Efficient Route for the Preparation of Composite Resin Incorporating Silver Nanoparticles with Enhanced Antibacterial Properties
Abstract
:1. Introduction
2. Materials and Methods
2.1. Materials
2.2. Synthesis of Ag NPs Coated Anion Exchange Resin Beads
2.3. Ag-Loaded Resins Characterization
2.4. Bactericidal Activity and Statistical Analysis
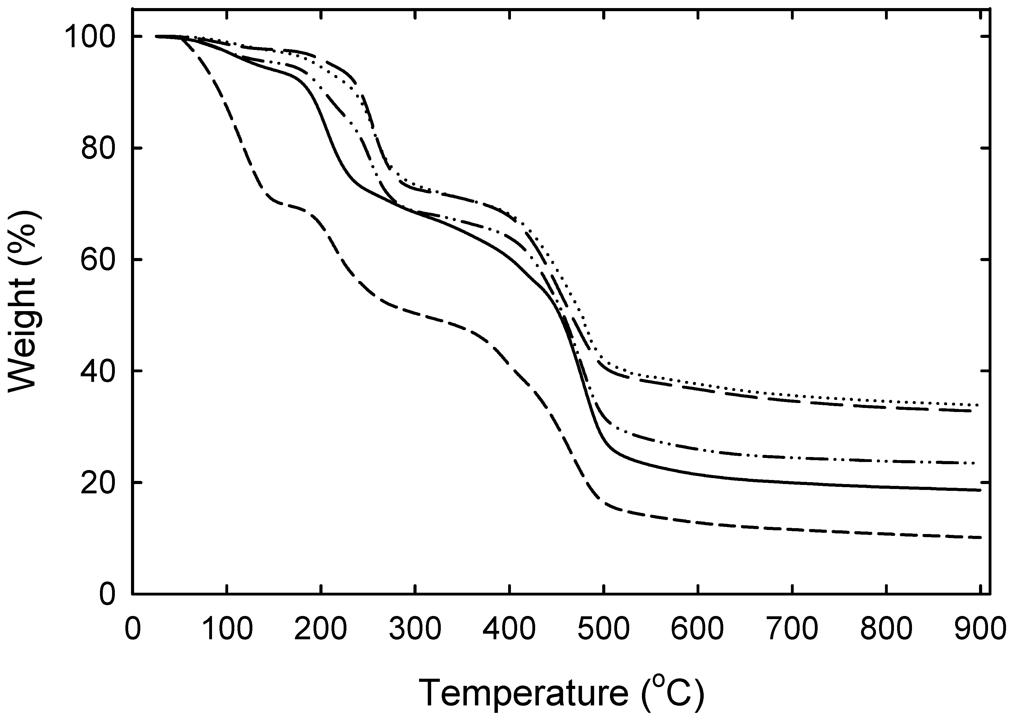
3. Results and Discussion
4. Summary
Author Contributions
Funding
Institutional Review Board Statement
Informed Consent Statement
Data Availability Statement
Acknowledgments
Conflicts of Interest
References
- Bürgers, R.; Eidt, A.; Frankenberger, R.; Rosentritt, M.; Schweikl, H.; Handel, G.; Hahnel, S. The anti-adherence activity and bactericidal effect of microparticulate silver additives in composite resin materials. Arch. Oral Biol. 2009, 54, 595–601. [Google Scholar] [CrossRef]
- Fan, C.; Chu, L.; Rawls, H.R.; Norling, B.K.; Cardenas, H.L.; Whang, K. Development of an antimicrobial resin—A pilot study. Dent. Mater. 2011, 27, 322–328. [Google Scholar] [CrossRef]
- Mpenyana-monyatsi, L.; Mthombeni, N.H.; Onyango, M.S. Cost-effective filter materials coated with silver nanoparticles for the removal of pathogenic bacteria in groundwater. Int. J. Environ. Res. Public Health 2012, 9, 244–271. [Google Scholar] [CrossRef]
- Kasraei, S.; Sami, L.; Hendi, S.; AliKhani, M.Y.; Rezaei-Soufi, L.; Khamverdi, Z. Antibacterial properties of composite resins incorporating silver and zinc oxide nanoparticles on streptococcus mutans and lactobacillus. Restor. Dent. Endod. 2014, 39, 109–114. [Google Scholar] [CrossRef] [Green Version]
- Nakao, Y.; Kaeriyama, K.J. Adsorption of surfactant-stabilized colloidal noble metals by ion-exchange resins and their catalytic activity for hydrogenation. Colloid Interface Sci. 1989, 131, 186–191. [Google Scholar] [CrossRef]
- Praharaj, S.; Nath, S.; Ghosh, S.K.; Kundu, S.; Pal, T. Immobilization and recovery of Au nanoparticles from anion exchange resin: Resin-bound nanoparticle matrix as a catalyst for the reduction of 4-nitrophenol. Langmuir 2004, 20, 9889–9892. [Google Scholar] [CrossRef]
- Liguori, S.; Coiai, E.; Passaglia, P. Barbaro, Metal nanoparticles immobilized on ion-exchange resins: A versatile and effective catalyst platform for sustainable chemistry. Chin. J. Catal. 2015, 36, 1157–1169. [Google Scholar] [CrossRef]
- Basu, M.; Pal, T. Metal and Metal Oxide Nanostructure on Resin Support. In Hybrid Nanomaterials: Synthesis, Characterization, and Applications; Chauhan, B.P.S., Ed.; John Wiley & Sons, Inc.: Hoboken, NJ, USA, 2011; pp. 23–63. [Google Scholar]
- McGuire, M.J.; Blute, N.K.; Seidel, C.; Qin, G.; Fong, L. Pilot-scale studies of hexavalent chromium removal from drinking water. J. -Am. Water Work. Assoc. 2006, 98, 134–143. [Google Scholar] [CrossRef]
- Hristovski, K.; Westerhoff, P.; Moller, T.; Sylvester, P.; Condit, W.; Mash, H. Simultaneous removal of perchlorate and arsenate by ion exchange media modified with nanostructured iron hydroxide. J. Hazard. Mater. 2008, 152, 397–406. [Google Scholar] [CrossRef]
- Fu, F.; Ma, J.; Xie, L.; Tang, B.; Han, W.; Lin, S. Chromium removal using resin supported nanoscale zero-valent iron. J. Environ. Manag. 2013, 128, 822–827. [Google Scholar] [CrossRef]
- Nath, S.; Ghosh, S.K.; Kundu, S.; Praharaj, S.; Panigrahi, S.; Basu, S.; Pal, T. A convenient approach to synthesize silver nanoshell covered functionalized polystyrene beads: A substrate for surface enhanced Raman scattering. Mater. Lett. 2005, 59, 3986–3989. [Google Scholar] [CrossRef]
- Sarkar, S.; Pande, S.; Jana, S.; Sinha, A.K.; Pradhan, M.; Basu, M.; Saha, S.; Yusuf, S.M.; Pal, T. Room temperature ferromagnetic Ni nanocrystals: An efficient transition metal platform for manifestation of surface-enhanced raman scattering. J. Phys. Chem. 2009, 113, 6022–6032. [Google Scholar] [CrossRef]
- Sarkar, S.; Guibal, E.; Quignard, F.; SenGupta, A.K. Polymer-supported metals and metal oxide nanoparticles: Synthesis, characterization, and applications. J. Nanopart. Res. 2012, 14, 715. [Google Scholar] [CrossRef]
- Domènech, B.; Bastos-Arrieta, J.; Alonso, A.; Macanás, J.; Muñoz, M.; Muraviev, D. Bifunctional Polymer Metal Nanocomposite Ion Exchange Materials. In Ion Exchange Technologies; Kilislioğlu, A., Ed.; IntechOpen: London, UK, 2012; pp. 35–72. [Google Scholar]
- Cheng, S.; Qian, J.; Zhang, X.; Lu, Z.; Pan, B. Commercial Gel-Type Ion Exchange Resin Enables Large-Scale Production of Ultrasmall Nanoparticles for Highly Efficient Water Decontamination. Engineering 2021, 50. [Google Scholar] [CrossRef]
- Durán, N.; Durán, M.; de Jesus, M.B.; Seabra, A.B.; Fávaro, W.J.; Nakazato, G. Silver nanoparticles: A new view on mechanistic aspects on antimicrobial activity. Nanomedicine 2016, 12, 789–799. [Google Scholar] [CrossRef]
- Linic, S.; Aslam, U.; Boerigter, C.; Morabito, M. Photochemical transformations on plasmonic metal nanoparticles. Nat. Mater. 2015, 14, 567–576. [Google Scholar] [CrossRef]
- Wang, Y.; Yan, B.; Chen, L. SERS tags: Novel optical nanoprobes for bioanalysis. Chem. Rev. 2013, 113, 1391–1428. [Google Scholar] [CrossRef]
- Slenters, T.V.; Hauser-Gerspach, I.; Daniels, A.U.; Fromm, K.M. Silver coordination compounds as light-stable, nanostructured and anti-bacterial coatings for dental implant and restorative materials. J. Mater. Chem. 2008, 18, 5359–5362. [Google Scholar] [CrossRef] [Green Version]
- Park, M.V.D.Z.; Neigh, A.M.; Vermeulen, J.P.; de la Fonteyne, L.J.J.; Verharen, H.W.; Briedé, J.J.; van Loveren, H.; de Jong, W.H. The Effect of Particle Size on the Cytotoxicity, Inflammation, Developmental Toxicity and Genotoxicity of Silver Nanoparticles. Biomaterials 2011, 32, 9810–9817. [Google Scholar] [CrossRef]
- Ferdous, Z.; Nemmar, A. Health Impact of Silver Nanoparticles: A Review of the Biodistribution and Toxicity Following Various Routes of Exposure. Int. J. Mol. Sci. 2020, 21, 2375. [Google Scholar] [CrossRef] [Green Version]
- Damm, C.; Münstedt, H.; Rösch, A. Long-term antimicrobial polyamide 6/silver-nanocomposites. J. Mater. Sci. 2007, 42, 6067–6073. [Google Scholar] [CrossRef]
- Dakal, T.C.; Kumar, A.; Majumdar, R.S.; Yadav, V. Mechanistic basis of antimicrobial actions of silver nanoparticles. Front. Microbiol. 2016, 7, 1831. [Google Scholar] [CrossRef] [PubMed] [Green Version]
- Jana, S.; Pande, S.; Panigrahi, S.; Praharaj, S.; Basu, S.; Pal, A.; Pal, T. Exploitation of electrostatic field force for immobilization and catalytic reduction of o-nitrobenzoic acid to anthranilic acid on resin-bound silver nanocomposites. Langmuir 2006, 22, 7091–7095. [Google Scholar] [CrossRef] [PubMed]
- Manikandan, S.; Majumdar, G.; Chowdhury, D.; Paul, A.; Chattopadhyay, A. Solid-state storage of Ag nanoparticles in anion exchange resin beads and their recovery. J. Colloid Interface Sci. 2006, 295, 148–154. [Google Scholar] [CrossRef] [PubMed]
- Purolite. The Storage, Transportation and Preconditioning of Ion Exchange Resins; Purolite Product Bulletin; Purolite: Bala Cynwyd, PA, USA, 2009; pp. 1–5. [Google Scholar]
- Klug, H.P.; Alexander, L.E. X-ray Diffraction Procedures; John Wiley and Sons: New York, NY, USA, 1959. [Google Scholar]
- Zar, J.H. Biostatistical Analysis, 4th ed.; Prentice Hall: Upper Saddle River, NJ, USA, 1999; p. 663. [Google Scholar]
- Strauss, R.E. Texas Tech University Department of Biological Sciences, Matlab Page. 2008. Available online: http://www.faculty.biol.ttu.edu/Strauss/Matlab/matlab.htm (accessed on 7 September 2012).
- Traboulsi, A.; Dupuy, N.; Rebufa, C.; Sergent, M.; Labed, V. Investigation of gamma radiation effect on the anion exchange resin Amberlite IRA-400 in hydroxide form by Fourier transformed infrared and 13C nuclear magnetic resonance spectroscopies. Anal. Chim. Acta 2012, 717, 110–121. [Google Scholar] [CrossRef] [PubMed]
- Bondarenko, O.; Ivask, A.; Käkinen, A.; Kurvet, I.; Kahru, A. Particle-cell contact enhances antibacterial activity of silver nanoparticles. PLoS ONE 2013, 8, e64060. [Google Scholar] [CrossRef] [Green Version]
- Sotiriou, G.A.; Pratsinis, S.E. Antibacterial activity of nanosilver ions and particles. Environ. Sci. Technol. 2010, 44, 5649–5654. [Google Scholar] [CrossRef]
- Lv, M.; Shao, S.; Yao, H.; Huang, Q.; Hu, W.; Li, D.; Fan, C.; Lee, S.T. Long-Term Antimicrobial Effect of Silicon Nanowires Decorated with Silver Nanoparticles. Adv. Mater. 2010, 22, 5463–5467. [Google Scholar] [CrossRef]
- Agnihotri, S.; Mukherji, S.; Mukherji, S. Immobilized silver nanoparticles enhance contact killing and show highest efficacy: Elucidation of the mechanism of bactericidal action of silver. Nanoscale 2013, 5, 7328–7340. [Google Scholar] [CrossRef] [Green Version]
- Kędziora, A.; Speruda, M.; Krzyżewska, E.; Rybka, J.; Łukowiak, A.; Bugla-Płoskońska, G. Similarities and Differences between Silver Ions and Silver in Nanoforms as Antibacterial Agents. Int. J. Mol. Sci. 2018, 19, 444. [Google Scholar] [CrossRef] [Green Version]
- Dacarro, G.; Cucca, L.; Grisoli, P.; Pallavicini, P.; Patrini, M.; Taglietti, A. Monolayers of polyethilenimine on flat glass: A versatile platform for cations coordination and nanoparticles grafting in the preparation of antibacterial surfaces. Dalton Trans. 2012, 41, 2456–2463. [Google Scholar] [CrossRef] [PubMed]
- Pallavicini, P.; Dacarro, G.; Diaz-Fernandez, Y.A.; Taglietti, A. Coordination chemistry of surface-grafted ligands for antibacterial materials. Coord. Chem. Rev. 2014, 275, 37–53. [Google Scholar] [CrossRef]







| Source | df 1 | SS 2 | MS 3 | F 4 | p 5 |
|---|---|---|---|---|---|
| Cell treatment | 2 | 2.24 × 1013 | 1.12 × 1013 | 24.96 | 6.45 × 10−6 |
| Exposure time | 2 | 2.70 × 1013 | 1.35 × 1013 | 30.2 | 1.77 × 10−6 |
| Treatment × exposure time interaction | 4 | 2.25 × 1013 | 5.63 × 1012 | 12.57 | 4.70 × 10−5 |
| Error | 18 | 8.06 × 1012 | 4.48 × 1011 | ||
| Total | 26 | 8.00 × 1013 |
| Pairwise Comparison | df 1 | t2 | p3,4 | |
|---|---|---|---|---|
| Control—60 min | Unloaded resin—60 min | 4 | 0.3024 | 0.7774 |
| Control—60 min | Ag loaded resin—60 min | 4 | −8.0398 | 0.0013 |
| Unloaded resin—60 min | Ag loaded resin—60 min | 4 | −6.1445 | 0.0036 |
| Control—120 min | Unloaded resin—120 min | 4 | −6.8356 | 0.0024 |
| Control—120 min | Ag loaded resin—120 min | 4 | −9.1848 | 0.0008 |
| Unloaded resin—120 min | Ag loaded resin—120 min | 4 | −17.5066 | 0.0001 |
| Control—180 min | Unloaded resin—180 min | 4 | −2.8244 | 0.0476 |
| Control—180 min | Ag loaded resin—180 min | 4 | −5.704 | 0.0047 |
| Unloaded resin—180 min | Ag loaded resin—180 min | 4 | −3.0061 | 0.0397 |
Publisher’s Note: MDPI stays neutral with regard to jurisdictional claims in published maps and institutional affiliations. |
© 2022 by the authors. Licensee MDPI, Basel, Switzerland. This article is an open access article distributed under the terms and conditions of the Creative Commons Attribution (CC BY) license (https://creativecommons.org/licenses/by/4.0/).
Share and Cite
Beery, D.; Mottaleb, M.A.; Meziani, M.J.; Campbell, J.; Miranda, I.P.; Bellamy, M. Efficient Route for the Preparation of Composite Resin Incorporating Silver Nanoparticles with Enhanced Antibacterial Properties. Nanomaterials 2022, 12, 471. https://doi.org/10.3390/nano12030471
Beery D, Mottaleb MA, Meziani MJ, Campbell J, Miranda IP, Bellamy M. Efficient Route for the Preparation of Composite Resin Incorporating Silver Nanoparticles with Enhanced Antibacterial Properties. Nanomaterials. 2022; 12(3):471. https://doi.org/10.3390/nano12030471
Chicago/Turabian StyleBeery, Drake, Mohammad Abdul Mottaleb, Mohammed J. Meziani, James Campbell, Isabella Pires Miranda, and Michael Bellamy. 2022. "Efficient Route for the Preparation of Composite Resin Incorporating Silver Nanoparticles with Enhanced Antibacterial Properties" Nanomaterials 12, no. 3: 471. https://doi.org/10.3390/nano12030471
APA StyleBeery, D., Mottaleb, M. A., Meziani, M. J., Campbell, J., Miranda, I. P., & Bellamy, M. (2022). Efficient Route for the Preparation of Composite Resin Incorporating Silver Nanoparticles with Enhanced Antibacterial Properties. Nanomaterials, 12(3), 471. https://doi.org/10.3390/nano12030471
