Friction and Wear in Nanoscratching of Single Crystals: Effect of Adhesion and Plasticity
Abstract
1. Introduction
2. Methodology and Model Description
3. Results and Analysis
3.1. Friction and Wear during Scratching
3.2. Effect of Interfacial Adhesion
3.2.1. Friction Coefficient
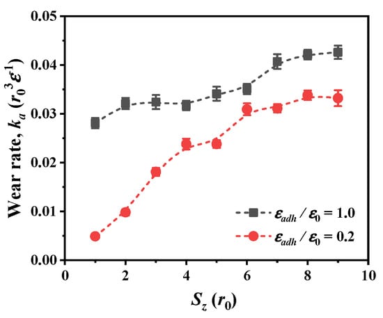
3.2.2. Wear Rate
3.3. Friction and Wear in Materials of Different Ductility
4. Summary and Conclusions
- (1)
- For shallow contact where the interfacial adhesion dominates the friction, there exists a critical adhesion ratio of ~0.6, below which the friction coefficient and wear rate increase as the adhesion increases, and above which the friction coefficient and wear rate remain relatively stable. For deep contact where dislocation plasticity prevails, the variation of the friction coefficient and wear rate is limited as the adhesion increases.
- (2)
- The friction coefficient exhibits different dependence on the scratch depth in situations with different adhesion. For strong adhesion, the friction coefficient is high in shallow contact and decreases at a deeper scratch depth, whereas for weak adhesion, the friction coefficient is lower in shallow contact. Meanwhile, the wear rate becomes higher as the scratch depth increases for both weak and strong adhesions.
- (3)
- As the material hardness increases, both the friction coefficient and wear rate decrease. For ductile materials, the normal force primarily affects the wear rate, and the variation of wear volume is limited. For relatively brittle materials, the increase of normal force and the reduction of wear volume lead to the decreased wear rate as the hardness increases.
Supplementary Materials
Author Contributions
Funding
Data Availability Statement
Conflicts of Interest
Appendix A
| Cut-Off Radius, | Potential Well | Young’s Modulus | Hardness |
|---|---|---|---|
| 1.22 | 1.0 | 150 | 12.2 |
| 1.26 | 1.0 | 150 | 10.4 |
| 1.30 | 1.0 | 150 | 9.6 |
| 1.38 | 1.0 | 150 | 7.8 |

References
- Bowden, F.P.; Tabor, D. The Friction and Lubrication of Solids; Oxford University Press: Oxford, UK, 1950. [Google Scholar]
- Archard, J.F. Contact and rubbing of flat surfaces. J. Appl. Phys. 1953, 24, 981–988. [Google Scholar] [CrossRef]
- Zhang, Y.S.; Han, Z.; Wang, K.; Lu, K. Friction and wear behaviors of nanocrystalline surface layer of pure copper. Wear 2006, 260, 942–948. [Google Scholar] [CrossRef]
- Stoyanov, P.; Dawag, L.; Goberman, D.G.; Shah, D. Friction and Wear Characteristics of Single Crystal Ni-Based Superalloys at Elevated Temperatures. Tribol. Lett. 2018, 66, 47. [Google Scholar] [CrossRef]
- Cho, D.H.; Jung, J.; Kim, C.; Lee, J.; Oh, S.D.; Kim, K.S.; Lee, C. Comparison of frictional properties of CVD-grown MoS(2) and graphene films under dry sliding conditions. Nanomaterials 2019, 9, 293. [Google Scholar] [CrossRef] [PubMed]
- Chen, X.; Han, Z.; Lu, K. Friction and wear reduction in copper with a gradient nano-grained surface layer. ACS Appl. Mater. Interfaces 2018, 10, 13829–13838. [Google Scholar] [CrossRef]
- Liu, Y.; Yu, B.; Cao, Z.; Shi, P.; Zhou, N.; Zhang, B.; Zhang, J.; Qian, L. Probing superlubricity stability of hydrogenated diamond-like carbon film by varying sliding velocity. Appl. Surf. Sci. 2018, 439, 976–982. [Google Scholar] [CrossRef]
- Zelentsov, V.B.; Lapina, P.A.; Mitrin, B.I. Wear of functionally graded coatings under frictional heating conditions. Nanomaterials 2021, 12, 142. [Google Scholar] [CrossRef]
- Chowdhury, M.A.; Khalil, M.K.; Nuruzzaman, D.M.; Rahaman, M.L. The effect of sliding speed and normal load on friction and wear property of aluminum. Int. J. Mech. Mechatron. Eng. 2011, 11, 45–49. [Google Scholar]
- Rigaud, E.; le Bot, A. Influence of incidence angle on wear induced by sliding impacts. Wear 2013, 307, 68–74. [Google Scholar] [CrossRef]
- Tarasov, S.Y.; Lychagin, D.V.; Chumaevskii, A.V. Orientation dependence of subsurface deformation in dry sliding wear of Cu single crystals. Appl. Surf. Sci. 2013, 274, 22–26. [Google Scholar] [CrossRef]
- Zeng, G.; Sun, W.; Song, R.; Tansu, N.; Krick, B.A. Crystal orientation dependence of gallium nitride wear. Sci. Rep. 2017, 7, 14126. [Google Scholar] [CrossRef] [PubMed]
- Wang, S.Q.; Wang, L.; Zhao, Y.T.; Sun, Y.; Yang, Z.R. Mild-to-severe wear transition and transition region of oxidative wear in steels. Wear 2013, 306, 311–320. [Google Scholar] [CrossRef]
- Zheng, Z.; Liu, J.; Tao, J.; Li, J.; Zhang, W.; Li, X.; Xue, H. Effect of electroless coatings on the mechanical properties and wear behavior of oriented multiwall carbon nanotube-reinforced copper matrix composites. Nanomaterials 2021, 11, 2982. [Google Scholar] [CrossRef] [PubMed]
- Zhou, J.; Zhang, L.; Ding, Y.; Chen, X.; Cai, Z. Impact fretting wear of MoS2/C nanocomposite coating with different carbon contents under cycling low kinetic energy. Nanomaterials 2021, 11, 2205. [Google Scholar] [CrossRef] [PubMed]
- Tong, R.; Quan, Z.; Zhao, Y.; Han, B.; Liu, G. Influence of nanoscale textured surfaces and subsurface defects on friction behaviors by molecular dynamics simulation. Nanomaterials 2019, 9, 1617. [Google Scholar] [CrossRef]
- Alves-Lopes, I.; Almeida, A.; Oliveira, V.; Vilar, R. Influence of femtosecond laser surface nanotexturing on the friction behavior of silicon sliding against PTFE. Nanomaterials 2019, 9, 1237. [Google Scholar] [CrossRef]
- Krause, H. Tribochemical reactions in the friction and wearing process of iron. Wear 1971, 18, 403–412. [Google Scholar] [CrossRef]
- Li, A.; Liu, Y.; Szlufarska, I. Effects of interfacial bonding on friction and wear at silica/silica interfaces. Tribol. Lett. 2014, 56, 481–490. [Google Scholar] [CrossRef]
- Luan, B.; Robbins, M.O. Friction and Plasticity in Contacts Between Amorphous Solids. Tribol. Lett. 2021, 69, 51. [Google Scholar] [CrossRef]
- Wang, J.; Li, L.; Wang, J.; Yang, W.; Guo, P.; Li, M.; Liu, D.; Zeng, H.; Zhao, B. First-principles study on the nanofriction properties of diamane: The thinnest diamond film. Nanomaterials 2022, 12, 2939. [Google Scholar] [CrossRef]
- Shi, X.; Zou, Y.; Fang, H. Numerical investigation of the three-dimensional elastic–plastic sloped contact between two hemispheric asperities. J. Appl. Mech. 2016, 83, 101004. [Google Scholar] [CrossRef]
- Song, H.; Dikken, R.J.; Nicola, L.; Giessen, V.D.E. Plastic ploughing of a sinusoidal asperity on a rough surface. J. Appl. Mech. 2015, 82, 071006. [Google Scholar] [CrossRef]
- Aghababaei, R.; Warner, D.H.; Molinari, J.F. Critical length scale controls adhesive wear mechanisms. Nat. Commun. 2016, 7, 11816. [Google Scholar] [CrossRef] [PubMed]
- Aghababaei, R. On the origins of third-body particle formation during adhesive wear. Wear 2019, 426–427, 1076–1081. [Google Scholar] [CrossRef]
- Zhao, K.; Aghababaei, R. Interfacial plasticity controls material removal rate during adhesive sliding contact. Phys. Rev. Mater. 2020, 4, 103605. [Google Scholar] [CrossRef]
- Zhao, K.; Aghababaei, R. Adhesive wear law at the single asperity level. J. Mech. Phys. Solids 2020, 143, 104069. [Google Scholar] [CrossRef]
- Hu, J.; Song, H.; Sandfeld, S.; Liu, X.; Wei, Y. Multiscale study of the dynamic friction coefficient due to asperity plowing. Friction 2021, 9, 822–839. [Google Scholar] [CrossRef]
- Plimpton, S. Fast parallel algorithms for short-range molecular dynamics. J. Comput. Phys. 1995, 117, 1–19. [Google Scholar] [CrossRef]
- Luan, B.; Robbins, M.O. The breakdown of continuum models for mechanical contacts. Nature 2005, 435, 929–932. [Google Scholar] [CrossRef]
- Schneider, T.; Stoll, E. Molecular-dynamics study of a three-dimensional one-component model for distortive phase transitions. Phys. Rev. B 1978, 17, 1302–1322. [Google Scholar] [CrossRef]
- Bhushan, B. Nanotribology and Nanomechanics: An Introduction; Springer: Berlin/Heidelberg, Germany, 2008. [Google Scholar]
- Junge, T.; Molinari, J.-F. Plastic activity in nanoscratch molecular dynamics simulations of pure aluminium. Int. J. Plast. 2014, 53, 90–106. [Google Scholar] [CrossRef]
- Doan, D.-Q.; Fang, T.-H.; Chen, T.-H. Effects of grain and twin boundary on friction and contact characteristics of CuZrAl nanocrystallines. Appl. Surf. Sci. 2020, 524, 146458. [Google Scholar] [CrossRef]
- Liu, M. Influence of Sample Tilt and Applied Load on Microscratch Behavior of Copper Under a Spherical Diamond Indenter. Tribol. Lett. 2021, 69, 88. [Google Scholar] [CrossRef]
- AlMotasem, A.T.; Bergström, J.; Gåård, A.; Krakhmalev, P.; Holleboom, L.J. Atomistic Insights on the Wear/Friction Behavior of Nanocrystalline Ferrite During Nanoscratching as Revealed by Molecular Dynamics. Tribol. Lett. 2017, 65, 101. [Google Scholar] [CrossRef]
- Zhu, P.; Li, R.; Gong, H. Molecular dynamics simulation of nanoscale abrasive wear of polycrystalline silicon. Crystals 2018, 8, 463. [Google Scholar] [CrossRef]
- Zhu, P.; Hu, Y.; Ma, T.; Wang, H. Molecular dynamics study on friction due to ploughing and adhesion in nanometric scratching process. Tribol. Lett. 2011, 41, 41–46. [Google Scholar] [CrossRef]
- Stukowski, A.; Albe, K. Extracting dislocations and non-dislocation crystal defects from atomistic simulation data. Model. Simul. Mater. Sci. Eng. 2010, 18, 085001. [Google Scholar] [CrossRef]
- Stukowski, A. Visualization and analysis of atomistic simulation data with OVITO–the open visualization tool. Model. Simul. Mater. Sci. Eng. 2010, 18, 015012. [Google Scholar] [CrossRef]
- Zhu, P.; Hu, Y.; Ma, T.; Wang, H. Study of AFM-based nanometric cutting process using molecular dynamics. Appl. Surf. Sci. 2010, 256, 7160–7165. [Google Scholar] [CrossRef]
- Wang, G.; Zhao, G.; Song, J.; Ding, Q. Study on the tribological properties of copper coated by graphene and h-BN from the atomic scale. Appl. Surf. Sci. 2022, 573, 151548. [Google Scholar] [CrossRef]
- Alhafez, I.A.; Urbassek, H.M. Influence of tip adhesion on nanoindentation and scratching. Model. Simul. Mater. Sci. Eng. 2019, 27, 065014. [Google Scholar] [CrossRef]
- Song, H.; Deshpande, V.S.; van der Giessen, E. Discrete dislocation plasticity analysis of loading rate-dependent static friction. Proc. R. Soc. A: Math. Phys. Eng. Sci. 2016, 472, 20150877. [Google Scholar] [CrossRef] [PubMed]
- Deng, Y.; Chen, Y.; Liu, H.; Yan, X. The effects of the temperature and termination(-O) on the friction and adhesion properties of MXenes using molecular dynamics simulation. Nanomaterials 2022, 12, 798. [Google Scholar] [CrossRef] [PubMed]
- Li, A.; Szlufarska, I. How grain size controls friction and wear in nanocrystalline metals. Phys. Rev. B 2015, 92, 075418. [Google Scholar] [CrossRef]
- Shi, J.; Chen, J.; Fang, L.; Sun, K.; Sun, J.; Han, J. Atomistic scale nanoscratching behavior of monocrystalline Cu influenced by water film in CMP process. Appl. Surf. Sci. 2018, 435, 983–992. [Google Scholar] [CrossRef]
- Gao, Y.; Ruestes, C.J.; Urbassek, H.M. Nanoindentation and nanoscratching of iron: Atomistic simulation of dislocation generation and reactions. Comput. Mater. Sci. 2014, 90, 232–240. [Google Scholar] [CrossRef]
- Hu, J.; Liu, X.; Wei, Y. Effect of plasticity and adhesion on the stick-slip transition at nanoscale friction. Tribol. Int. 2021, 164, 107230. [Google Scholar] [CrossRef]
- Zhang, H.; Liu, S.; Xiao, H. Sliding friction of shale rock on dry quartz sand particles. Friction 2018, 7, 307–315. [Google Scholar] [CrossRef]
- Ma, L.; Aghababaei, R. On the Effect of Adhesive Strength and Scratching Depth on Material Transfer During Nanoscale Scratching. Tribol. Lett. 2022, 70, 26. [Google Scholar] [CrossRef]
- Kong, L.; Zhu, S.; Qiao, Z.; Yang, J.; Bi, Q.; Liu, W. Effect of Mo and Ag on the friction and wear behavior of ZrO2 (Y2O3)–Ag–CaF2–Mo composites from 20 °C to 1000 °C. Tribol. Int. 2014, 78, 7–13. [Google Scholar] [CrossRef]
- Kumar, D.; Jain, J.; Gosvami, N.N. Anisotropy in Nanoscale Friction and Wear of Precipitate Containing AZ91 Magnesium Alloy. Tribol. Lett. 2019, 67, 44. [Google Scholar] [CrossRef]
- Behrens, B.A.; Poll, G.; Mohwald, K.; Scholer, S.; Pape, F.; Konopka, D.; Brunotte, K.; Wester, H.; Richter, S.; Heimes, N. Characterization and modeling of nano wear for molybdenum-based lubrication layer systems. Nanomaterials 2021, 11, 1363. [Google Scholar] [CrossRef] [PubMed]
- Gao, Y.; Urbassek, H.M. Scratching of nanocrystalline metals: A molecular dynamics study of Fe. Appl. Surface Sci. 2016, 389, 688–695. [Google Scholar] [CrossRef]
- Li, J.; Fang, Q.; Liu, Y.; Zhang, L. Scratching of copper with rough surfaces conducted by diamond tip simulated using molecular dynamics. Int. J. Adv. Manuf. Technol. 2014, 77, 1057–1070. [Google Scholar] [CrossRef]









| Parameters | Values/Expression |
|---|---|
| Tip radius | R = 15a, a = |
| Substrate size | lx = 120a, ly = 120a, lz = 60a |
| Initial position of tip | lx1 = 40a, ly1 = 60a |
| Time step (t0) | 0.002 |
| Temperature (ε/kB) | 0.1 |
| Scratch velocity (r0/t0) | 0.05 |
| Scratch depth (r0) | 1.0~9.0 |
| Scratch direction | [100] on (001) surface |
Publisher’s Note: MDPI stays neutral with regard to jurisdictional claims in published maps and institutional affiliations. |
© 2022 by the authors. Licensee MDPI, Basel, Switzerland. This article is an open access article distributed under the terms and conditions of the Creative Commons Attribution (CC BY) license (https://creativecommons.org/licenses/by/4.0/).
Share and Cite
Hu, J.; Zeng, Q. Friction and Wear in Nanoscratching of Single Crystals: Effect of Adhesion and Plasticity. Nanomaterials 2022, 12, 4191. https://doi.org/10.3390/nano12234191
Hu J, Zeng Q. Friction and Wear in Nanoscratching of Single Crystals: Effect of Adhesion and Plasticity. Nanomaterials. 2022; 12(23):4191. https://doi.org/10.3390/nano12234191
Chicago/Turabian StyleHu, Jianqiao, and Qinglei Zeng. 2022. "Friction and Wear in Nanoscratching of Single Crystals: Effect of Adhesion and Plasticity" Nanomaterials 12, no. 23: 4191. https://doi.org/10.3390/nano12234191
APA StyleHu, J., & Zeng, Q. (2022). Friction and Wear in Nanoscratching of Single Crystals: Effect of Adhesion and Plasticity. Nanomaterials, 12(23), 4191. https://doi.org/10.3390/nano12234191

