Influence of Extrusion Temperature on Properties of Graphene Oxide-Carbon Fiber/Epoxy Composite Prepared by Vacuum Infiltration Hot-Press-Forming Experimental System
Abstract
1. Introduction
2. Materials and Methods
2.1. Experimental Materials
2.2. Vacuum Infiltration Hot-Press-Forming Process
2.2.1. Preparation of Curing Mixed Solution
2.2.2. Preparation Process of GO-CF/EP Composites
2.3. Testing and Characterization
3. Results and Discussion
3.1. Characterization of GO
3.2. Infiltration Structure of GO-CF/EP Composites
3.3. Bending Properties of GO-CF/EP Composites
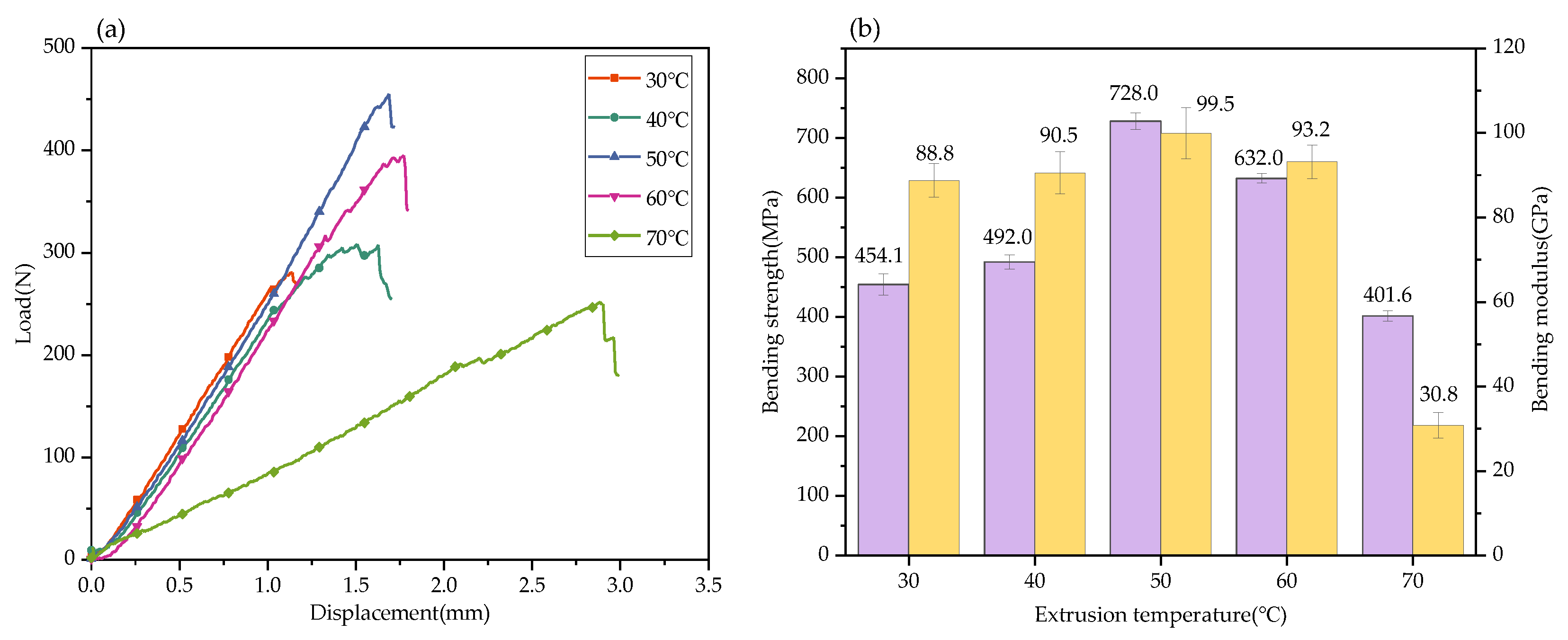
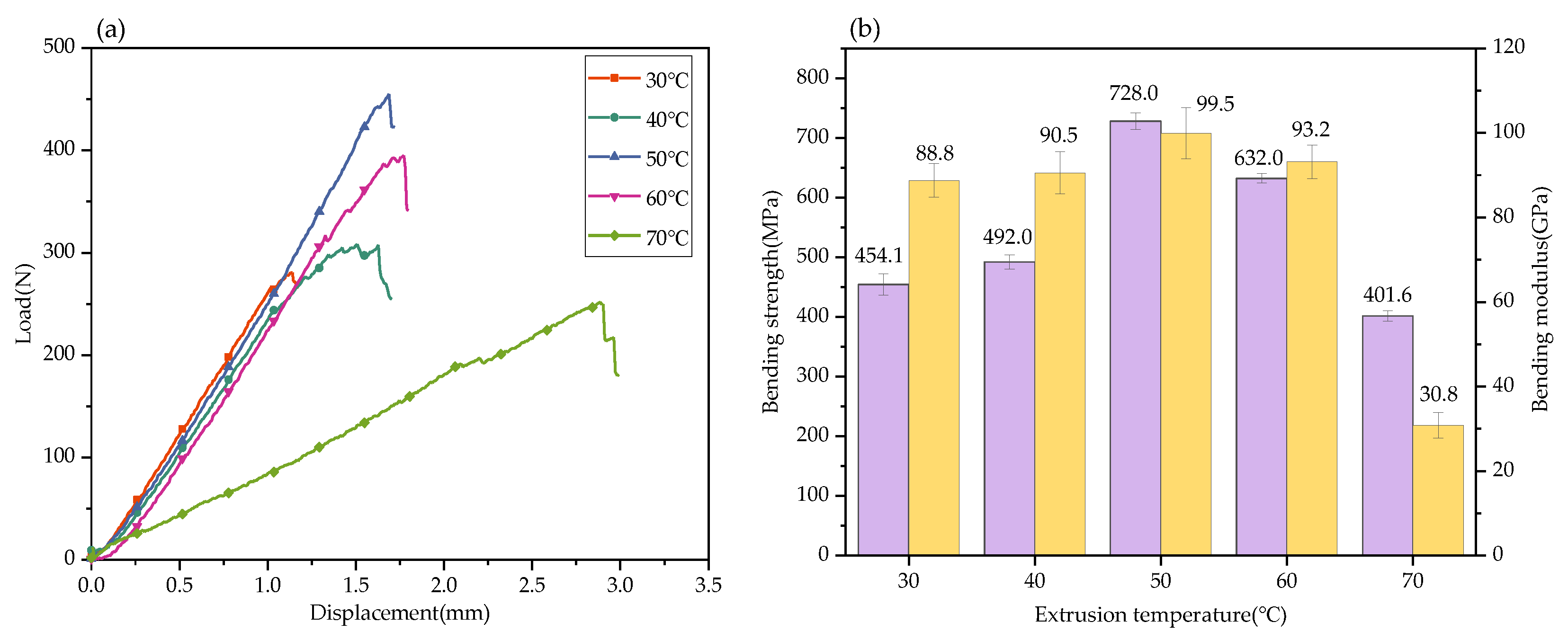
3.3.1. Bending Strength and Modulus of GO-CF/EP Composites
3.3.2. Fracture Microstructure and Mechanism of GO-CF/EP Composites
4. Conclusions
Author Contributions
Funding
Conflicts of Interest
References
- Pumera, M. Electrochemistry of graphene, graphene oxide and other graphenoids: Review. Electrochem. Commun. 2013, 36, 14–18. [Google Scholar] [CrossRef]
- Heo, Y.; Im, H.; Kim, J.; Kim, J. The influence of Al(OH)3-coated graphene oxide on improved thermal conductivity and maintained electrical resistivity of Al2O3/epoxy composites. J. Nanopart. Res. 2012, 14, 1196. [Google Scholar] [CrossRef]
- Suner, S.; Joffe, R.; Tipper, J.L.; Emami, N. Ultra high molecular weight polyethylene/graphene oxide nanocomposites: Thermal, mechanical and wettability characterisation. Compos. Part B Eng. 2015, 78, 185–191. [Google Scholar] [CrossRef]
- Lee, Y.H.; Polavarapu, L.; Gao, N.Y.; Yuan, P.Y.; Xu, Q.H. Enhanced optical properties of graphene oxide-Au nanocrystal composites. Langmuir 2012, 28, 321–326. [Google Scholar] [CrossRef] [PubMed]
- Chen, J.; Zhao, D.; Ge, H.Y.; Wang, J. Graphene oxide-deposited carbon fiber/cement composites for electromagnetic interferenceshielding application. Constr. Build. Mater. 2015, 84, 66–72. [Google Scholar] [CrossRef]
- Qin, W.Z.; Chen, C.; Zhou, J.P.; Meng, J.Y. Synergistic effects of graphene/carbon nanotubes hybrid coating on the interfacial and mechanical properties of fiber composites. Materials 2020, 13, 1457. [Google Scholar] [CrossRef]
- Srivastava, A.K.; Gupta, V.; Yerramalli, C.S.; Singh, A. Flexural strength enhancement in carbon-fiber epoxy composites through graphene nano-platelets coating on fibers. Compos. Part B-Eng. 2019, 179, 107539. [Google Scholar] [CrossRef]
- Stankovich, S.; Richard, D.P.; Nguyen, S.T.; Ruoff, R.S.; Rodney, S. Synthesis and exfoliation of isocyanate-treated graphene oxide nanoplatelets. Carbon 2006, 44, 3342–3347. [Google Scholar] [CrossRef]
- Xiao, P.; Xiao, M.; Liu, P.G.; Gong, K.C. Direct synthesis of a polyaniline-intercalated graphite oxide nanocomposite. Carbon 2000, 38, 626–628. [Google Scholar] [CrossRef]
- Szabo, T.; Szeri, A.; Dekany, I. Composite graphitic nanolayers prepared by self-assembly between finely dispersed graphite oxide and a cationic polymer. Carbon 2005, 43, 87–94. [Google Scholar] [CrossRef]
- Matsuo, Y.; Tahara, K.; Sugie, Y. Structure and thermal properties of poly (ethylene oxide)-intercalated graphite oxide. Carbon 1997, 35, 113–120. [Google Scholar] [CrossRef]
- Ren, J.J.; Chen, L.; Liu, Z.Q.; Song, Q.H.; Liu, C.Z. Study on the heat transfer reinforcement of glass fiber/epoxy resin composites by grafting and dispersing graphene oxide. Compos. Sci. Technol. 2021, 216, 109039. [Google Scholar] [CrossRef]
- Paredes, J.I.; Villar-Rodil, S.; Martinez-Alonso, A.; Tascon, J.M.D. Graphene oxide dispersions in organic solvents. Langmuir 2008, 24, 10560–10564. [Google Scholar] [CrossRef] [PubMed]
- Li, M.; Gu, Y.Z.; Liu, Y.N.; Li, Y.X.; Zhang, Z.G. Interfacial improvement of carbon fiber/epoxy composites using a simple process for depositing commercially functionalized carbon nanotubes on the fibers. Carbon 2013, 52, 109–121. [Google Scholar] [CrossRef]
- Guo, J.M.; Wang, Z.Q.; Tong, L.Y.; Lv, H.Q.; Liang, W.Y. Shape memory and thermo-mechanical properties of shape memory polymer/carbon fiber composites. Compos. Part A Appl. Sci. Manuf. 2015, 76, 162–171. [Google Scholar] [CrossRef]
- Li, F.F.; Scarpa, F.; Lan, X.; Liu, L.W.; Liu, Y.J.; Leng, J.S. Bending shape recovery of unidirectional carbon fiber reinforced epoxy-based shape memory polymer composites. Compos. Part A Appl. Sci. Manuf. 2019, 116, 169–179. [Google Scholar] [CrossRef]
- Boss, J.N.; Ganesh, V.K. Fabrication and properties of graded composite rods for biomedical applications. Compos. Struct. 2006, 74, 289–293. [Google Scholar] [CrossRef]
- Zhang, J.W.; Ju, S.; Jiang, D.Z.; Peng, H.X. Reducing dispersity of mechanical properties of carbon fiber/epoxy composites by introducing multi-walled carbon nanotubes. Compos. Part B-Eng. 2013, 54, 371–376. [Google Scholar] [CrossRef]
- Ma, Y.Q.; Zhao, Y.T.; Zhang, Y.; Wang, J.; Chen, Y.; Li, K.F.; Ju, L.Y.; Yu, Y. Influence of infiltration pressure on the microstructure and properties of 2D-CFRP prepared by the vacuum infiltration hot pressing molding process. Polymers 2019, 11, 2014. [Google Scholar] [CrossRef]
- Yousefi, A.M.; Love, B.J. Probing the temperature sensitivity of induction time in latent cure epoxy resins. Polym. Int. 2013, 62, 1451–1456. [Google Scholar] [CrossRef][Green Version]
- Fard, R.R.; Akhlaghi, F. Effect of extrusion temperature on the microstructure and porosity of A356-SiCp composites. J. Mater. Processing Technol. 2007, 187, 433–436. [Google Scholar] [CrossRef]
- Wang, X.J.; Nie, K.B.; Hu, X.S.; Wang, Y.Q.; Sa, X.J.; Wu, K. Effect of extrusion temperatures on microstructure and mechanical properties of SiCp/Mg–Zn–Ca composite. J. Alloy. Compd. 2012, 532, 78–85. [Google Scholar] [CrossRef]
- Shao, P.Z.; Chen, G.Q.; Ju, B.Y.; Yang, W.S.; Zhang, Q.; Wang, Z.J.; Tan, X.; Pei, Y.Y.; Zhong, S.J.; Hussain, M. Effect of hot extrusion temperature on graphene nanoplatelets reinforced Al6061 composite fabricated by pressure infiltration method. Carbon 2020, 162, 455–464. [Google Scholar] [CrossRef]
- Ma, Y.Q.; Qi, L.H. Effect of extrusion temperature on the microstructure and tensile property of 2D-Cf/Al composites by liquid extrusion infiltration. Int. J. Adv. Manuf. Technol. 2018, 94, 1349–1355. [Google Scholar] [CrossRef]
- Ma, Y.Q.; Wang, J.; Zhao, Y.T.; Wei, X.L.; Ju, L.Y.; Chen, Y. A new vacuum pressure infiltration CFRP method and preparation experimental study of composite. Polymers 2020, 12, 419. [Google Scholar] [CrossRef]
- Pathak, A.K.; Borah, M.; Gupta, A.; Yolcozeki, T.; Dhakatr, S.R. Improved mechanical properties of carbon fiber/graphene oxide-epoxy hybrid composites. Compos. Sci. Technol. 2016, 135, 28–38. [Google Scholar] [CrossRef]
- Ye, J.J.; Wang, Y.W.; Li, Z.W.; Saafi, M.; Jia, F.; Huang, B.; Ye, J.Q. Failure analysis of fiber-reinforced composites subjected to coupled thermo-mechanical loading. Compos. Struct. 2020, 235, 111756. [Google Scholar] [CrossRef]
- Tian, Y.; Zhang, H.; Zhang, Z. Influence of nanoparticles on the interfacial properties of fiber-reinforced-epoxy composites. Compos. Part A-Appl. Sci. Manuf. 2017, 98, 1–8. [Google Scholar] [CrossRef]
- Jiang, N.; Li, D.S.; Yao, Q.Q.; Jiang, L. Influence of Temperature on the Bending Properties and Failure Mechanism of 3D Needle-punched Carbon/Epoxy Composites. Fibers Polym. 2017, 18, 313–321. [Google Scholar] [CrossRef]
- Mostovoy, A.; Yakovlev, A.; Tseluikin, V.; Lopukhova, M. Epoxy Nanocomposites Reinforced with Functionalized Carbon Nanotubes. Polymers 2020, 12, 1816. [Google Scholar] [CrossRef]
- Guo, Z.S.; Du, S.Y.; Zhang, B.M.; Wu, Z.J.; Li, F. Curekinetics and chemo rheological behavior of epoxy resin used in advanced composites. Acta Mater. Compos. Sin. 2004, 21, 146–151. [Google Scholar]
- Ye, J.J.; Cai, H.; Liu, L.; Zhai, Z.; Amaechi, C.V.; Wang, Y.K.; Wan, L.; Yang, D.M.; Chen, X.F.; Ye, J.Q. Microscale intrinsic properties of hybrid unidirectional/woven composite laminates: Part Ⅰ experimental tests. Compos. Struct. 2020, 262, 113369. [Google Scholar] [CrossRef]











Publisher’s Note: MDPI stays neutral with regard to jurisdictional claims in published maps and institutional affiliations. |
© 2022 by the authors. Licensee MDPI, Basel, Switzerland. This article is an open access article distributed under the terms and conditions of the Creative Commons Attribution (CC BY) license (https://creativecommons.org/licenses/by/4.0/).
Share and Cite
Ma, Y.; Li, F.; Xu, W.; Zhang, Y.; Xu, Y.; Guo, H.; Li, Y. Influence of Extrusion Temperature on Properties of Graphene Oxide-Carbon Fiber/Epoxy Composite Prepared by Vacuum Infiltration Hot-Press-Forming Experimental System. Nanomaterials 2022, 12, 3839. https://doi.org/10.3390/nano12213839
Ma Y, Li F, Xu W, Zhang Y, Xu Y, Guo H, Li Y. Influence of Extrusion Temperature on Properties of Graphene Oxide-Carbon Fiber/Epoxy Composite Prepared by Vacuum Infiltration Hot-Press-Forming Experimental System. Nanomaterials. 2022; 12(21):3839. https://doi.org/10.3390/nano12213839
Chicago/Turabian StyleMa, Yuqin, Fei Li, Wei Xu, Yuyang Zhang, Yi Xu, Haiyin Guo, and Yatao Li. 2022. "Influence of Extrusion Temperature on Properties of Graphene Oxide-Carbon Fiber/Epoxy Composite Prepared by Vacuum Infiltration Hot-Press-Forming Experimental System" Nanomaterials 12, no. 21: 3839. https://doi.org/10.3390/nano12213839
APA StyleMa, Y., Li, F., Xu, W., Zhang, Y., Xu, Y., Guo, H., & Li, Y. (2022). Influence of Extrusion Temperature on Properties of Graphene Oxide-Carbon Fiber/Epoxy Composite Prepared by Vacuum Infiltration Hot-Press-Forming Experimental System. Nanomaterials, 12(21), 3839. https://doi.org/10.3390/nano12213839

