Modelling Entropy in Magnetized Flow of Eyring–Powell Nanofluid through Nonlinear Stretching Surface with Chemical Reaction: A Finite Element Method Approach
Abstract
:1. Introduction
2. Mathematical Formation
3. Entropy Generation
4. FEM Solution
5. Results and Discussion
6. Conclusions
- ▪
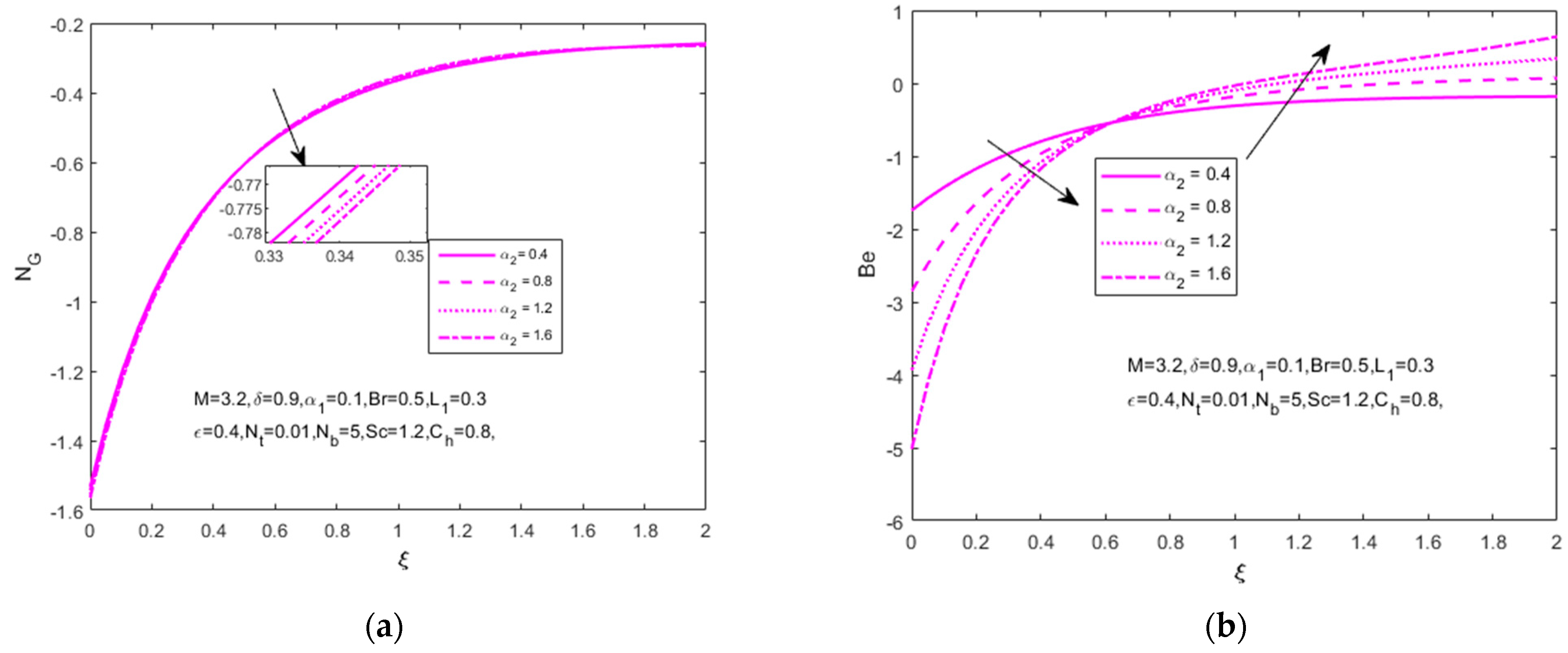
- The Bejan number shows a decreasing influence for larger values of the dimensionless parameter and concentration diffusion parameter .
- ▪
- Entropy generation displays a decreasing influence of , and an increasing influence with .
- ▪
- Skin friction showed reduced behavior for increasing values of , and , and inverse behavior with , , and .
- ▪
- The Nusselt number increased for the buoyancy force parameter , fluid parameter and mixed convection parameter .
- ▪
- The Sherwood number decreased for the fluid parameter , thermophorasis parameter and fluid parameter .
Author Contributions
Funding
Institutional Review Board Statement
Informed Consent Statement
Data Availability Statement
Acknowledgments
Conflicts of Interest
Nomenclature
| Velocity-components in directions | |
| Kinematic viscosity | |
| Temperature | |
| Density of the base fluid | |
| Constant temperature of the fluid | |
| Local entropy generation | |
| Magnetic parameter | |
| Brinkman number | |
| Ratio between concentration and thermal buoyancy force is, | |
| Mixed convection parameter | |
| Grashof number | |
| Prandtl number | |
| Non-linear mixed convection parameter | |
| Thermophoresis parameter | |
| Brownian motion parameter | |
| Eckert number | |
| Dimensionless fluid parameter | |
| Schmidt number |
References
- Mukhopadhyay, S.; De, P.R.; Bhattacharyya, K.; Layek, G. Casson fluid flow over an unsteady stretching surface. Ain Shams Eng. J. 2013, 4, 933–938. [Google Scholar] [CrossRef] [Green Version]
- Waqas, H.; Khan, S.U.; Bhatti, M.M.; Imran, M. Significance of bio-convection in chemical reactive fow of magnetized Carreau-Yasuda nanofuid with thermal radiation and second-order slip. J. Therm Anal. Calorim. 2020, 140, 1293–1306. [Google Scholar] [CrossRef]
- Ofei, T.N. Effect of yield power law fluid rheological properties on cuttings transport in eccentric horizontal narrow annulus. J. Fluids 2016, 2016, 1–10. [Google Scholar] [CrossRef] [Green Version]
- Frisch, R. A complete scheme for computing all direct and cross demand elasticities in a model with many sectors. Econometrica 1959, 27, 177–196. [Google Scholar] [CrossRef]
- Saleem, S.; Awais, M.; Nadeem, S.; Sandeep, N.; Mustafa, M. Theoretical analysis of upper-convected Maxwell fluid flow with Cattaneo-Christov heat flux model. Chin. J. Phys. 2017, 55, 1615–1625. [Google Scholar] [CrossRef]
- Sirohi, V.; Timol, M.G.; Kalathia, N.L. Numerical treatment of Powell-Eyring fluid flow past a 90 degree wedge. Reg. J. Energy Heat Mass Transf. 1984, 6, 219–228. [Google Scholar]
- Pattnaik, P.K.; Bhatti, M.M.; Mishra, S.R.; Abbas, M.A.; Bég, O.A. Mixed convective-radiative dissipative magnetized micropolar nanofluid flow over a stretching surface in porous media with double stratification and chemical reaction effects: ADM-Padé computation. J. Math. 2022, 2022, 1–19. [Google Scholar] [CrossRef]
- Patel, M.; Timol, M.G. Numerical treatment of Powell-Eyring fluid flow using method of asymptotic boundary conditions. Appl. Numer. Math. 2009, 59, 2584–2592. [Google Scholar] [CrossRef]
- Rizwan, M.; Hassan, M.; Makinde, O.D.; Bhatti, M.M.; Marin, M. Rheological modeling of metallic oxide nanoparticles containing non-newtonian nanofluids and potential investigation of heat and mass flow characteristics. Nanomaterials 2022, 12, 1237. [Google Scholar] [CrossRef]
- Akbar, N.S.; Ebaid, A.; Khan, Z. Numerical analysis of magnetic field effects on Eyring-Powell fluid flow towards a stretching sheet. J. Magn. Magn. Mater. 2015, 382, 355–358. [Google Scholar] [CrossRef]
- Nadeem, S.; Saleem, S. Mixed convection flow of Eyring-Powell fluid along a rotating cone. Results Phys. 2014, 4, 54–62. [Google Scholar] [CrossRef] [Green Version]
- Salawu, S.; Hassan, A.; Abolarinwa, A.; Oladejo, N. Thermal stability and entropy generation of unsteady reactive hydromagnetic Powell-Eyring fluid with variable electrical and thermal conductivities. Alex. Eng. J. 2019, 58, 519–529. [Google Scholar] [CrossRef]
- Powell, R.E.; Eyring, H. Mechanisms for the relaxation theory of viscosity. Nature 1944, 154, 427–428. [Google Scholar] [CrossRef]
- Bejan, A. A study of entropy generation in fundamental convective heat transfer. J. Heat Transf. 1979, 101, 718–725. [Google Scholar] [CrossRef]
- Bejan, A. Entropy Generation through Heat and Fluid Flow, 1st ed.; Wiley: New York, NY, USA, 1982; pp. 48–105. [Google Scholar]
- Khan, Z.; Rasheed, H.U.; Abbas, T.; Khan, W.; Khan, I.; Baleanu, D.; Nisar, K.S. Analysis of Eyring-Powell fluid flow used as a coating material for wire with variable viscosity effect along with thermal radiation and joule heating. Crystals 2020, 10, 168. [Google Scholar] [CrossRef] [Green Version]
- Raju, C.S.K.; Saleem, S.; Al-Qarni, M.M.; Upadhya, S.M. Unsteady nonlinear convection on Eyring-Powell radiated flow with suspended graphene and dust particles. Microsyst. Technol. 2018, 25, 1321–1331. [Google Scholar] [CrossRef]
- Ibrahim, W.; Gadisa, G. Finite element method solution of boundary layer flow of Powell-Eyring nanofluid over a nonlinear stretching surface. J. Appl. Math. 2019, 6, 1–16. [Google Scholar] [CrossRef]
- Sindhu, S.; Gireesha, B. Irreversibility analysis of nanofluid flow in a vertical microchannel with the influence of particle shape. J. Process Mech. Eng. 2021, 235, 312–320. [Google Scholar] [CrossRef]
- Adesanya, S.O.; Ogunseye, H.A.; Jangili, S. Unsteady squeezing flow of a radiative Eyring-Powell fluid channel flow with chemical reactions. Int. J. Therm. Sci. 2018, 125, 440–447. [Google Scholar] [CrossRef]
- Madhu, M.; Shashikumar, N.S.; Gireesha, B.J.; Kishan, N. Second law analysis of Powell-Eyring fluid flow through an inclined microchannel with thermal radiation. Phys. Scr. 2019, 94, 125205. [Google Scholar] [CrossRef]
- Nadeem, S.; Saleem, S. Series solution of unsteady Eyring-Powell nanofluid flow on a rotating cone. Indian J. Pure Appl. Phys. 2014, 52, 725–737. [Google Scholar]
- Gopal, D.; Naik, S.H.S.; Kishan, N.; Raju, C.S.K. The impact of thermal stratification and heat generation/absorption on MHD carreau nano fluid flow over a permeable cylinder. SN Appl. Sci. 2020, 2, 639. [Google Scholar] [CrossRef] [Green Version]
- Shehzad, S.A.; Madhu, M.; Shashikumar, N.S.; Gireesha, B.J.; Mahanthesh, B. Thermal and entropy generation of non-Newtonian magneto-Carreau fuid fow in microchannel. J. Therm. Anal. Calorim. 2021, 143, 2717–2727. [Google Scholar] [CrossRef]
- Rahimi, J.; Ganji, D.; Khaki, M.; Hosseinzadeh, K. Solution of the boundary layer flow of an Eyring-Powell non-Newtonian fluid over a linear stretching sheet by collocation method. Alex. Eng. J. 2017, 56, 621–627. [Google Scholar] [CrossRef] [Green Version]
- Gholinia, M.; Hosseinzadeh, K.; Mehrzadi, H.; Ganji, D.; Ranjbar, A. Investigation of MHD Eyring-Powell fluid flow over a rotating disk under effect of homogeneous-heterogeneous reactions. Case Stud. Therm. Eng. 2019, 13, 100356. [Google Scholar] [CrossRef]
- Hayat, T.; Tanveer, A.; Yasmin, H.; Alsaedi, A. Effects of convective conditions and chemical reaction on peristaltic flow of Eyring-Powell fluid. Appl. Bionics Biomech. 2014, 11, 221–233. [Google Scholar] [CrossRef] [Green Version]
- Dhlamini, M.; Kameswaran, P.K.; Sibanda, P.; Motsa, S.; Mondal, H. Activation energy and binary chemical reaction effects in mixed convective nanofluid flow with convective boundary conditions. J. Com. Des. Eng. 2019, 6, 149–158. [Google Scholar] [CrossRef]
- Reddy, S.R.R.; Reddy, P.B.A.; Rashad, A.M. Activation energy impact on chemically reacting Eyring-Powell nanofuid flow over a stretching cylinder. Arab. J. Sci. Eng. 2020, 45, 5227–5242. [Google Scholar] [CrossRef]
- Jagadha, S.; Degavath, G.; Kishan, N. Soret and Dufour effects of electrical MHD Nanofluid with higher order chemical reaction. Test Eng. Manag. 2020, 82, 2250–2259. [Google Scholar]
- Saleem, S.; AlQarni, M.M.; Nadeem, S.; Sandeep, N. Convective heat and mass transfer in magneto Jeffrey fluid flow on a rotating cone with heat source and chemical reaction. Commun. Theor. Phys. 2018, 70, 534–540. [Google Scholar] [CrossRef]
- Khan, M.; Ahmed, J.; Ali, W.; Nadeem, S. Chemically reactive swirling fow of viscoelastic nanofuid due to rotating disk with thermal radiations. Appl. Nanosci. 2020, 10, 5219–5232. [Google Scholar] [CrossRef]
- Gopal, G.; Firdous, H.; Saleem, S.; Kishan, N. Impact of convective heat transfer and buoyancy on micropolar fluid flow through a porous shrinking sheet: An FEM approach. Part C J. Mech. Eng. Sci. 2021, 236, 3974–3985. [Google Scholar] [CrossRef]
- Kumar, M.S.; Sandeep, N.; Kumar, B.R.; Saleem, S. A Comparative study of chemically reacting2D flow of Casson and Maxwell fluids. Alex. Eng. J. 2018, 57, 2027–2034. [Google Scholar] [CrossRef]
- Bhatti, M.M.; Öztop, H.F.; Ellahi, R.; Sarris, I.E.; Doranehgard, M. Insight into the investigation of diamond (C) and Silica (SiO2) nanoparticles suspended in water-based hybrid nanofluid with application in solar collector. J. Mol. Liq. 2022, 357, 119134. [Google Scholar] [CrossRef]
- Bhatti, M.; Bég, O.A.; Abdelsalam, S.I. Computational framework of magnetized MgO–Ni/water-based stagnation nanoflow past an elastic stretching surface: Application in solar energy coatings. Nanomaterials 2022, 12, 1049. [Google Scholar] [CrossRef]
- Saleem, S.; Animasaun, I.; Yook, S.-J.; Al-Mdallal, Q.M.; Shah, N.A.; Faisal, M. Insight into the motion of water conveying three kinds of nanoparticles shapes on a horizontal surface: Significance of thermo-migration and Brownian motion. Surf. Interfaces 2022, 30, 101854. [Google Scholar] [CrossRef]
- Gopal, D.; Saleem, S.; Jagadha, S.; Ahmad, F.; Almatroud, A.O.; Kishan, N. Numerical analysis of higher order chemical reaction on electrically MHD nanofluid under influence of viscous dissipation. Alex. Eng. J. 2020, 60, 1861–1871. [Google Scholar] [CrossRef]
- Gireesha, B.; Kumar, K.G.; Manjunatha, S. Impact of chemical reaction on MHD 3D flow of a nanofluid containing gyrotactic microorganism in the presence of uniform heat source/sink. Int. J. Chem. React. Eng. 2018, 16, 20180013. [Google Scholar] [CrossRef]
- Poonia, M.; Bhargava, R. Finite element study of Eyring-Powell fluid flow with convective boundary conditions. J. Thermophys. Heat Transf. 2014, 28, 499–506. [Google Scholar] [CrossRef]
- Reddy, C.S.; Kishan, N.; Madhu, M. Finite element analysis of Eyring-Powell nano fluid over an exponential stretching Sheet. Int. J. Appl. Comput. Math. 2018, 4, 8. [Google Scholar] [CrossRef]
- Sowmya, G.; Gireesha, B.J.; Madhu, M. Analysis of a fully wetted moving fin with temperature-dependent internal heat generation using the finite element method. Heat Transf. 2020, 49, 1939–1954. [Google Scholar] [CrossRef]
- Alsaedi, A.; Hayat, T.; Qayyum, S.; Yaqoob, R. Eyring-Powell nanofluid flow with nonlinear mixed convection: Entropy generation minimization. Comput. Methods Programs Biomed. 2020, 186, 105183. [Google Scholar] [CrossRef] [PubMed]
- Seyedi, S.H.; Saray, B.N.; Chamkha, A.J. Heat and mass transfer investigation of magnetohydrodynamic Eyring-Powell flow in a stretching channel with chemical reactions. Phys. A 2020, 544, 124109. [Google Scholar] [CrossRef]
- Waqas, M.; Jabeen, S.; Hayat, T.; Shehzad, S.; Alsaedi, A. Numerical simulation for nonlinear radiated Eyring-Powell nanofluid considering magnetic dipole and activation energy. Int. Commun. Heat Mass Transf. 2020, 112, 104401. [Google Scholar] [CrossRef]
- Ghadikolaei, S.S.; Hosseinzadeh, K.; Ganji, D.D. MHD raviative boundary layer analysis of micropolar dusty fluid with Graphene oxide (Go)-engine oil nanoparticles in a porous medium over a stretching sheet with joule heating effect. Powder Technol. 2020, 338, 425–437. [Google Scholar] [CrossRef]











| Number of Elements | f (2.4) | θ (2.4) | Φ (2.4) |
|---|---|---|---|
| 10 | 0.4115 | −0.0284 | 0.0143 |
| 20 | 0.4754 | −0.0049 | 0.0151 |
| 40 | 0.4918 | −0.0016 | 0.0153 |
| 80 | 0.4959 | −0.0007 | 0.0154 |
| 160 | 0.4970 | −0.0003 | 0.0154 |
| 320 | 0.4972 | −0.0002 | 0.0154 |
| 400 | 0.4973 | −0.0002 | 0.0154 |
| 500 | 0.4973 | −0.0002 | 0.0154 |
| 3 | 0.7 | 0.4 | 0.2 | 0.01 | 5 | 0.06 | −1.2016 | −4.2103 | 0.5117 |
| 5 | −0.8539 | −4.1688 | 0.5144 | ||||||
| 8 | −0.3326 | −4.1018 | 0.5182 | ||||||
| 1.1 | −1.6751 | −4.2636 | 0.5073 | ||||||
| 2.2 | −1.4742 | −4.2634 | 0.5050 | ||||||
| 3.3 | −1.2418 | −4.2625 | 0.5019 | ||||||
| 0.3 | 0.9156 | −0.7570 | 0.4802 | ||||||
| 0.6 | 0.5108 | −0.8081 | 0.4707 | ||||||
| 0.9 | 0.3409 | −0.8675 | 0.4620 | ||||||
| 0.1 | −1.4414 | −3.9755 | 0.5218 | ||||||
| 0.3 | −1.3104 | −3.8265 | 0.5272 | ||||||
| 0.5 | −1.0557 | −3.5509 | 0.5360 | ||||||
| 2 | −1.7167 | −1.5205 | 0.3393 | ||||||
| 4 | −1.7194 | −2.5978 | 0.1531 | ||||||
| 8 | −1.7226 | −2.6844 | 0.0361 | ||||||
| 5 | −1.7204 | −4.6232 | 0.0573 | ||||||
| 10 | −1.7214 | −6.3809 | 0.2759 | ||||||
| 20 | −1.7227 | −8.1039 | 0.3883 | ||||||
| 0.02 | −1.7229 | −9.3079 | 0.8828 | ||||||
| 0.04 | −1.7228 | −9.4305 | 0.9408 | ||||||
| 0.08 | −1.7227 | −9.6344 | 1.0374 |
Publisher’s Note: MDPI stays neutral with regard to jurisdictional claims in published maps and institutional affiliations. |
© 2022 by the authors. Licensee MDPI, Basel, Switzerland. This article is an open access article distributed under the terms and conditions of the Creative Commons Attribution (CC BY) license (https://creativecommons.org/licenses/by/4.0/).
Share and Cite
Saleem, S.; Gopal, D.; Shah, N.A.; Feroz, N.; Kishan, N.; Chung, J.D.; Safdar, S. Modelling Entropy in Magnetized Flow of Eyring–Powell Nanofluid through Nonlinear Stretching Surface with Chemical Reaction: A Finite Element Method Approach. Nanomaterials 2022, 12, 1811. https://doi.org/10.3390/nano12111811
Saleem S, Gopal D, Shah NA, Feroz N, Kishan N, Chung JD, Safdar S. Modelling Entropy in Magnetized Flow of Eyring–Powell Nanofluid through Nonlinear Stretching Surface with Chemical Reaction: A Finite Element Method Approach. Nanomaterials. 2022; 12(11):1811. https://doi.org/10.3390/nano12111811
Chicago/Turabian StyleSaleem, Salman, Degavath Gopal, Nehad Ali Shah, Nosheen Feroz, Naikoti Kishan, Jae Dong Chung, and Saleha Safdar. 2022. "Modelling Entropy in Magnetized Flow of Eyring–Powell Nanofluid through Nonlinear Stretching Surface with Chemical Reaction: A Finite Element Method Approach" Nanomaterials 12, no. 11: 1811. https://doi.org/10.3390/nano12111811
APA StyleSaleem, S., Gopal, D., Shah, N. A., Feroz, N., Kishan, N., Chung, J. D., & Safdar, S. (2022). Modelling Entropy in Magnetized Flow of Eyring–Powell Nanofluid through Nonlinear Stretching Surface with Chemical Reaction: A Finite Element Method Approach. Nanomaterials, 12(11), 1811. https://doi.org/10.3390/nano12111811

