Twisted Bands with Degenerate Points of Photonic Hypercrystals in Infrared Region
Abstract
:1. Introduction
2. Materials and Methods
3. Results and Discussion
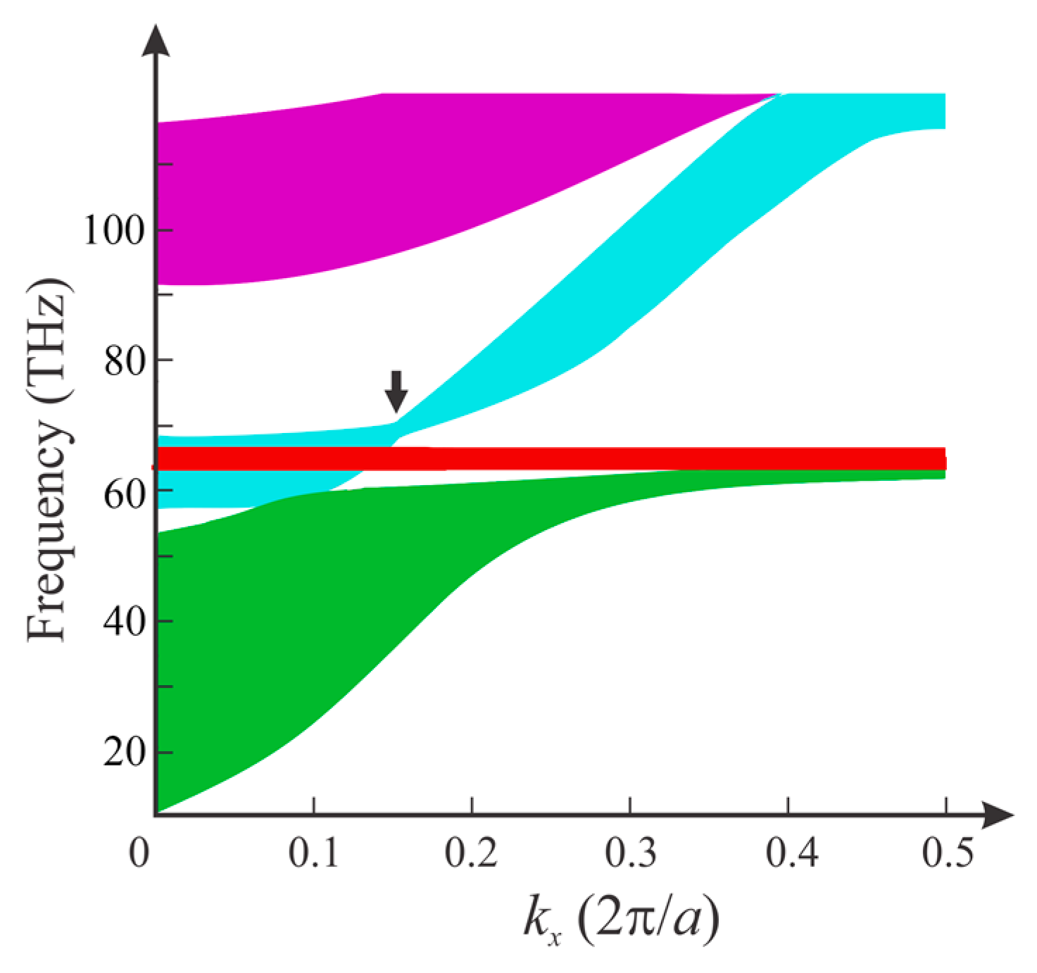
3.1. Unique Modes and Twisted Bands of PHCs
3.2. Switching Based on SC Effect
3.3. PHCs with CaF2 and Si Matrices
3.4. Full Electromagnetic Calculations of PHCs
4. Conclusions
Supplementary Materials
Author Contributions
Funding
Institutional Review Board Statement
Informed Consent Statement
Data Availability Statement
Conflicts of Interest
References
- Poddubny, A.; Iorsh, I.; Belov, P.; Kivshar, Y. Hyperbolic metamaterials. Nat. Photonics 2013, 7, 948–957. [Google Scholar] [CrossRef]
- Gric, T.; Hess, O. Investigation of hyperbolic metamaterials. Appl. Sci. 2018, 8, 1222. [Google Scholar] [CrossRef] [Green Version]
- Davidovich, M.V. Hyperbolic metamaterials: Production, properties, applications, and prospects. Physics-Uspekhi 2019, 62, 1173–1207. [Google Scholar] [CrossRef]
- Huo, P.C.; Zhang, S.; Liang, Y.Z.; Lu, Y.Q.; Xu, T. Hyperbolic metamaterials and metasurfaces: Fundamentals and applications. Adv. Opt. Mater. 2019, 7, 1801616. [Google Scholar] [CrossRef]
- Bhardwaj, A.; Srivastava, K.V.; Ramakrishna, S.A. Enhanced coupling of light from subwavelength sources into a hyperbolic metamaterial fiber. J. Lightwave Technol. 2019, 37, 3064–3072. [Google Scholar] [CrossRef]
- Cortes, C.L.; Newman, W.; Molesky, S.; Jacob, Z. Quantum nanophotonics using hyperbolic metamaterials. J. Opt. 2012, 14, 063001. [Google Scholar] [CrossRef] [Green Version]
- Wang, Z.; Huo, Y.; Ning, T.; Liu, R.; Zha, Z.; Shafi, M.; Li, C.; Li, S.; Xing, K.; Zhang, R.; et al. Composite structure based on gold-nanoparticle layer and HMM for surface-enhanced Raman spectroscopy analysis. Nanomaterials 2021, 11, 587. [Google Scholar] [CrossRef]
- Popov, A.K.; Myslivets, S.A.; Slabko, V.V.; Tkachenko, V.A.; George, T.F. Shaping light in backward-wave nonlinear hyperbolic metamaterials. Photonics 2018, 5, 8. [Google Scholar] [CrossRef] [Green Version]
- Liu, J.; Chen, W.; Ma, W.; Chen, Y.; Deng, X.; Zhuang, P.; Ye, Q. Biaxial hyperbolic metamaterial THz broadband absorber utilizing anisotropic two-dimensional materials. Results Phys. 2021, 22, 103818. [Google Scholar] [CrossRef]
- Feng, K.; Sivco, D.L.; Hoffman, A.J. Engineering optical emission in sub-diffraction hyperbolic metamaterial resonators. Opt. Express 2018, 26, 4382–4391. [Google Scholar] [CrossRef]
- Azmoudeh, E.; Farazi, S. Ultrafast and low power all-optical switching in the mid-infrared region based on nonlinear highly doped semiconductor hyperbolic metamaterials. Opt. Express 2021, 29, 13504–13517. [Google Scholar] [CrossRef] [PubMed]
- Lourtioz, J.M.; Benisty, H.; Berger, V.; Gerard, J.M.; Maystre, D.; Tchelnokov, A. Photonic Crystals Towards Nanoscale Photonic Devices; Springer: Berlin/Heidelberg, Germany, 2008. [Google Scholar]
- Joannopoulos, J.D.; Johnson, S.G.; Winn, J.N. Photonic Crystals: Molding the Flow of Light; Princeton University Press: Princeton, NJ, USA, 1995. [Google Scholar]
- Hou, J.; Zhou, Y.; Citrin, D.S.; Qiu, X.; Yang, C.; Chen, S. Complete two-dimensional photonic bandgap in refractive-index ratio 2.1 photonic crystals due to high-order bands. Opt. Lett. 2021, 46, 5558–5561. [Google Scholar] [CrossRef] [PubMed]
- He, S.; He, Q.; Wei, L.F. Atomic-type photonic crystals with adjustable band gaps. Opt. Express 2021, 29, 43148–43163. [Google Scholar] [CrossRef]
- Narimanov, E.E. Photonic hypercrystals. Phys. Rev. X 2014, 4, 041014. [Google Scholar] [CrossRef] [Green Version]
- Smolyaninova, V.N.; Yost, B.; Lahneman, D.; Narimanov, E.E.; Smolyaninov, I.I. Self-assembled tunable photonic hyper-crystals. Sci. Rep. 2014, 4, 5706. [Google Scholar] [CrossRef] [Green Version]
- Smolyaninov, I.I. Nonlinear optics of photonic hyper-crystals: Optical limiting and hyper-computing. J. Opt. Soc. Am. B 2019, 36, 1629–1636. [Google Scholar] [CrossRef]
- Lu, G.; Zhou, X.C.; Zhao, Y.P.; Zhang, K.Y.; Zhou, H.Y.; Li, J.Y.; Diao, C.; Liu, F.; Wu, A.L.; Du, G.Q. Omnidirectional photonic bandgap in one-dimensional photonic crystals containing hyperbolic metamaterials. Opt. Express 2021, 29, 31915–31923. [Google Scholar] [CrossRef]
- Pan, T.; Xu, G.D.; Zang, T.C.; Gao, L. Goos-hanchen shift in one-dimensional photonic crystals containing uniaxial indefinite medium. Phys. Status Solidi B 2009, 246, 1088–1093. [Google Scholar] [CrossRef]
- Zheng, Y.; Wang, Q.; Lin, M.; Ouyang, Z. Enhancement of self-collimation effect in photonic crystal membranes using hyperbolic metamaterials. Nanomaterials 2022, 12, 555. [Google Scholar] [CrossRef]
- Tsakmakidis, K.L.; Pickering, T.W.; Hamm, J.M.; Page, A.F.; Hess, O. Completely stopped and dispersionless light in plasmonic waveguides. Phys. Rev. Lett. 2014, 112, 167401. [Google Scholar] [CrossRef] [Green Version]
- Guo, Z.; Jiang, H.; Chen, H. Hyperbolic metamaterials: From dispersion manipulation to applications. J. Appl. Phys. 2020, 127, 071101. [Google Scholar] [CrossRef] [Green Version]
- Galfsky, T.; Gu, J.; Narimanov, E.E.; Menon, V.M. Photonic hypercrystals for control of light-matter interactions. Proc. Natl. Acad. Sci. USA 2017, 114, 5125. [Google Scholar] [CrossRef] [PubMed] [Green Version]
- Aspnes, D.E.; Studna, A.A. Dielectric functions and optical parameters of Si, Ge, GaP, GaAs, GaSb, InP, InAs, and InSb from 1.5 to 6.0 eV. Phys. Rev. B. 1983, 27, 985–1009. [Google Scholar] [CrossRef]
- Shkondin, E.; Takayama, O.; Aryaee Panah, M.E.; Liu, P.; Larsen, P.V.; Mar, M.D.; Jensen, F.; Lavrinenko, A.V. Large-scale high aspect ratio Al-doped ZnO nanopillars arrays as anisotropic metamaterials. Opt. Mater. Express 2017, 7, 1606–1627. [Google Scholar] [CrossRef] [Green Version]
- Vial, A.; Laroche, T.; Dridi, M.; Cunff, L.L. A new model of dispersion for metals leading to a more accurate modeling of plasmonic structures using the FDTD method. Appl. Phys. A Mater. Sci. Process. 2011, 103, 849–853. [Google Scholar] [CrossRef]
- Popov, V.; Lavrinenko, A.V.; Novitsky, A. Surface waves on multilayer hyperbolic metamaterials: Operator approach to effective medium approximation. Rhys. Rev. B 2018, 97, 125428. [Google Scholar] [CrossRef] [Green Version]
- Johnson, P.B.; Christy, R.W. Optical constants of the noble metals. Phys. Rev. B 1972, 6, 4370–4379. [Google Scholar] [CrossRef]
- Babar, S.; Weaver, J.H. Optical constants of Cu, Ag, and Au revisited. Appl. Opt. 2015, 54, 477–481. [Google Scholar] [CrossRef]
- Yang, G.; Guan, D.Y.; Wang, W.T.; Wu, W.D.; Chen, Z.H. The inherent optical nonlinearities of thin silver films. Opt. Mater. 2004, 25, 439–443. [Google Scholar] [CrossRef]
- Malitson, I.M. A redetermination of some optical properties of calcium fluoride. Appl. Opt. 1963, 2, 1103–1107. [Google Scholar] [CrossRef]
- Popov, V.; Lavrinenko, A.V.; Novitsky, A. Operator approach to effective medium theory to overcome a breakdown of Maxwell Garnett approximation. Phys. Rev. B 2016, 94, 085428. [Google Scholar] [CrossRef] [Green Version]









| Switching Time | Insertion Loss | Crosstalk | Power Consumption | |
|---|---|---|---|---|
| MEMS | 10–20 ms | Low | Low | Medium |
| liquid crystal | 100 ms | Medium | Medium | Low |
| SOA | ~ns | Very low | Low | High |
| MZI | ~ns | High | High | Medium |
| PHC * | ~ns | Medium | Medium | Medium |
Publisher’s Note: MDPI stays neutral with regard to jurisdictional claims in published maps and institutional affiliations. |
© 2022 by the authors. Licensee MDPI, Basel, Switzerland. This article is an open access article distributed under the terms and conditions of the Creative Commons Attribution (CC BY) license (https://creativecommons.org/licenses/by/4.0/).
Share and Cite
Zheng, Y.; Wang, Q.; Lin, M.; Bibbò, L.; Ouyang, Z. Twisted Bands with Degenerate Points of Photonic Hypercrystals in Infrared Region. Nanomaterials 2022, 12, 1985. https://doi.org/10.3390/nano12121985
Zheng Y, Wang Q, Lin M, Bibbò L, Ouyang Z. Twisted Bands with Degenerate Points of Photonic Hypercrystals in Infrared Region. Nanomaterials. 2022; 12(12):1985. https://doi.org/10.3390/nano12121985
Chicago/Turabian StyleZheng, Yaoxian, Qiong Wang, Mi Lin, Luigi Bibbò, and Zhengbiao Ouyang. 2022. "Twisted Bands with Degenerate Points of Photonic Hypercrystals in Infrared Region" Nanomaterials 12, no. 12: 1985. https://doi.org/10.3390/nano12121985
APA StyleZheng, Y., Wang, Q., Lin, M., Bibbò, L., & Ouyang, Z. (2022). Twisted Bands with Degenerate Points of Photonic Hypercrystals in Infrared Region. Nanomaterials, 12(12), 1985. https://doi.org/10.3390/nano12121985

