Tailorable Electronic and Electric Properties of Graphene with Selective Decoration of Silver Nanoparticles by Laser-Assisted Photoreduction
Abstract
1. Introduction
2. Materials and Methods
2.1. Nanoparticle Synthesis and Characterization
- (1)
- ,
- (2)
- ,
- (3)
- , and
- (4)
- .
2.2. Field-Effect-Transistor Device Fabrication and Characterization
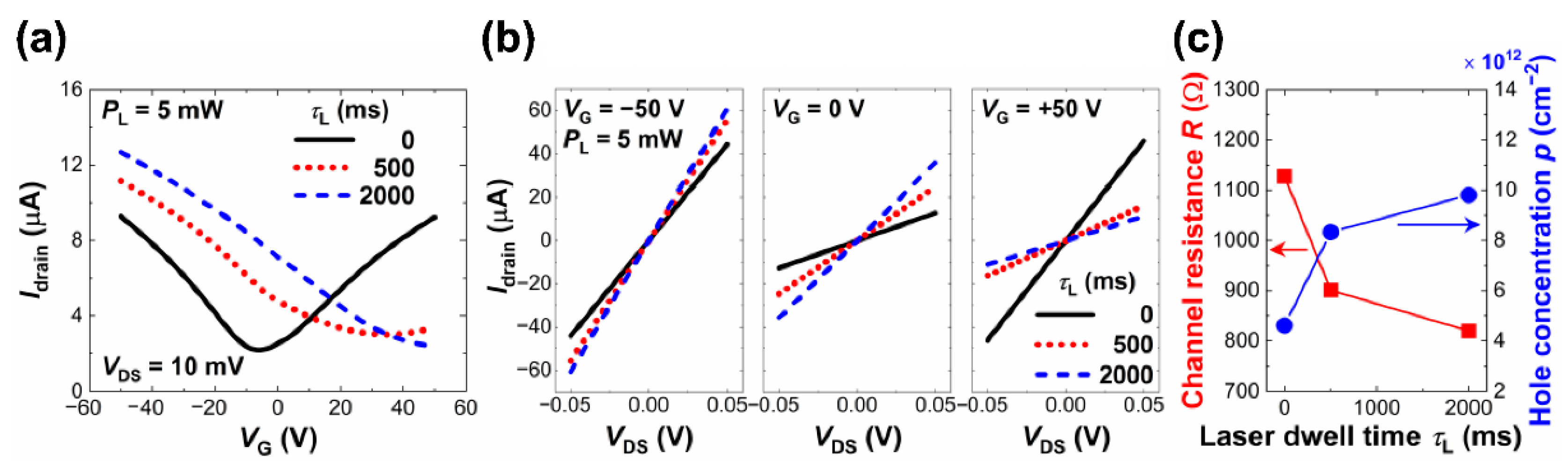
3. Results and Discussion
4. Conclusions
Supplementary Materials
Author Contributions
Funding
Data Availability Statement
Acknowledgments
Conflicts of Interest
References
- Zhang, Y.; Tan, Y.; Stormer, H.L.; Kim, P. Experimental observation of the quantum Hall effect and Berry’s phase in graphene. Nature 2005, 438, 201–204. [Google Scholar] [CrossRef]
- Bolotin, K.I.; Sikes, K.J.; Jiang, Z.; Klima, M.; Fudenberg, G.; Hone, J.; Kim, P.; Stormer, H.L. Ultrahigh electron mobility in suspended graphene. Solid State Commun. 2008, 146, 351–355. [Google Scholar] [CrossRef]
- Bunch, J.S.; Verbridge, S.S.; Alden, J.S.; van der Zande, A.M.; Parpia, J.M.; Craighead, H.G.; McEuen, P.L. Impermeable Atomic Membranes from Graphene Sheets. Nano Lett. 2008, 8, 2458–2462. [Google Scholar] [CrossRef] [PubMed]
- Lee, C.; Wei, X.; Kysar, J.W.; Hone, J. Measurement of the Elastic Properties and Intrinsic Strength of Monolayer Graphene. Science 2008, 321, 385–388. [Google Scholar] [CrossRef] [PubMed]
- Mak, K.F.; Sfeir, M.Y.; Wu, Y.; Lui, C.H.; Misewich, J.A.; Heinz, T.F. Measurement of the Optical Conductivity of Graphene. Phys. Rev. Lett. 2008, 101, 196405. [Google Scholar] [CrossRef] [PubMed]
- Bonaccorso, F.; Sun, Z.; Hasan, T.; Ferrari, A.C. Graphene photonics and optoelectronics. Nat. Photonics 2010, 4, 611–622. [Google Scholar] [CrossRef]
- Dean, C.R.; Young, A.F.; Meric, I.; Lee, C.; Wang, L.; Sorgenfrei, S.; Watanabe, K.; Taniguchi, T.; Kim, P.; Shepard, K.L.; et al. Boron nitride substrates for high-quality graphene electronics. Nat. Nanotechnol. 2010, 5, 722–726. [Google Scholar] [CrossRef]
- Schwierz, F. Graphene transistors. Nat. Nanotechnol. 2010, 5, 487–496. [Google Scholar] [CrossRef]
- Krishna, K.N.I.; Devi, K.M.; Roy Chowdhury, D. Graphene and metal hybridized terahertz metasurfaces toward tunable plasmon-induced transparency effects. Curr. Appl. Phys. 2022, 39, 158–165. [Google Scholar] [CrossRef]
- Stoller, M.D.; Park, S.; Zhu, Y.; An, J.; Ruoff, R.S. Graphene-Based Ultracapacitors. Nano Lett. 2008, 8, 3498–3502. [Google Scholar] [CrossRef]
- Kim, K.S.; Zhao, Y.; Jang, H.; Lee, S.Y.; Kim, J.M.; Kim, K.S.; Ahn, J.; Kim, P.; Choi, J.; Hong, B.H. Large-scale pattern growth of graphene films for stretchable transparent electrodes. Nature 2009, 457, 706–710. [Google Scholar] [CrossRef] [PubMed]
- Shi, J.; Chen, L.; Yang, M.; Mi, Z.; Zhang, M.; Gao, K.; Zhang, D.; Su, S.; Hou, W. Interface contact and modulated electronic properties by external vertical strains and electric fields in graphene/MoS2 heterostructure. Curr. Appl. Phys. 2022, 39, 331–338. [Google Scholar] [CrossRef]
- Rho, Y.; Lee, K.; Wang, L.; Ko, C.; Chen, Y.; Ci, P.; Pei, J.; Zettl, A.; Wu, J.; Grigoropoulos, C.P. A laser-assisted chlorination process for reversible writing of doping patterns in graphene. Nat. Electron. 2022, 5, 505–510. [Google Scholar] [CrossRef]
- Li, X.; Wang, H.; Robinson, J.T.; Sanchez, H.; Diankov, G.; Dai, H. Simultaneous Nitrogen Doping and Reduction of Graphene Oxide. J. Am. Chem. Soc. 2009, 131, 15939–15944. [Google Scholar] [CrossRef]
- Liu, H.; Liu, Y.; Zhu, D. Chemical doping of graphene. J. Mater. Chem. 2011, 21, 3335–3345. [Google Scholar] [CrossRef]
- Jang, A.; Jeon, E.K.; Kang, D.; Kim, G.; Kim, B.; Kang, D.J.; Shin, H.S. Reversibly Light-Modulated Dirac Point of Graphene Functionalized with Spiropyran. ACS Nano 2012, 6, 9207–9213. [Google Scholar] [CrossRef] [PubMed]
- Kim, S.; Zhao, P.; Aikawa, S.; Einarsson, E.; Chiashi, S.; Maruyama, S. Highly Stable and Tunable n-Type Graphene Field-Effect Transistors with Poly(vinyl alcohol) Films. ACS Appl. Mater. Interfaces 2015, 7, 9702–9708. [Google Scholar] [CrossRef]
- Guo, B.; Liu, Q.; Chen, E.; Zhu, H.; Fang, L.; Gong, J.R. Controllable N-doping of graphene. Nano Lett. 2010, 10, 4975–4980. [Google Scholar] [CrossRef]
- Mamiyev, Z.; Tegenkamp, C. Sn intercalation into the BL/SiC(0001) interface: A detailed SPA-LEED investigation. Surf. Interfaces 2022, 34, 102304. [Google Scholar] [CrossRef]
- Karakachian, H.; Rosenzweig, P.; Nguyen, T.T.N.; Matta, B.; Zakharov, A.A.; Yakimova, R.; Balasubramanian, T.; Mamiyev, Z.; Tegenkamp, C.; Polley, C.M.; et al. Periodic Nanoarray of Graphene pn-Junctions on Silicon Carbide Obtained by Hydrogen Intercalation. Adv. Funct. Mater. 2022, 32, 2109839. [Google Scholar] [CrossRef]
- Lee, J.; Novoselov, K.S.; Shin, H.S. Interaction between Metal and Graphene: Dependence on the Layer Number of Graphene. ACS Nano 2011, 5, 608–612. [Google Scholar] [CrossRef] [PubMed]
- Xu, Z.; Gao, H.; Guoxin, H. Solution-based synthesis and characterization of a silver nanoparticle–graphene hybrid film. Carbon 2011, 49, 4731–4738. [Google Scholar] [CrossRef]
- Shenashen, M.A.; El-Safty, S.; Elshehy, E.A. Synthesis, Morphological Control, and Properties of Silver Nanoparticles in Potential Applications. Part. Part. Syst. Charact. 2014, 31, 293–316. [Google Scholar] [CrossRef]
- Zhang, Z.; Shen, W.; Xue, J.; Liu, Y.; Liu, Y.; Yan, P.; Liu, J.; Tang, J. Recent advances in synthetic methods and applications of silver nanostructures. Nanoscale Res. Lett. 2018, 13, 54. [Google Scholar] [CrossRef] [PubMed]
- Lu, C.; Chen, X. Silver decorated graphene nanocomposites toward electrochemical energy storage. Chem. Phys. Lett. 2021, 771, 138534. [Google Scholar] [CrossRef]
- Xu, G.; Lu, R.; Liu, J.; Chiu, H.; Hui, R.; Wu, J.Z. Photodetection Based on Ionic Liquid Gated Plasmonic Ag Nanoparticle/Graphene Nanohybrid Field Effect Transistors. Adv. Opt. Mater. 2014, 2, 729–736. [Google Scholar] [CrossRef]
- Lee, M.; Lee, K.; Kim, S.; Lee, H.; Park, J.; Choi, K.; Kim, H.; Kim, D.; Lee, D.; Nam, S.; et al. High-Performance, Transparent, and Stretchable Electrodes Using Graphene–Metal Nanowire Hybrid Structures. Nano Lett. 2013, 13, 2814–2821. [Google Scholar] [CrossRef]
- Kim, S.; Jeong, H.; Choi, S.; Park, J. Electrical Conductivity Measurement of Transparent Conductive Films Based on Carbon Nanoparticles. Coatings 2019, 9, 499. [Google Scholar] [CrossRef]
- Wu, T.; Shen, H.; Sun, L.; Cheng, B.; Liu, B.; Shen, J. Facile Synthesis of Ag Interlayer Doped Graphene by Chemical Vapor Deposition Using Polystyrene As Solid Carbon Source. ACS Appl. Mater. Interfaces 2012, 4, 2041–2047. [Google Scholar] [CrossRef]
- You, Z.; Qiu, Q.; Chen, H.; Feng, Y.; Wang, X.; Wang, Y.; Ying, Y. Laser-induced noble metal nanoparticle-graphene composites enabled flexible biosensor for pathogen detection. Biosens. Bioelectron. 2020, 150, 111896. [Google Scholar] [CrossRef]
- Chung, M.G.; Kim, D.; Seo, D.K.; Kim, T.; Im, H.U.; Lee, H.M.; Yoo, J.; Hong, S.; Kang, T.J.; Kim, Y.H. Flexible hydrogen sensors using graphene with palladium nanoparticle decoration. Sens. Actuators B 2012, 169, 387–392. [Google Scholar] [CrossRef]
- Xiao, F.; Song, J.; Gao, H.; Zan, X.; Xu, R.; Duan, H. Coating Graphene Paper with 2D-Assembly of Electrocatalytic Nanoparticles: A Modular Approach toward High-Performance Flexible Electrodes. ACS Nano 2012, 6, 100–110. [Google Scholar] [CrossRef]
- Li, L.; An, B.; Lahiri, A.; Wang, P.; Fang, Y. Doublet of D and 2D bands in graphene deposited with Ag nanoparticles by surface enhanced Raman spectroscopy. Carbon 2013, 65, 359–364. [Google Scholar] [CrossRef]
- Cortijo-Campos, S.; Ramírez-Jiménez, R.; Climent-Pascual, E.; Aguilar-Pujol, M.; Jiménez-Villacorta, F.; Martínez, L.; Jiménez-Riobóo, R.; Prieto, C.; de Andrés, A. Raman amplification in the ultra-small limit of Ag nanoparticles on SiO2 and graphene: Size and inter-particle distance effects. Mater. Des. 2020, 192, 108702. [Google Scholar] [CrossRef] [PubMed]
- Lee, Y.; Kim, E.; Park, Y.; Kim, J.; Ryu, W.; Rho, J.; Kim, K. Photodeposited metal-semiconductor nanocomposites and their applications. J. Materiomics 2018, 4, 83–94. [Google Scholar] [CrossRef]
- Kim, E.; Ko, C.; Kim, K.; Chen, Y.; Suh, J.; Ryu, S.; Wu, K.; Meng, X.; Suslu, A.; Tongay, S.; et al. Site Selective Doping of Ultrathin Metal Dichalcogenides by Laser-Assisted Reaction. Adv. Mater. 2016, 28, 341–346. [Google Scholar] [CrossRef]
- Cao, Y.; Gu, M. λ/26 silver nanodots fabricated by direct laser writing through highly sensitive two-photon photoreduction. Appl. Phys. Lett. 2013, 103, 213104. [Google Scholar] [CrossRef]
- Samavat, F.; Rahman, J.J. Preparation of silver thin films, and the study of the annealing effects on their structures and optical properties. Surf. Topogr. Metrol. Prop. 2015, 3, 045003. [Google Scholar] [CrossRef]
- Daeneke, T.; Carey, B.J.; Chrimes, A.F.; Ou, J.Z.; Lau, D.W.M.; Gibson, B.C.; Bhaskaran, M.; Kalantar-zadeh, K. Light driven growth of silver nanoplatelets on 2D MoS2 nanosheet templates. J. Mater. Chem. C 2015, 3, 4771–4778. [Google Scholar] [CrossRef]
- Skogerboe, R.K.; Wilson, S. Reduction of ionic species by fulvic acid. Anal. Chem. 1981, 53, 228–232. [Google Scholar] [CrossRef]
- Yu, Y.; Zhao, Y.; Ryu, S.; Brus, L.E.; Kim, K.S.; Kim, P. Tuning the Graphene Work Function by Electric Field Effect. Nano Lett. 2009, 9, 3430–3434. [Google Scholar] [CrossRef] [PubMed]
- Beranek, R. (Photo)electrochemical Methods for the Determination of the Band Edge Positions of TiO2-Based Nanomaterials. Adv. Phys. Chem. 2012, 2011, 786759. [Google Scholar] [CrossRef]
- Zhuang, H.L.; Hennig, R.G. Single-Layer Group-III Monochalcogenide Photocatalysts for Water Splitting. Chem. Mater. 2013, 25, 3232–3238. [Google Scholar] [CrossRef]
- Ferrari, A.C. Raman spectroscopy of graphene and graphite: Disorder, electron–phonon coupling, doping and nonadiabatic effects. Solid State Commun. 2007, 143, 47–57. [Google Scholar] [CrossRef]
- Das, A.; Pisana, S.; Chakraborty, B.; Piscanec, S.; Saha, S.K.; Waghmare, U.V.; Novoselov, K.S.; Krishnamurthy, H.R.; Geim, A.K.; Ferrari, A.C. Monitoring dopants by Raman scattering in an electrochemically top-gated graphene transistor. Nat. Nanotechnol. 2008, 3, 210–215. [Google Scholar] [CrossRef]
- Wang, Q.; Li, Y.; Bai, B.; Mao, W.; Wang, Z.; Ren, N. Effects of silicon dioxide surface roughness on Raman characteristics and mechanical properties of graphene. RSC Adv. 2014, 4, 55087–55093. [Google Scholar] [CrossRef]
- Fregonese, S.; Potereau, M.; Deltimple, N.; Maneux, C.; Zimmer, T. Benchmarking of GFET devices for amplifier application using multiscale simulation approach. J. Comput. Electron. 2013, 12, 692–700. [Google Scholar] [CrossRef]
- Béraud, A.; Sauvage, M.; Bazán, C.M.; Tie, M.; Bencherif, A.; Bouilly, D. Graphene field-effect transistors as bioanalytical sensors: Design, operation and performance. Analyst 2021, 146, 403–428. [Google Scholar] [CrossRef]
- Yang, X.; Vorobiev, A.; Yang, J.; Jeppson, K.; Stake, J. A Linear-Array of 300-GHz Antenna Integrated GFET Detectors on a Flexible Substrate. IEEE Trans. Terahertz Sci. Technol. 2020, 10, 554–557. [Google Scholar] [CrossRef]
- Magdassi, S.; Grouchko, M.; Berezin, O.; Kamyshny, A. Triggering the Sintering of Silver Nanoparticles at Room Temperature. ACS Nano 2010, 4, 1943–1948. [Google Scholar] [CrossRef]
- Gangwar, M.S.; Agarwal, P. Effect of the annealing temperature on the growth of the silver nanoparticles synthesized by physical route. AIP Conf. Proc. 2021, 2369, 020100. [Google Scholar] [CrossRef]
- Sachtler, W.M.H.; Dorgelo, G.J.H.; Holscher, A.A. The work function of gold. Surf. Sci. 1966, 5, 221–229. [Google Scholar] [CrossRef]
- Chelvayohan, M.; Mee, C.H.B. Work function measurements on (110), (100) and (111) surfaces of silver. J. Phys. C 1982, 15, 2305–2312. [Google Scholar] [CrossRef]
- Takahashi, T.; Tokailin, H.; Sagawa, T. Angle-resolved ultraviolet photoelectron spectroscopy of the unoccupied band structure of graphite. Phys. Rev. B 1985, 32, 8317–8324. [Google Scholar] [CrossRef]
- Pi, K.; McCreary, K.M.; Bao, W.; Han, W.; Chiang, Y.F.; Li, Y.; Tsai, S.-W.; Lau, C.N.; Kawakami, R.K. Electronic doping and scattering by transition metals on graphene. Phys. Rev. B 2009, 80, 075406. [Google Scholar] [CrossRef]
- Yan, R.; Zhang, Q.; Li, W.; Calizo, I.; Shen, T.; Richter, C.A.; Hight-Walker, A.R.; Liang, X.; Seabaugh, A.; Jena, D.; et al. Determination of graphene work function and graphene-insulator-semiconductor band alignment by internal photoemission spectroscopy. Appl. Phys. Lett. 2012, 101, 022105. [Google Scholar] [CrossRef]
- Maiti, R.; Haldar, S.; Majumdar, D.; Singha, A.; Ray, S.K. Hybrid opto-chemical doping in Ag nanoparticle-decorated monolayer graphene grown by chemical vapor deposition probed by Raman spectroscopy. Nanotechnology 2017, 28, 075707. [Google Scholar] [CrossRef]
- Kim, K.; Lee, H.; Johnson, R.W.; Tanskanen, J.T.; Liu, N.; Kim, M.; Pang, C.; Ahn, C.; Bent, S.F.; Bao, Z. Selective metal deposition at graphene line defects by atomic layer deposition. Nat. Commun. 2014, 5, 4781. [Google Scholar] [CrossRef]
- Jia, Y.; Gong, X.; Peng, P.; Wang, Z.; Tian, Z.; Ren, L.; Fu, Y.; Zhang, H. Toward High Carrier Mobility and Low Contact Resistance: Laser Cleaning of PMMA Residues on Graphene Surfaces. Nano-Micro Lett. 2016, 8, 336–346. [Google Scholar] [CrossRef]
- Ji, H.; Yi, H.; Seok, J.; Kim, H.; Lee, Y.H.; Lim, S.C. Gas adsorbates are Coulomb scatterers, rather than neutral ones, in a monolayer MoS2 field effect transistor. Nanoscale 2018, 10, 10856–10862. [Google Scholar] [CrossRef]
- Chattopadhyay, D.; Queisser, H.J. Electron scattering by ionized impurities in semiconductors. Rev. Mod. Phys. 1981, 53, 745–768. [Google Scholar] [CrossRef]
- McCreary, K.M.; Pi, K.; Swartz, A.G.; Han, W.; Bao, W.; Lau, C.N.; Guinea, F.; Katsnelson, M.I.; Kawakami, R.K. Effect of cluster formation on graphene mobility. Phys. Rev. B 2010, 81, 115453. [Google Scholar] [CrossRef]
- Bult, J.B.; Crisp, R.; Perkins, C.L.; Blackburn, J.L. Role of Dopants in Long-Range Charge Carrier Transport for p-Type and n-Type Graphene Transparent Conducting Thin Films. ACS Nano 2013, 7, 7251–7261. [Google Scholar] [CrossRef] [PubMed]









Publisher’s Note: MDPI stays neutral with regard to jurisdictional claims in published maps and institutional affiliations. |
© 2022 by the authors. Licensee MDPI, Basel, Switzerland. This article is an open access article distributed under the terms and conditions of the Creative Commons Attribution (CC BY) license (https://creativecommons.org/licenses/by/4.0/).
Share and Cite
Song, I.; Kim, Y.; Lee, B.H.; Chae, M.; Kim, S.; Yoon, C.; Joo, M.-K.; Shin, J.; Kim, S.M.; Ko, C. Tailorable Electronic and Electric Properties of Graphene with Selective Decoration of Silver Nanoparticles by Laser-Assisted Photoreduction. Nanomaterials 2022, 12, 3549. https://doi.org/10.3390/nano12203549
Song I, Kim Y, Lee BH, Chae M, Kim S, Yoon C, Joo M-K, Shin J, Kim SM, Ko C. Tailorable Electronic and Electric Properties of Graphene with Selective Decoration of Silver Nanoparticles by Laser-Assisted Photoreduction. Nanomaterials. 2022; 12(20):3549. https://doi.org/10.3390/nano12203549
Chicago/Turabian StyleSong, Inseon, Yujeong Kim, Byung Hoon Lee, Minji Chae, Sooyeon Kim, ChangKyu Yoon, Min-Kyu Joo, Jeeyoung Shin, Soo Min Kim, and Changhyun Ko. 2022. "Tailorable Electronic and Electric Properties of Graphene with Selective Decoration of Silver Nanoparticles by Laser-Assisted Photoreduction" Nanomaterials 12, no. 20: 3549. https://doi.org/10.3390/nano12203549
APA StyleSong, I., Kim, Y., Lee, B. H., Chae, M., Kim, S., Yoon, C., Joo, M.-K., Shin, J., Kim, S. M., & Ko, C. (2022). Tailorable Electronic and Electric Properties of Graphene with Selective Decoration of Silver Nanoparticles by Laser-Assisted Photoreduction. Nanomaterials, 12(20), 3549. https://doi.org/10.3390/nano12203549

