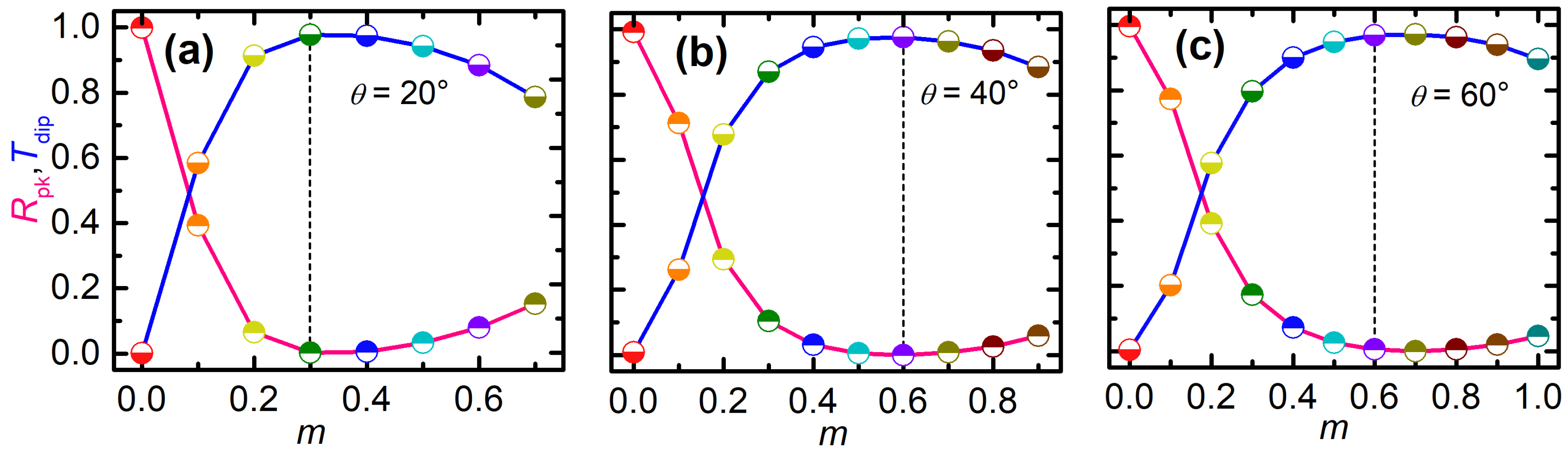
3.3. Large Spectral Tunability via Varying the Incidence Angle
3.4. Active Tuning via Changing the GST Crystalline
4. Conclusions
Author Contributions
Funding
Institutional Review Board Statement
Informed Consent Statement
Data Availability Statement
Conflicts of Interest
References
- Kravets, V.G.; Kabashin, A.V.; Barnes, W.L.; Grigorenko, A.N. Plasmonic surface lattice resonances: A review of properties and applications. Chem. Rev. 2018, 118, 5912–5951. [Google Scholar] [CrossRef] [PubMed]
- Utyushev, A.D.; Zakomirnyi, V.I.; Rasskazov, I.L. Collective lattice resonances: Plasmonics and beyond. Rev. Phys. 2021, 6, 100051. [Google Scholar] [CrossRef]
- Ross, M.B.; Mirkin, C.A.; Schatz, G.C. Optical properties of one-, two-, and three-dimensional arrays of plasmonic nanostructures. J. Phys. Chem. C 2016, 120, 816–830. [Google Scholar] [CrossRef]
- Wang, W.; Ramezani, M.; Väkeväinen, A.I.; Törmä, P.; Rivas, J.G.; Odom, T.W. The rich photonic world of plasmonic nanoparticle arrays. Mater. Today 2018, 21, 303–314. [Google Scholar] [CrossRef]
- Wang, D.; Guan, J.; Hu, J.; Bourgeois, M.R.; Odom, T.W. Manipulating light-matter interactions in plasmonic nanoparticle lattices. Acc. Chem. Res. 2019, 52, 2997–3007. [Google Scholar] [CrossRef] [PubMed]
- Evlyukhin, A.B.; Reinhardt, C.; Seidel, A.; Luk’yanchuk, B.S.; Chichkov, B.N. Optical response features of Si-nanoparticle arrays. Phys. Rev. B 2010, 82, 045404. [Google Scholar] [CrossRef] [Green Version]
- Tsoi, S.; Bezares, F.J.; Giles, A.; Long, J.P.; Glembocki, O.J.; Caldwell, J.D.; Owrutsky, J. Experimental demonstration of the optical lattice resonance in arrays of Si nanoresonators. Appl. Phys. Lett. 2016, 108, 111101. [Google Scholar] [CrossRef]
- Li, J.; Verellen, N.; Dorpe, P.V. Engineering electric and magnetic dipole coupling in arrays of dielectric nanoparticles. J. Appl. Lett. 2018, 123, 083101. [Google Scholar] [CrossRef]
- Castellanos, G.W.; Bai, P.; Rivasb, J.G. Lattice resonances in dielectric metasurfaces. J. Appl. Phys. 2019, 125, 213105. [Google Scholar] [CrossRef] [Green Version]
- Zakomirnyi, V.I.; Ershov, A.E.; Gerasimov, V.S.; Karpov, S.V.; Ågren, H.; Rasskazov, I.L. Collective lattice resonances in arrays of dielectric nanoparticles: A matter of size. Opt. Lett. 2019, 44, 5743–5746. [Google Scholar] [CrossRef]
- Utyushev, A.D.; Zakomirnyi, V.I.; Ershov, A.E.; Gerasimov, V.S.; Karpov, S.V.; Rasskazov, I.L. Collective lattice resonances in all-dielectric nanostructures under oblique incidence. Photonics 2020, 7, 24. [Google Scholar] [CrossRef] [Green Version]
- Babicheva, V.E.; Evlyukhin, A.B. Resonant lattice Kerker effect in metasurfaces With electric and magnetic optical responses. Laser Photonics Rev. 2017, 11, 1700132. [Google Scholar] [CrossRef] [Green Version]
- Babicheva, V.E.; Moloney, J.V. Lattice effect influence on the electric and magnetic dipole resonance overlap in a disk array. Nanophotonics 2018, 7, 1663–1668. [Google Scholar] [CrossRef] [Green Version]
- Babicheva, V.E.; Evlyukhin, A.B. Resonant suppression of light transmission in high-refractive-index nanoparticle metasurfaces. Opt. Lett. 2018, 43, 5186–5189. [Google Scholar] [CrossRef]
- Murai, S.; Castellanos, G.W.; Raziman, T.V.; Curto, A.G.; Rivas, J.G. Enhanced light emission by magnetic and electric resonances in dielectric metasurfaces. Adv. Opt. Mater. 2020, 8, 1902024. [Google Scholar] [CrossRef]
- Abdollahramezani, S.; Hemmatyar, O.; Taghinejad, H.; Krasnok, A.; Kiarashinejad, Y.; Zandehshahvar, M.; Alù, A.; Adibi, A. Tunable nanophotonics enabled by chalcogenide phase-change materials. Nanophotonics 2020, 9, 20200039. [Google Scholar] [CrossRef]
- Cheng, Z.; Milne, T.; Salter, P.; Kim, J.S.; Humphrey, S.; Booth, M.; Bhaskaran, H. Antimony thin films demonstrate programmable optical nonlinearity. Sci. Adv. 2021, 7, eabd7097. [Google Scholar] [CrossRef]
- Sreekanth, K.V.; Medwal, R.; Das, C.M.; Gupta, M.; Mishra, M.; Yong, K.T.; Rawat, R.S.; Singh, R. Electrically tunable all-PCM visible plasmonics. Nano Lett. 2021, 21, 4044–4050. [Google Scholar] [CrossRef]
- Delaney, M.; Zeimpekis, I.; Lawson, D.; Hewak, D.W.; Muskens, O.L. A new family of ultralow loss reversible phase-change materials for photonic integrated circuits: Sb2S3 and Sb2Se3. Adv. Funct. Mater. 2020, 30, 2002447. [Google Scholar] [CrossRef]
- Sreekanth, K.V.; Medwal, R.; Srivastava, Y.K.; Manjappa, M.; Rawat, R.S.; Singh, R. Dynamic color generation with electrically tunable thin film optical coatings. Nano Lett. 2021, 21, 10070–10075. [Google Scholar] [CrossRef]
- Wuttig, M.; Bhaskaran, H.; Taubner, T. Phase-change materials for non-volatile photonic applications. Nat. Photon. 2017, 11, 465–476. [Google Scholar] [CrossRef]
- Cao, T.; Cen, M. Fundamentals and applications of chalcogenide phase-change material photonics. Adv. Theory Simul. 2019, 2, 1900094. [Google Scholar] [CrossRef]
- Ding, F.; Yang, Y.; Bozhevolnyi, S.I. Dynamic metasurfaces using phase-change chalcogenides. Adv. Opt. Mater. 2019, 7, 1801709. [Google Scholar] [CrossRef] [Green Version]
- Wang, Y.; Zeng, S.; Crunteanu, A.; Xie, Z.; Humbert, G.; Ma, L.; Wei, Y.; Brunel, A.; Bessette, B.; Orlianges, J.C.; et al. Targeted sub-attomole cancer biomarker detection based on phase singularity 2D nanomaterial-enhanced plasmonic biosensor. Nano-Micro Lett. 2021, 13, 96. [Google Scholar] [CrossRef]
- Cao, T.; Zhang, L.; Simpson, R.E.; Cryan, M.J. Mid-infrared tunable polarization-independent perfect absorber using a phase-change metamaterial. J. Opt. Soc. Am. B 2013, 30, 1580–1585. [Google Scholar] [CrossRef]
- Cao, T.; Simpson, R.E.; Cryan, M.J. Study of tunable negative index metamaterials based on phase-change materials. J. Opt. Soc. Am. B 2013, 30, 439–444. [Google Scholar] [CrossRef]
- Tittl, A.; Michel, A.K.U.; Schäferling, M.; Yin, X.; Gholipour, B.; Cui, L.; Wuttig, M.; Taubner, T.; Neubrech, F.; Giessen, H. A switchable mid-infrared plasmonic perfect absorber with multispectral thermal imaging capability. Adv. Mater. 2015, 27, 4597–4603. [Google Scholar] [CrossRef]
- Wen, X.; Xiong, Q. A large scale perfect absorber and optical switch based on phase change material (Ge2Sb2Te5) thin film. Sci. China Mater. 2016, 59, 165–172. [Google Scholar] [CrossRef]
- Tian, X.; Xu, J.; Xu, K.; Ma, X.; Duan, X.; Yang, P.; Ding, P.; Li, Z.Y. Wavelength-selective, tunable and switchable plasmonic perfect absorbers based on phase change materials Ge2Sb2Te5. EPL 2019, 128, 67001. [Google Scholar] [CrossRef]
- Chen, Y.G.; Kao, T.S.; Ng, B.; Li, X.; Luo, X.G.; Luk’yanchuk, B.; Maier, S.A.; Hong, M.H. Hybrid phase-change plasmonic crystals for active tuning of lattice resonances. Opt. Express 2013, 21, 13691–13698. [Google Scholar] [CrossRef]
- Michel, A.K.U.; Chigrin, D.N.; Maß, T.W.W.; Schönauer, K.; Salinga, M.; Wuttig, M.; Taubner, T. Using low-loss phase-change materials for mid-infrared antenna resonance tuning. Nano Lett. 2013, 13, 3470–3475. [Google Scholar] [CrossRef] [PubMed]
- Shi, X.; Chen, C.; Liu, S.; Li, G. Nonvolatile, reconfigurable and narrowband mid-infrared filter based on surface lattice resonance in phase-change Ge2Sb2Te5. Nanomaterials 2020, 10, 2530. [Google Scholar] [CrossRef] [PubMed]
- Shi, X.; Chen, C.; Liu, S.; Li, G. Nonvolatile and reconfigurable tuning of surface lattice resonances using phase-change Ge2Sb2Te5 thin films. Results Phys. 2021, 22, 103897. [Google Scholar] [CrossRef]
- Rudé, M.; Mkhitaryan, V.; Cetin, A.E.; Miller, T.A.; Carrilero, A.; Wall, S.; de Abajo, F.J.G.; Altug, H.; Pruneri, V. Ultrafast and broadband tuning of resonant optical nanostructures using phase-change materials. Adv. Opt. Mater. 2016, 4, 1060–1066. [Google Scholar] [CrossRef] [Green Version]
- Trimby, L.; Wright, D.; Baldycheva, A. Phase-change band-pass filters for multispectral imaging. Proc. SPIE 2018, 10541, 105412B. [Google Scholar]
- Julian, M.N.; Williams, C.; Borg, S.; Bartram, S.; Kim, H.J. Reversible optical tuning of GeSbTe phase-change metasurface spectral filters for mid-wave infrared imaging. Optica 2020, 7, 746–754. [Google Scholar] [CrossRef]
- Zhou, K.; Cheng, Q.; Lu, L.; Li, B.; Song, J.; Si, M.; Luo, Z. Multichannel tunable narrowband mid-infrared optical filter based on phase-change material Ge2Sb2Te5 defect layers. Appl. Opt. 2020, 59, 595–600. [Google Scholar] [CrossRef]
- Williams, C.; Hong, N.; Julian, M.; Borg, S.; Kim, H.J. Tunable mid-wave infrared Fabry-Perot bandpass filters using phase-change GeSbTe. Opt. Express 2020, 28, 10583–10594. [Google Scholar] [CrossRef]
- Forouzmand, A.; Mosallaei, H. Dynamic beam control via Mie-resonance based phase-change metasurface: A theoretical investigation. Opt. Express 2018, 26, 17948–17963. [Google Scholar] [CrossRef]
- Ding, X.; Yang, X.; Wang, J.; Guo, K.; Shen, F.; Zhou, H.; Sun, R.; Ding, Z.; Gao, J.; Guo, Z. Theoretical analysis and simulation of a tunable mid-infrared filter based on Ge2Sb2Te5 (GST) metasurface. Superlattices Microstruct. 2019, 132, 106169. [Google Scholar] [CrossRef]
- Tian, J.; Luo, H.; Yang, Y.; Ding, F.; Qu, Y.; Zhao, D.; Qiu, M.; Bozhevolnyi, S.I. Active control of anapole states by structuring the phase-change alloy Ge2Sb2Te5. Nat. Commun. 2019, 10, 396. [Google Scholar] [CrossRef] [PubMed] [Green Version]
- de Galarreta, C.R.; Sinev, I.; Alexeev, A.M.; Trofimov, P.; Ladutenko, K.; Carrillo, S.G.C.; Gemo, E.; Baldycheva, A.; Bertolotti, J.; Wright, C.D. Reconfigurable multilevel control of hybrid all-dielectric phase-change metasurfaces. Optica 2020, 7, 476–484. [Google Scholar] [CrossRef]
- Zhang, Y.; Fowler, C.; Liang, J.; Azhar, B.; Shalaginov, M.Y.; Deckoff-Jones, S.; An, S.; Chou, J.B.; Roberts, C.M.; Liberman, V.; et al. Electrically reconfigurable non-volatile metasurface using low-loss optical phase-change material. Nat. Nanotechnol. 2021, 16, 661–666. [Google Scholar] [CrossRef] [PubMed]
- Wang, Y.; Wong, H.S.P.; Park, J.; Landreman, P.; Schoen, D.; Okabe, K.; Brongersma, M.L.; Marshall, A. Electrical tuning of phase-change antennas and metasurfaces. Nat. Nanotechnol. 2021, 16, 667–672. [Google Scholar] [CrossRef]
- Xiong, L.; Ding, H.; Lu, Y.; Li, G. Active tuning of resonant lattice Kerker effect. J. Phys. D Appl. Phys. 2022, 55, 185106. [Google Scholar] [CrossRef]
- Moharam, M.G.; Pommet, D.A.; Grann, E.B.; Gaylord, T.K. Stable implementation of the rigorous coupled-wave analysis for surface-relief gratings: Enhanced transmittance matrix approach. J. Opt. Soc. Am. A 1995, 12, 1077–1086. [Google Scholar] [CrossRef]
- Lalanne, P. Improved formulation of the coupled-wave method for two-dimensional gratings. J. Opt. Soc. Am. A 1997, 14, 1592–1598. [Google Scholar] [CrossRef] [Green Version]
- David, A.; Benisty, H. Fast factorization rule and plane-wave expansion method for two-dimensional photonic crystals with arbitrary hole-shape. Phys. Rev. B 2006, 73, 075107. [Google Scholar] [CrossRef]
- Chew, L.T.; Dong, W.; Liu, L.; Zhou, X.; Behera, J.; Liu, H.; Sreekanth, K.V.; Mao, L.; Cao, T.; Yang, J.; et al. Chalcogenide active photonics. Proc. SPIE 2017, 10345, 103451B. [Google Scholar]
- Le-Van, Q.; Zoethout, E.; Geluk, E.J.; Ramezani, M.; Berghuis, M.; Rivas, J.G. Enhanced quality factors of surface lattice resonances in plasmonic arrays of nanoparticles. Adv. Opt. Mater. 2019, 7, 1801451. [Google Scholar] [CrossRef]
- Fang, X.; Xiong, L.; Shi, J.; Li, G. High-Q quadrupolar plasmonic lattice resonances in horizontal metal–insulator–metal gratings. Opt. Lett. 2020, 46, 1546–1549. [Google Scholar] [CrossRef] [PubMed]








Publisher’s Note: MDPI stays neutral with regard to jurisdictional claims in published maps and institutional affiliations. |
© 2022 by the authors. Licensee MDPI, Basel, Switzerland. This article is an open access article distributed under the terms and conditions of the Creative Commons Attribution (CC BY) license (https://creativecommons.org/licenses/by/4.0/).
Share and Cite
Xiong, L.; Ding, H.; Lu, Y.; Li, G. Extremely Narrow and Actively Tunable Mie Surface Lattice Resonances in GeSbTe Metasurfaces: Study. Nanomaterials 2022, 12, 701. https://doi.org/10.3390/nano12040701
Xiong L, Ding H, Lu Y, Li G. Extremely Narrow and Actively Tunable Mie Surface Lattice Resonances in GeSbTe Metasurfaces: Study. Nanomaterials. 2022; 12(4):701. https://doi.org/10.3390/nano12040701
Chicago/Turabian StyleXiong, Lei, Hongwei Ding, Yuanfu Lu, and Guangyuan Li. 2022. "Extremely Narrow and Actively Tunable Mie Surface Lattice Resonances in GeSbTe Metasurfaces: Study" Nanomaterials 12, no. 4: 701. https://doi.org/10.3390/nano12040701
APA StyleXiong, L., Ding, H., Lu, Y., & Li, G. (2022). Extremely Narrow and Actively Tunable Mie Surface Lattice Resonances in GeSbTe Metasurfaces: Study. Nanomaterials, 12(4), 701. https://doi.org/10.3390/nano12040701

