Quantum Phase Transition in the Spin Transport Properties of Ferromagnetic Metal-Insulator-Metal Hybrid Materials
Abstract
1. Introduction
2. Theoretical and Computational Details
3. Results and Discussion
3.1. Breaking the Ground-State Symmetry
3.1.1. Local Network Structure in Multilayer Heterostructures
3.1.2. Localized Magnetic Moments
3.2. Quantum Phase Transition
3.2.1. Non-Volatile 180° Reversal of Magnetization
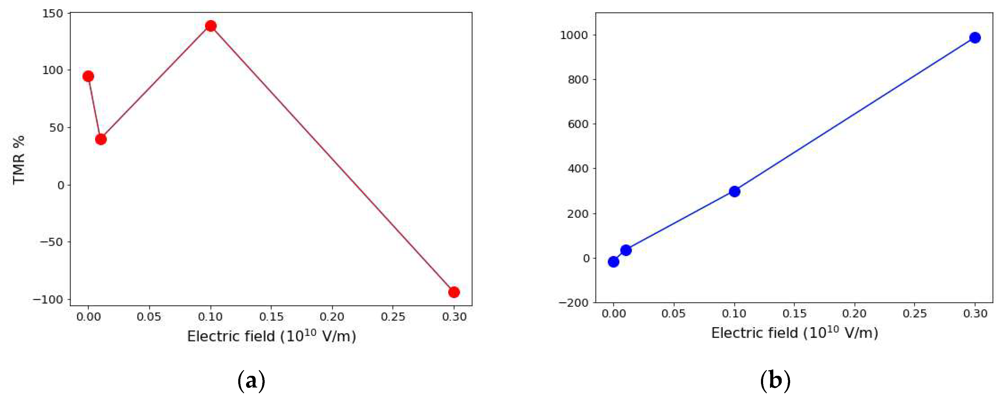
3.2.2. Magnetoelectric Coupling
Field Effects on Spin Dynamics
Projected Density of States
Variation of the Spin-Flip Energy with the Applied Electric Field
3.3. Magnetic Proximity Effect
3.3.1. Interfacial Charge Transfer
3.3.2. Barrier-Dependence of Spin Conductance
4. Conclusions
Author Contributions
Funding
Institutional Review Board Statement
Informed Consent Statement
Data Availability Statement
Acknowledgments
Conflicts of Interest
References
- Oliveira, M.I.A.; Rivelino, R.; de Brito Mota, F.; Gueorguiev, G.K. Optical properties and quasiparticle band gaps of transition-metal atoms encapsulated by silicon cages. Phys. Chem. C 2014, 118, 5501–5509. [Google Scholar] [CrossRef]
- Freitas, R.R.Q.; de Brito Mota, F.; Rivelino, R.; de Castilho, C.M.C.; Kakanakova-Georgieva, A.; Gueorguiev, G.K. Spin-orbit-induced gap modification in buckled honeycomb XBi and XBi3 (X = B, Al, Ga, and In) sheets. J. Phys. Condens. Matter 2015, 27, 48. [Google Scholar] [CrossRef] [PubMed]
- Bayha, L.; Holten, M.; Klemt, R.; Subramanian, K.; Bjerlin, J.; Reimann, S.M.; Bruun, G.M.; Preiss, P.M.; Jochim, S. Observing the emergence of a quantum phase transition shell by shell. Nature 2020, 587, 7835. [Google Scholar] [CrossRef] [PubMed]
- Transitions in focus. Nature Phys. 2008, 4, 157. [CrossRef][Green Version]
- Sachdev, S. Quantum Phase Transitions; Cambridge University Press: Cambridge, UK, 2011. [Google Scholar]
- Landau, L.D. On the theory of phase transitions. I. Zh. Eksp. Teor. Fiz. 1937, 11, 19. [Google Scholar] [CrossRef]
- Kosterlitz, J.M.; Thouless, D.J. Ordering, metastability and phase transitions in two-dimensional systems. J. Phys. C Solid State Phys. 1973, 6, 1181–1203. [Google Scholar] [CrossRef]
- McBryan, O.A.; Spencer, T. On the decay of correlations in SO (n)-symmetric ferromagnets. Commun. Math. Phys. 1977, 53, 299–302. [Google Scholar] [CrossRef]
- Tsymbal, E.Y.; Mryasov, O.N.; LeClair, P.R. Spin-dependent tunnelling in magnetic tunnel junctions. J. Phys. Condens. Matter 2003, 15, R109–R142. [Google Scholar] [CrossRef]
- Su, L.; Zhang, Y.; Klein, J.O.; Zhang, Y.; Bournel, A.; Fert, A.; Zhao, W. Current-limiting challenges for all-spin logic devices. Sci. Rep. 2015, 5, 14905. [Google Scholar] [CrossRef]
- Sander, D.; Valenzuela, S.O.; Makarov, D.; Marrows, C.H.; Fullerton, E.E.; Fischer, P.; McCord, J.; Vavassori, P.; Mangin, S.; Berger, A.; et al. The 2017 magnetism roadmap. J. Phys. D Appl. Phys. 2017, 50, 363001. [Google Scholar] [CrossRef]
- Lu, H.; Guo, Y.; Robertson, J. Ab Initio Study of Hexagonal Boron Nitride as the Tunnel Barrier in Magnetic Tunnel Junctions. ACS Appl. Mater. Interfaces 2021, 13, 47226–47235. [Google Scholar] [CrossRef] [PubMed]
- Lazić, P.; Sipahi, G.M.; Kawakami, R.K.; Žutić, I. Graphene spintronics: Spin injection and proximity effects from first principles. Phys. Rev. B 2014, 90, 114006. [Google Scholar] [CrossRef]
- Hu, M.L.; Yu, Z.; Zhang, K.W.; Sun, L.Z.; Zhong, J.X. Tunneling magnetoresistance of bilayer hexagonal boron nitride and its linear response to external uniaxial strain. J. Phys. Chem. C 2011, 115, 8260–8264. [Google Scholar] [CrossRef]
- Rahman, R.; Bandyopadhyay, S. The cost of energy-efficiency in digital hardware: The trade-off between energy dissipation, energy–delay product and reliability in electronic, magnetic and optical binary switches. Appl. Sci. 2021, 11, 5590. [Google Scholar] [CrossRef]
- Manipatruni, S.; Nikonov, D.E.; Young, I.A. Material targets for scaling all-spin logic. Phys. Rev. Appl. 2016, 5, 1. [Google Scholar] [CrossRef]
- Rylands, C.; Parhizkar, A.; Burkov, A.A.; Galitski, V. Chiral anomaly in interacting condensed matter systems. Phys. Rev. Lett. 2021, 126, 185303. [Google Scholar] [CrossRef] [PubMed]
- Ukpong, A.M. Axial field induced spin response in Fe/hBN-based tunnel junctions. Phys. Rev. B 2019, 100, 035424. [Google Scholar] [CrossRef]
- Kohda, M.; Okayasu, T.; Nitta, J. Spin-momentum locked spin manipulation in a two-dimensional Rashba system. Sci. Rep. 2019, 9, 1909. [Google Scholar] [CrossRef]
- Li, P.; Wu, W.; Wen, Y.; Zhang, C.; Zhang, J.; Zhang, S.; Yu, Z.; Yang, S.A.; Manchon, A.; Zhang, X.X. Spin-momentum locking and spin-orbit torques in magnetic nano-heterojunctions composed of Weyl semimetal WTe2. Nat. Commun. 2018, 9, 3990. [Google Scholar] [CrossRef]
- Ukpong, A.M. Ab initio studies of coherent spin transport in Fe-hBN/graphene van der Waals multilayers. J. Phys. Condens. Matter 2017, 29, 28. [Google Scholar] [CrossRef]
- Zhang, S.; Wu, Q.; Liu, Y.; Yazyev, O.V. Magnetoresistance from Fermi surface topology. Phys. Rev. B 2019, 99, 035142. [Google Scholar] [CrossRef]
- Ukpong, A.M. Tunable magnetotransport in Fe/hBN/graphene/hBN/Pt (Fe) epitaxial multilayers. J. Phys. D Appl. Phys. 2018, 51, 095302. [Google Scholar] [CrossRef]
- Novoselov, K.S.; Geim, A.K.; Morozov, S.V.; Jiang, D.E.; Zhang, Y.; Dubonos, S.V.; Grigorieva, I.V.; Firsov, A.A. Electric field effect in atomically thin carbon films. Science 2004, 306, 666–669. [Google Scholar] [CrossRef] [PubMed]
- Novoselov, K.S.; Fal′ko, V.I.; Colombo, L.; Gellert, P.R.; Schwab, M.G.; Kim, K. A roadmap for graphene. Nature 2012, 490, 192–200. [Google Scholar] [CrossRef] [PubMed]
- Butler, S.Z.; Hollen, S.M.; Cao, L.; Cui, Y.; Gupta, J.A.; Gutiérrez, H.R.; Heinz, T.F.; Hong, S.S.; Huang, J.; Ismach, A.F.; et al. Progress, Challenges, and Opportunities in Two-Dimensional Materials Beyond Graphene. ACS Nano 2013, 7, 2898–2926. [Google Scholar] [CrossRef]
- Jin, C.; Lin, F.; Suenaga, K.; Iijima, S. Fabrication of a freestanding boron nitride single layer and its defect assignments. Phys. Rev. Lett. 2009, 102, 195505. [Google Scholar] [CrossRef]
- Conley, H.J.; Wang, B.; Ziegler, J.I.; Haglund, R.F., Jr.; Pantelides, S.T.; Bolotin, K.I. Bandgap engineering of strained monolayer and bilayer MoS2. Nano Lett. 2013, 13, 3626–3630. [Google Scholar] [CrossRef]
- Dąbrowski, M.; Nakano, T.; Burn, D.M.; Frisk, A.; Newman, D.G.; Klewe, C.; Li, Q.; Yang, M.; Shafer, P.; Arenholz, E.; et al. Coherent transfer of spin angular momentum by evanescent spin waves within antiferromagnetic NiO. Phys. Rev. Lett. 2020, 124, 217201. [Google Scholar] [CrossRef]
- Giannozzi, P.; Baroni, S.; Bonini, N.; Calandra, M.; Car, R.; Cavazzoni, C.; Ceresoli, D.; Chiarotti, G.L.; Cococcioni, M.; Dabo, I.; et al. Quantum ESPRESSO: A modular and open-source software project for quantum simulations of materials. J. Phys. Condens. Matter 2009, 21, 395502. [Google Scholar] [CrossRef]
- Giannozzi, P.; Andreussi, O.; Brumme, T.; Bunau, O.; Nardelli, M.B.; Calandra, M.; Car, R.; Cavazzoni, C.; Ceresoli, D.; Cococcioni, M.; et al. Advanced capabilities for materials modelling with Quantum ESPRESSO. J. Phys. Condens. Matter 2017, 29, 465901. [Google Scholar] [CrossRef]
- Giannozzi, P.; Baseggio, O.; Bonfá, P.; Brunato, D.; Car, R.; Carnimeo, I.; Cavazzoni, C.; de Gironcoli, S.; Delugas, P.; Ferrari Ruffino, F.; et al. Quantum ESPRESSO towards exascale. J. Chem. Phys. 2020, 152, 154105. [Google Scholar] [CrossRef]
- Kresse, G.; Joubert, D. From ultrasoft pseudopotentials to the projector augmented wave method. Phys. Rev. B 1999, 59, 1758–1775. [Google Scholar] [CrossRef]
- Thonhauser, T.; Zuluaga, S.; Arter, C.A.; Berland, K.; Schröder, E.; Hyldgaard, P. Spin signature of nonlocal correlation binding in metal-organic frameworks. Phys. Rev. Lett. 2015, 115, 136402. [Google Scholar] [CrossRef] [PubMed]
- Monkhorst, H.J.; Pack, J.D. Special points for Brillouin-zone integrations. Phys. Rev. B 1976, 13, 5188. [Google Scholar] [CrossRef]
- Marzari, N.; Vanderbilt, D.; De Vita, A.; Payne, M.C. Thermal contraction and disordering of the Al (110) surface. Phys. Rev. Lett. 1999, 82, 3296–3299. [Google Scholar] [CrossRef]
- Bengtsson, L. Dipole correction for surface supercell calculations. Phys. Rev. B 1999, 59, 12301–12304. [Google Scholar] [CrossRef]
- Brumme, T.; Calandra, M.; Mauri, F. Electrochemical doping of few-layer ZrNCl from first principles: Electronic and structural properties in field-effect configuration. Phys. Rev. B 2014, 89, 245406. [Google Scholar] [CrossRef]
- Liu, Q.; Zhang, X.; Abdalla, L.B.; Fazzio, A.; Zunger, A. Switching a Normal Insulator into a Topological Insulator via Electric Field with Application to Phosphorene. Nano Lett. 2015, 15, 1222–1228. [Google Scholar] [CrossRef]
- Shanavas, K.V.; Popović, Z.S.; Satpathy, S. Theoretical model for Rashba spin-orbit interaction in d electrons. Phys. Rev. B 2014, 90, 165108. [Google Scholar] [CrossRef]
- Caviglia, A.D.; Gabay, M.; Gariglio, S.; Reyren, N.; Cancellieri, C.; Triscone, J.M. Tunable Rashba spin-orbit interaction at oxide interfaces. Phys. Rev. Lett. 2010, 104, 126803. [Google Scholar] [CrossRef]
- Xu, X.; Yao, W.; Xiao, D.; Heinz, T.F. Spin and pseudospins in layered transition metal dichalcogenides. Nat. Phys. 2014, 10, 343–350. [Google Scholar] [CrossRef]
- Vanderbilt, D. Berry Phases in Electronic Structure Theory: Electric Polarization, Orbital Magnetization and Topological Insulators; Cambridge University Press: Cambridge, UK, 2018. [Google Scholar]
- Taylor, J.; Guo, H.; Wang, J. Ab initio modeling of quantum transport properties of molecular electronic devices. Phys. Rev. B 2001, 63, 245407. [Google Scholar] [CrossRef]
- Taylor, J.; Guo, H.; Wang, J. Ab initio modeling of open systems: Charge transfer, electron conduction, and molecular switching of a C 60 device. Phys. Rev. B 2001, 63, 121104. [Google Scholar] [CrossRef]
- Choi, H.J.; Ihm, J. Ab initio pseudopotential method for the calculation of conductance in quantum wires. Phys. Rev. B 1999, 59, 2267. [Google Scholar] [CrossRef]
- Smogunov, A.; Dal Corso, A.; Tosatti, E. Ballistic conductance of magnetic Co and Ni nanowires with ultrasoft pseudopotentials. Phys. Rev. B 2004, 70, 045417. [Google Scholar] [CrossRef]
- Ruggenthaler, M.; Flick, J.; Pellegrini, C.; Appel, H.; Tokatly, I.V.; Rubio, A. Quantum-electrodynamical density-functional theory: Bridging quantum optics and electronic-structure theory. Phys. Rev. A 2014, 90, 012508. [Google Scholar] [CrossRef]
- Flick, J.; Ruggenthaler, M.; Appel, H.; Rubio, A. Kohn–Sham approach to quantum electrodynamical density-functional theory: Exact time-dependent effective potentials in real space. Proc. Natl. Acad. Sci. USA 2015, 112, 15285–15290. [Google Scholar] [CrossRef]
- Rokaj, V.; Penz, M.; Sentef, M.A.; Ruggenthaler, M.; Rubio, A. Quantum electrodynamical bloch theory with homogeneous magnetic fields. Phys. Rev. Lett. 2019, 123, 047202. [Google Scholar] [CrossRef]
- Schäfer, C.; Buchholz, F.; Penz, M.; Ruggenthaler, M.; Rubio, A. Making ab initio QED functional (s): Nonperturbative and photon-free effective frameworks for strong light–matter coupling. Proc. Natl. Acad. Sci. USA 2021, 118, e2110464118. [Google Scholar] [CrossRef]
- Schäfer, C.; Johansson, G. Efficient Self-Consistent Prediction of Natural Linewidths, Electromagnetically Induced Transparency, Superradiant and Purcell-Enhanced Emission for Realistic Materials using TDDFT. arXiv 2021, arXiv:2109.09839. [Google Scholar]
- Landauer, R. Spatial variation of currents and fields due to localized scatterers in metallic conduction. IBM J. Res. Dev. 1988, 32, 306–316. [Google Scholar] [CrossRef]
- Büttiker, M. Symmetry of electrical conduction. IBM J. Res. Dev 1988, 32, 317–334. [Google Scholar] [CrossRef]
- Faleev, S.V.; Parkin, S.S.; Mryasov, O.N. Brillouin zone spin filtering mechanism of enhanced tunneling magnetoresistance and correlation effects in a Co (0001)/h-BN/Co (0001) magnetic tunnel junction. Phys. Rev. B 2015, 92, 235118. [Google Scholar] [CrossRef]
- Belashchenko, K.D.; Tsymbal, E.Y.; Oleynik, I.I.; van Schilfgaarde, M. Positive spin polarization in Co/Al2O3/Co tunnel junctions driven by oxygen adsorption. Phys. Rev. B 2005, 71, 224422. [Google Scholar] [CrossRef]
- Zhang, H.; Ye, M.; Wang, Y.; Quhe, R.; Pan, Y.; Guo, Y.; Song, Z.; Yang, J.; Guo, W.; Jing Lu, J. Magnetoresistance in Co/2D MoS2/Co and Ni/2D MoS2/Ni junctions. Phys. Chem. Chem. Phys. 2016, 18, 16367. [Google Scholar] [CrossRef]
- Garandel, T.; Arras, R.; Marie, X.; Renucci, P.; Calmels, L. Electronic structure of the Co (0001)/MoS2 interface and its possible use for electrical spin injection in a single MoS2 layer. Phys. Rev. B 2017, 95, 075402. [Google Scholar] [CrossRef]
- Zhong, H.; Quhe, R.; Wang, Y.; Ni, Z.; Ye, M.; Song, Z.; Lu, J. Interfacial properties of monolayer and bilayer MoS2 contacts with metals: Beyond the energy band calculations. Sci. Rep. 2016, 6, 21786. [Google Scholar] [CrossRef]
- Wang, W.; Narayan, A.; Tang, L.; Dolui, K.; Liu, Y.; Yuan, X.; Xiu, F. Spin-valve effect in NiFe/MoS2/NiFe junctions. Nano Lett. 2015, 15, 5261–5267. [Google Scholar] [CrossRef]
- Matar, S.F.; Houari, A.; Belkhir, M.A. Ab initio studies of magnetic properties of cobalt and tetracobalt nitride Co4N. Phys. Rev. B 2007, 75, 245109. [Google Scholar] [CrossRef]
- Jimenez, K.; Reslen, J. Time-reversal symmetry breaking in a square lattice. J. Phys. Commun. 2021, 5, 045001. [Google Scholar] [CrossRef]
- Ukpong, A.M.; Chetty, N. Half-metallic ferromagnetism in substitutionally doped boronitrene. Phys. Rev. B 2012, 86, 195409. [Google Scholar] [CrossRef]
- Yang, S.W.; Peng, R.C.; Jiang, T.; Liu, Y.K.; Feng, L.; Wang, J.J.; Chen, L.Q.; Li, X.G.; Nan, C.W. Non-Volatile 180° Magnetization Reversal by an Electric Field in Multiferroic Heterostructures. Adv. Mater. 2014, 26, 7091–7095. [Google Scholar] [CrossRef] [PubMed]
- Yao, J.; Song, X.; Gao, X.; Tian, G.; Li, P.; Fan, H.; Liu, J.M. Electrically driven reversible magnetic rotation in nanoscale multiferroic heterostructures. ACS Nano 2018, 12, 6767–6776. [Google Scholar] [CrossRef] [PubMed]
- Manipatruni, S.; Nikonov, D.E.; Lin, C.C.; Prasad, B.; Huang, Y.L.; Damodaran, A.R.; Young, I.A. Voltage control of unidirectional anisotropy in ferromagnet-multiferroic system. Sci. Adv. 2018, 4, eaat4229. [Google Scholar] [CrossRef]
- Tong, J.; Luo, F.; Ruan, L.; Qin, G.; Zhou, L.; Tian, F.; Zhang, X. Publisher’s Note: “High and reversible spin polarization in a collinear antiferromagnet”. Appl. Phys. Rev. 2020, 7, 039901. [Google Scholar] [CrossRef]
- Liu, Z.Q.; Chen, H.; Wang, J.M.; Liu, J.H.; Wang, K.; Feng, Z.X.; MacDonald, A.H. Electrical switching of the topological anomalous Hall effect in a non-collinear antiferromagnet above room temperature. Nat. Electron. 2018, 1, 172–177. [Google Scholar] [CrossRef]
- Brataas, A.; Kent, A.D.; Ohno, H. Current-induced torques in magnetic materials. Nat. Mater. 2012, 11, 372–381. [Google Scholar] [CrossRef]
- Ukpong, A.M. Emergence of nontrivial spin textures in frustrated van der Waals ferromagnets. Nanomaterials 2021, 11, 1770. [Google Scholar] [CrossRef]
- Zhong, D.; Seyler, K.L.; Linpeng, X.; Wilson, N.P.; Taniguchi, T.; Watanabe, K.; McGuire, M.; Fu, K.-M.; Xiao, D.; Yao, W.; et al. Layer-resolved magnetic proximity effect in van der Waals heterostructures. Nat. Nanotechnol. 2020, 15, 187–191. [Google Scholar] [CrossRef]
- Geim, A.K.; Grigorieva, I.V. Van der Waals heterostructures. Nature 2013, 499, 7459. [Google Scholar] [CrossRef]
- Dolui, K.; Narayan, A.; Rungger, I.; Sanvito, S. Efficient spin injection and giant magnetoresistance in Fe/MoS2/Fe junctions. Phys. Rev. B 2014, 90, 041401. [Google Scholar] [CrossRef]
- Kang, J.; Liu, W.; Banerjee, K. High-performance MoS2 transistors with low-resistance molybdenum contacts. Appl. Phys. Lett. 2014, 104, 093106. [Google Scholar] [CrossRef]
- Qiu, D.Y.; Felipe, H.; Louie, S.G. Optical spectrum of MoS2: Many-body effects and diversity of exciton states. Phys. Rev. Lett. 2013, 111, 216805. [Google Scholar] [CrossRef] [PubMed]
- Capelle, K.; Vignale, G.; Ullrich, C.A. Spin gaps and spin-flip energies in density-functional theory. Phys. Rev. B 2010, 81, 125114. [Google Scholar] [CrossRef]
- Hernando, A.; Crespo, P.; Garcia, M.A. Origin of orbital ferromagnetism and giant magnetic anisotropy at the nanoscale. Phys. Rev. Lett. 2006, 96, 5. [Google Scholar] [CrossRef]
- Sen, S.; Gupta, K.S.; Coey, J.M.D. Mesoscopic structure formation in condensed matter due to vacuum fluctuations. Phys. Rev. B 2015, 92, 155115. [Google Scholar] [CrossRef]
- Hussien, M.A.; Ukpong, A.M. Electrodynamics of topologically ordered quantum phases in Dirac materials. Nanomaterials 2021, 11, 2914. [Google Scholar] [CrossRef]
- Bora, M.; Deb, P. Magnetic proximity effect in two-dimensional van der Waals heterostructure. J. Phys. Mater. 2021, 4, 034014. [Google Scholar] [CrossRef]
- Tong, Q.; Chen, M.; Yao, W. Magnetic Proximity Effect in a van der Waals Moir’e Superlattice Yao. Phys. Rev. Appl. 2019, 12, 024301. [Google Scholar] [CrossRef]
- Wang, Z.; Gutiérrez-Lezama, I.; Ubrig, N.; Kroner, M.; Gibertini, M.; Taniguchi, T.; Watanabe, K.; Imamoğlu, A.; Giannini, E.; Morpurgo, A.F. Very large tunneling magnetoresistance in layered magnetic semiconductor CrI3. Nat. Commun. 2018, 9, 2516. [Google Scholar] [CrossRef]
- Li, S.; Ye, Z.; Luo, X.; Ye, G.; Kim, H.H.; Yang, B.; Tian, S.; Li, C.; Lei, H.; Tsen, A.W.; et al. Magnetic-field-induced quantum phase transitions in a van der Waals magnet. Phys. Rev. X 2020, 10, 011075. [Google Scholar] [CrossRef]
- Arai, M.; Moriya, R.; Yabuki, N.; Masubuchi, S.; Ueno, K.; Machida, T. Construction of van der Waals magnetic tunnel junction using ferromagnetic layered dichalcogenide. Appl. Phys. Lett. 2015, 107, 103107. [Google Scholar] [CrossRef]
- Jung, J.; Qiao, Z.; Niu, Q.; MacDonald, A.H. Transport Properties of Graphene Nanoroads in Boron Nitride Sheets. Nano Lett. 2012, 12, 2936. [Google Scholar] [CrossRef] [PubMed][Green Version]
- Roy, R.; Ghosh, S.; Saha, S.; Prajapati, G.L.; Dagar, R.; Rana, D.S.; Banerjee, S.S. Imaging of current crowding effect across the metal to insulator transition in a NdNiO3 thin film with thickness gradient. Phys. Rev. B 2022, 105, 085143. [Google Scholar] [CrossRef]
- Banerjee, S.; Luginsland, J.; Zhang, P. Interface Engineering of Electrical Contacts. Phys. Rev. Applied 2021, 15, 064048. [Google Scholar] [CrossRef]
- Timmermans, M.; Serrier-Garcia, L.; Perini, M.; Van de Vondel, J.; Moshchalkov, V.V. Direct observation of condensate and vortex confinement in nanostructured superconductors. Phys. Rev. B 2016, 93, 054514. [Google Scholar] [CrossRef]
- Kiss, A.; Szolnoki, L.; Simon, F. The Elliott-Yafet theory of spin relaxation generalized for large spin-orbit coupling. Sci. Rep. 2016, 6, 22706. [Google Scholar] [CrossRef]
- Moodera, J.S.; Kinder, L.R.; Wong, T.M.; Meservey, R. Large magnetoresistance at room temperature in ferromagnetic thin film tunnel junctions. Phys. Rev. Lett. 1995, 74, 3273–3276. [Google Scholar] [CrossRef]
- Julliere, M. Tunneling between ferromagnetic films. Phys. Lett. A 1975, 54, 225–226. [Google Scholar] [CrossRef]
- MacLaren, J.M.; Zhang, X.G.; Butler, W.H. Validity of the Julliere model of spin-dependent tunneling. Phys. Rev. B. 1977, 56, 11827–11832. [Google Scholar] [CrossRef]









| Electric Field | Co(111)/hBN/Co(111) | Co(111)/MoS2/Co(111) | |||||
|---|---|---|---|---|---|---|---|
| a.u. | 1010 V/m | M (P) | M (AP) | ΔE (eV) | M (P) | M (AP) | ΔE (eV) |
| 0.0 | 0.0 | 62.6 | −0.03 | 0.0 | 62.34 | −0.57 | 0.0 |
| 0.01 | 0.51 | 62.5 | 0.32 | −0.004 | 62.49 | −0.48 | 0.002 |
| 0.1 | 5.14 | 18.3 | 4.31 | −2.59 | 62.33 | −0.28 | 0.038 |
| 0.3 | 15.43 | 28.0 | 12.25 | −1.49 | 61.14 | 61.13 | −1.95 |
| Electric Field | Co(111)/hBN/Co(111) | Co(111)/MoS2/Co(111) | |||
|---|---|---|---|---|---|
| a.u. | 1010 V/m | Spin Order | J (meV) | Spin Order | J (meV) |
| 0.0 | 0.0 | Half-metallic | 0.0139 | Half-metallic | 0.0181 |
| 0.01 | 0.51 | Half-metallic | 0.0132 | Half-metallic | 0.0184 |
| 0.1 | 5.14 | Metallic | −0.1211 | Half-metallic | 0.0188 |
| 0.3 | 15.43 | Metallic | −6.1618 × 10−4 | Half-metallic | 7.7579 × 10−7 |
| Electric (a.u.) | Field (1010 V/m) | Parallel | Anti-Parallel | ||||
|---|---|---|---|---|---|---|---|
| 0.0 | 0.0 | 0.27284 | 0.93178 | 4.66 | 0.3192 | 0.2987 | 2.394 |
| 0.01 | 0.51 | 0.25774 | 0.71976 | 3.79 | 0.3944 | 0.3053 | 2.71 |
| 0.1 | 5.14 | 2.014 | 0.74109 | 100 | 0.8513 | 0.2284 | 4.183 |
| 0.3 | 15.43 | 0.03491 | 0.0000063 | 0.135 | 0.3801 | 0.2963 | 2.621 |
| Electric (a.u.) | Field 1010 (V/m) | Parallel | Anti-Parallel | ||||
|---|---|---|---|---|---|---|---|
| 0.0 | 0.0 | 0.9103 | 0.1087 × 101 | 7.730 × 10−5 | 0.688 | 0.165 × 101 | 9.08 × 10−5 |
| 0.01 | 0.51 | 0.1321 × 101 | 0.118 × 101 | 9.695 × 10−5 | 0.4356 | 0.1417 × 101 | 7.17 × 10−5 |
| 0.1 | 5.14 | 0.1795 | 0.182 × 101 | 7.748 × 10−5 | 0.24 | 0.2611 | 1.94 × 10−5 |
| 0.3 | 15.43 | 0.849 × 10−1 | 0.853 × 10−2 | 3.622 × 10−6 | 0.51 × 10−2 | 0.346 × 10−2 | 3.33 × 10−7 |
Publisher’s Note: MDPI stays neutral with regard to jurisdictional claims in published maps and institutional affiliations. |
© 2022 by the authors. Licensee MDPI, Basel, Switzerland. This article is an open access article distributed under the terms and conditions of the Creative Commons Attribution (CC BY) license (https://creativecommons.org/licenses/by/4.0/).
Share and Cite
Hussien, M.A.M.; Ukpong, A.M. Quantum Phase Transition in the Spin Transport Properties of Ferromagnetic Metal-Insulator-Metal Hybrid Materials. Nanomaterials 2022, 12, 1836. https://doi.org/10.3390/nano12111836
Hussien MAM, Ukpong AM. Quantum Phase Transition in the Spin Transport Properties of Ferromagnetic Metal-Insulator-Metal Hybrid Materials. Nanomaterials. 2022; 12(11):1836. https://doi.org/10.3390/nano12111836
Chicago/Turabian StyleHussien, Musa A. M., and Aniekan Magnus Ukpong. 2022. "Quantum Phase Transition in the Spin Transport Properties of Ferromagnetic Metal-Insulator-Metal Hybrid Materials" Nanomaterials 12, no. 11: 1836. https://doi.org/10.3390/nano12111836
APA StyleHussien, M. A. M., & Ukpong, A. M. (2022). Quantum Phase Transition in the Spin Transport Properties of Ferromagnetic Metal-Insulator-Metal Hybrid Materials. Nanomaterials, 12(11), 1836. https://doi.org/10.3390/nano12111836
