Effects of Current Annealing on Thermal Conductivity of Carbon Nanotubes
Abstract
:1. Introduction
2. Materials and Methods
2.1. Experimental Materials
2.2. Transient Electro-Thermal Technique
2.3. Experimental Procedure
3. Results and Discussions
3.1. Results
3.1.1. Positive Effect of Annealing on CNTB1
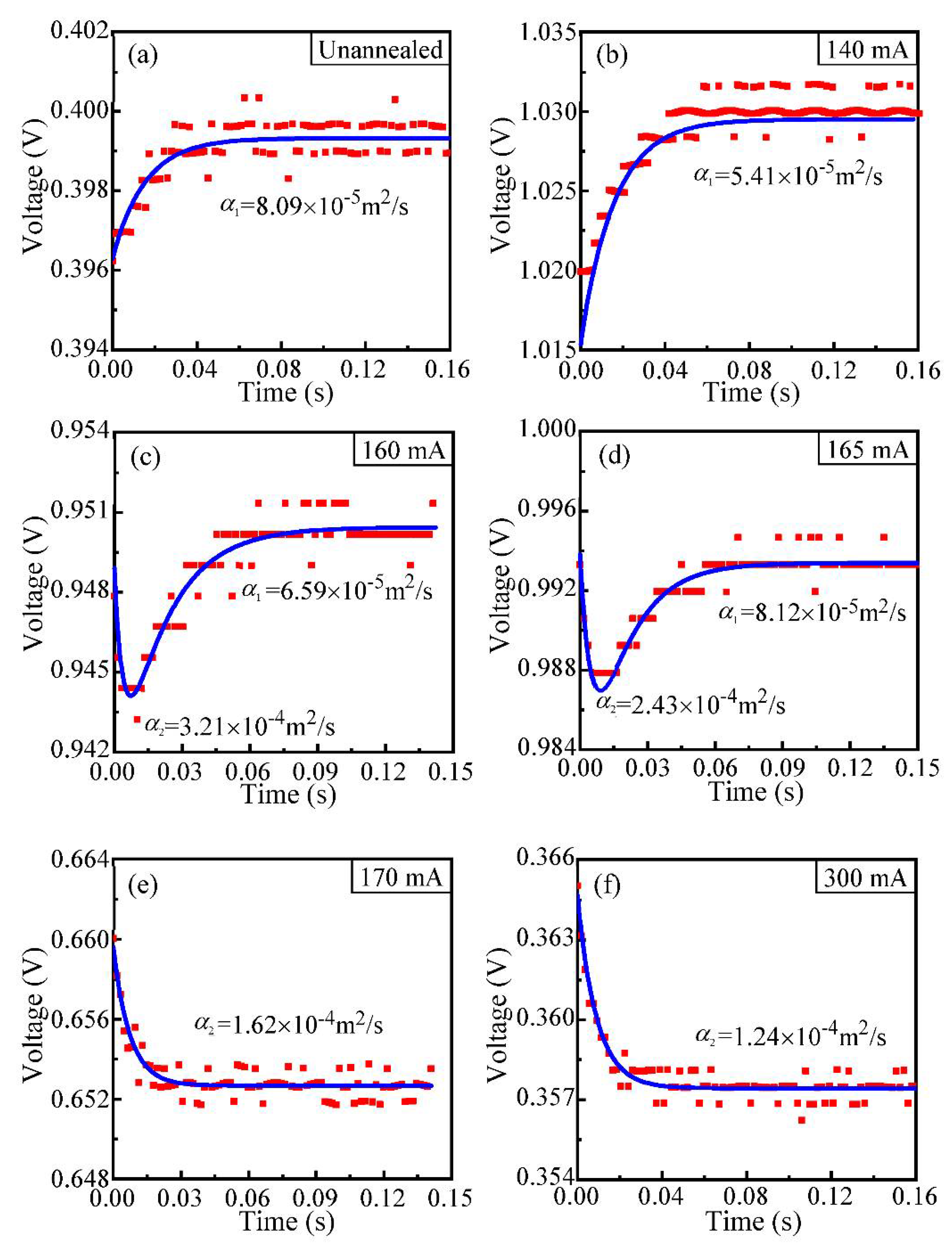
3.1.2. Observation of Thermal Diffusivity Jump on CNTB2 and CNTF
3.1.3. Transient Annealing Behavior
3.1.4. Temperature Distribution and Thermal Conductivity Change of CNTB
3.1.5. Temperature Distribution and Thermal Conductivity Change of CNTF
3.2. Discussions
3.2.1. Mechanism of Phonon Scattering
3.2.2. Effects on Thermal Conductivity
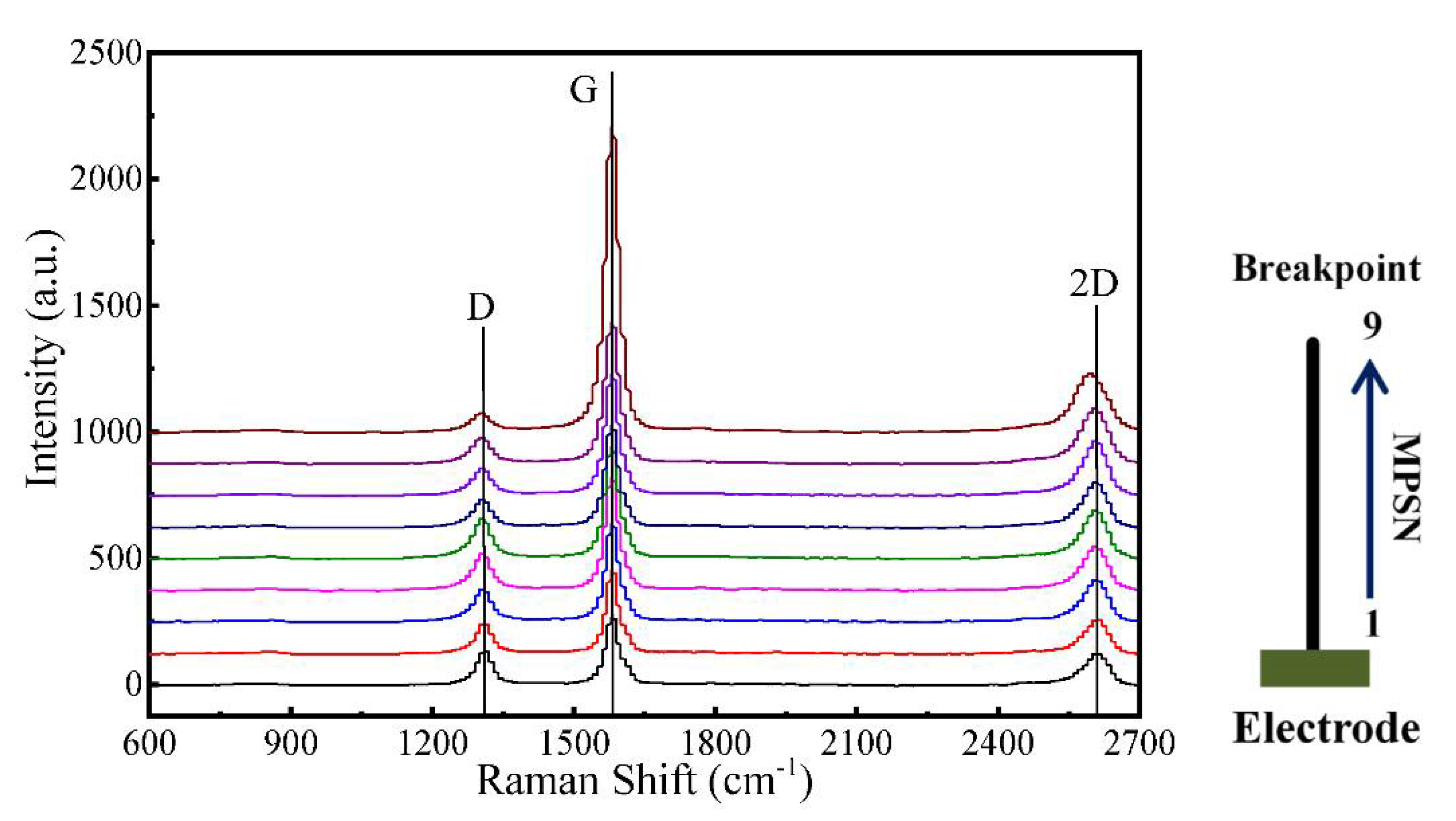
3.2.3. Effects of Annealing on Structure
4. Conclusions
Author Contributions
Funding
Institutional Review Board Statement
Informed Consent Statement
Data Availability Statement
Acknowledgments
Conflicts of Interest
References
- Wu, Q.; Li, M.; Gu, Y.; Li, Y.; Zhang, Z. Nano-analysis on the structure and chemical composition of the interphase region in carbon fiber composite. Compos. Part A Appl. Sci. Manuf. 2014, 56, 143–149. [Google Scholar] [CrossRef]
- Sun, X.M.; Sun, H.; Li, H.; Peng, H. Developing Polymer Composite Materials: Carbon Nanotubes or Graphene? Adv. Mater. 2013, 25, 5153–5176. [Google Scholar] [CrossRef]
- Yamamoto, G.; Suk, J.W.; An, J.; Piner, R.D.; Hashida, T.; Takagi, T.; Ruoff, R.S. The influence of nanoscale defects on the fracture of multi-walled carbon nanotubes under tensile loading. Diam. Relat. Mater. 2010, 19, 748–751. [Google Scholar] [CrossRef]
- Wei, R.Z.; Li, F.Y.; Yan, J. Preparation of Carbon Nanotubes from Methane on Ni/Cu/Al Catalyst. J. Nat. Gas Chem. 2005, 14, 173–176. [Google Scholar]
- Xin, W.; Sarasini, F.; Tirillò, J.; Bavasso, I.; Sbardella, F.; Lampani, L.; De Rosa, I. Impact and post-impact properties of multiscale carbon fiber composites interleaved with carbon nanotube sheets. Compos. Part B Eng. 2019, 183, 107711. [Google Scholar] [CrossRef]
- Hasan, M.; Zhao, J.; Jiang, Z. Micromanufacturing of composite materials: A review. Int. J. Extreme Manuf. 2019, 1, 012004. [Google Scholar] [CrossRef]
- Futaba, D.; Hata, K.; Yamada, T.; Hiraoka, T.; Hayamizu, Y.; Kakudate, Y.; Tanaike, O.; Hatori, H.; Yumura, M.; Iijima, S. Shape-engineerable and highly densely packed single-walled carbon nanotubes and their application as super-capacitor electrodes. Nat. Mater. 2006, 5, 987–994. [Google Scholar] [CrossRef]
- Feng, Z.-H.; Fan, Z.; Kong, Q.; Xiong, X.; Huang, B.-Y. Effect of high temperature treatment on the structure and thermal conductivity of 2D carbon/carbon composites with a high thermal conductivity. Carbon 2014, 82, 608. [Google Scholar] [CrossRef]
- Silvain, J.-F.; Heintz, J.-M.; Veillere, A.; Constantin, L.; Lu, Y.F. A review of processing of Cu/C base plate composites for interfacial control and improved properties. Int. J. Extrem. Manuf. 2020, 2, 012002. [Google Scholar] [CrossRef]
- Chen, C.-M.; Huang, J.-Q.; Zhang, Q.; Gong, W.-Z.; Yang, Q.-H.; Wang, M.-Z.; Yang, Y.-G. Annealing a graphene oxide film to produce a free standing high conductive graphene film. Carbon 2012, 50, 659–667. [Google Scholar] [CrossRef]
- Mayhew, E.; Prakash, V. Thermal conductivity of individual carbon nanofibers. Carbon 2013, 62, 493–500. [Google Scholar] [CrossRef]
- Lin, H.; Liu, X.; Kou, A.; Xu, S.; Dong, H. One-Dimensional Thermal Characterization at the Micro/Nanoscale: Review of the TET Technique. Int. J. Thermophys. 2019, 40, 108. [Google Scholar] [CrossRef]
- Liu, G.; Xu, S.; Cao, T.-T.; Lin, H.; Tang, X.; Zhang, Y.-Q.; Wang, X. Thermally induced increase in energy transport capacity of silkworm silks. Biopolymers 2014, 101, 1029–1037. [Google Scholar] [CrossRef] [PubMed]
- Xu, S.; Zobeiri, H.; Hunter, N.; Zhang, H.; Eres, G.; Wang, X. Photocurrent in carbon nanotube bundle: graded seebeck coefficient phenomenon. Nano Energy 2021, 86, 106054. [Google Scholar] [CrossRef]
- Smith, K.M.; Holroyd, P. Engineering Principles for Electrical Technicians, Introduction to Electrical Units and Circuits—ScienceDirect. In Engineering Principles for Electrical Technician; Elsevier: Amsterdam, The Netherlands, 1968; pp. 175–195. [Google Scholar]
- Wang, Y.; Ni, X.-G.; Wang, X.X.; Wu, H.-A. Effect of temperature on deformation of carbon nanotube under compression. Chin. Phys. 2003, 12, 1007–1010. [Google Scholar]
- Balkanski, M. Physical Properties of Carbon Nanotubes; Saito, R., Dresselhaus, G., Dresselhaus, M.S., Eds.; Imperial College Press: London, UK, 1998. [Google Scholar]
- Balandin, A.A. Thermal properties of graphene and nanostructured carbon materials. Nat. Mater. 2011, 10, 569–581. [Google Scholar] [CrossRef] [PubMed] [Green Version]
- Liu, J.; Wang, T.; Xu, S.; Yuan, P.; Xu, X.; Wang, X. Thermal conductivity of giant mono- to few-layered CVD graphene supported on an organic substrate. Nanoscale 2016, 8, 10298–10309. [Google Scholar] [CrossRef] [PubMed]
- Wang, Y.; Wang, X.-X.; Ni, X.-G.; Wu, H.-A. Simulation of the elastic response and the buckling modes of single-walled carbon nanotubes. Comput. Mater. Sci. 2005, 32, 141–146. [Google Scholar] [CrossRef]
- Charlier, J.-C.; Michenaud, J.-P. Energetics of multilayered carbon tubules. Phys. Rev. Lett. 1993, 70, 1858–1861. [Google Scholar] [CrossRef]
- Chen, Z.H. Overview of the structure of carbon nanotubes. J. Fujian Inst. Educ. 2003, 4, 76–83. [Google Scholar]
- Kim, Y.A.; Hayashi, T.; Osawa, K.; Dresselhaus, M.; Endo, M. Annealing effect on disordered multi-wall carbon nanotubes. Chem. Phys. Lett. 2003, 380, 319–324. [Google Scholar] [CrossRef]
- Gong, Q.J. Effect of Annealing on the Purity and Microstructure of Disorder Carbon Nanotubes. Rare Met. Mater. Eng. 2007, 36, 269–272. [Google Scholar]
- Feng, D.L.; Feng, Y.H.; Chen, Y.; Li, W.; Zhang, X.-X. Effects of doping, Stone Wales and vacancy defects on thermal conductivity of single-wall carbon nanotubes. Chin. Phys. B 2013, 22, 016501. [Google Scholar] [CrossRef]
- Kim, P.; Shi, L.; Majumdar, A.; McEuen, P.L. Thermal Transport Measurements of Individual Multiwalled Nanotubes. Phys. Rev. Lett. 2001, 87, 215502. [Google Scholar] [CrossRef] [PubMed] [Green Version]
- Liu, F.-J.; Fan, L.-D.; Wang, H.-J.; Zhu, Z.-P. Study on the skin-core evolvement of carbon fibers as a function of heat treatment temperature by Raman spectroscopy. Guang Pu 2008, 28, 1819–1822. [Google Scholar]










| Sample | Ia (×10−3 A) | αeff (×10−5 m2/s) |
|---|---|---|
| CNTB1 | 0 | 6.52 |
| 90 | 6.53 | |
| 120 | 6.85 | |
| 150 | 7.34 | |
| 180 | 8.27 | |
| 200 | 8.71 |
| Sample | Ia ×10−3 A | Low-Level Thermal Diffusivity after Annealing | High-Level Thermal Diffusivity after Annealing | Low-Level Thermal Diffusivity before Annealing | High-Level Thermal Diffusivity before Annealing |
|---|---|---|---|---|---|
| ×10−5 m2/s | ×10−5 m2/s | ||||
| CNTB2 | 40 | 7.89 | 8.09 | ||
| 100 | 6.79 | ||||
| 140 | 5.41 | ||||
| 150 | 13.02 | 13.72 | |||
| 160 | 6.59 | 32.01 | |||
| 165 | 8.12 | 24.02 | |||
| 170 | 16.25 | ||||
| 210 | 13.72 | ||||
| 300 | 12.38 | ||||
| CNTF | 300 | 4.27 | 18.90 | 3.45 | 21.19 |
| 350 | 5.10 | 19.63 | |||
| 400 | 4.94 | 18.95 | |||
| 450 | 9.93 | ||||
| 675 | 8.20 | ||||
| 720 | 7.05 | ||||
Publisher’s Note: MDPI stays neutral with regard to jurisdictional claims in published maps and institutional affiliations. |
© 2021 by the authors. Licensee MDPI, Basel, Switzerland. This article is an open access article distributed under the terms and conditions of the Creative Commons Attribution (CC BY) license (https://creativecommons.org/licenses/by/4.0/).
Share and Cite
Lin, H.; Xu, J.; Shen, F.; Zhang, L.; Xu, S.; Dong, H.; Luo, S. Effects of Current Annealing on Thermal Conductivity of Carbon Nanotubes. Nanomaterials 2022, 12, 83. https://doi.org/10.3390/nano12010083
Lin H, Xu J, Shen F, Zhang L, Xu S, Dong H, Luo S. Effects of Current Annealing on Thermal Conductivity of Carbon Nanotubes. Nanomaterials. 2022; 12(1):83. https://doi.org/10.3390/nano12010083
Chicago/Turabian StyleLin, Huan, Jinbo Xu, Fuhua Shen, Lijun Zhang, Shen Xu, Hua Dong, and Siyi Luo. 2022. "Effects of Current Annealing on Thermal Conductivity of Carbon Nanotubes" Nanomaterials 12, no. 1: 83. https://doi.org/10.3390/nano12010083
APA StyleLin, H., Xu, J., Shen, F., Zhang, L., Xu, S., Dong, H., & Luo, S. (2022). Effects of Current Annealing on Thermal Conductivity of Carbon Nanotubes. Nanomaterials, 12(1), 83. https://doi.org/10.3390/nano12010083
