Facile Synthesis of Silver Nanoparticles and Preparation of Conductive Ink
Abstract
:1. Introduction
2. Materials and Methods
2.1. Materials
2.2. Preparing the AgNPs and Ag Conductive Ink
2.3. Printing Conductive Patterns
2.4. Characteristics of the Nanoparticles and Electrical Properties of Conductive Ink Material
3. Results and Discussion
3.1. Synthesis of Ag Nanoparticles
3.1.1. Effect of the Reaction Time
3.1.2. Effect of Reaction Temperature
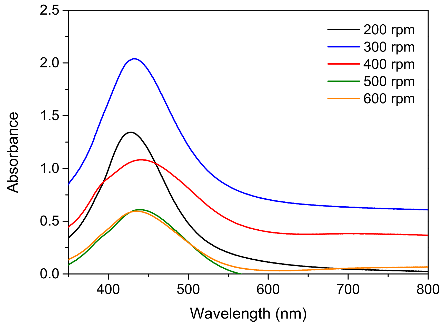
3.1.3. Effect of Rotation Speed
3.1.4. Effect of pH
3.2. Ag Conductive Ink
3.2.1. Effect of Sintering Temperature and Time
3.2.2. Effect of Printing Times
4. Conclusions
Author Contributions
Funding
Institutional Review Board Statement
Informed Consent Statement
Data Availability Statement
Acknowledgments
Conflicts of Interest
References
- Beyene, H.D.; Werkneh, A.A.; Bezabh, H.K.; Ambaye, T.G. Synthesis paradigm and applications of silver nanoparticles (AgNPs), a review. Sustain. Mater. Technol. 2017, 13, 18–23. [Google Scholar] [CrossRef]
- Matsuhisa, N.; Inoue, D.; Zalar, P.; Jin, H.; Matsuba, Y.; Itoh, A.; Yokota, T.; Hashizume, D.; Someya, T. Printable elastic conductors by in situ formation of silver nanoparticles from silver flakes. Nat. Mater. 2017, 16, 834–840. [Google Scholar] [CrossRef]
- Jayarambabu, N.; Akshaykranth, A.; Rao, T.V.; Rao, K.V.; Kumar, R.R. Green synthesis of Cu nanoparticles using curcuma longa extract and their application in antimicrobial activity. Mater. Lett. 2020, 259, 126813. [Google Scholar] [CrossRef]
- Bapat, R.A.; Chaubal, T.V.; Joshi, C.P.; Bapat, P.R.; Choudhury, H.; Pandey, M.; Gorain, B.; Kesharwani, P. An overview of application of silver nanoparticles for biomaterials in dentistry. Mater. Sci. Eng. C 2018, 91, 881–898. [Google Scholar] [CrossRef]
- Campos, A.; Troc, N.; Cottancin, E.; Pellarin, M.; Weissker, H.C.; Lerme, J.; Kociak, M.; Hillenkamp, M. Plasmonic quantum size effects in silver nanoparticles are dominated by interfaces and local environments. Nat. Phys. 2019, 15, 275–280. [Google Scholar] [CrossRef]
- Ma, L.; Su, W.; Liu, J.X.; Zeng, X.X.; Huang, Z.; Li, W.; Liu, Z.C.; Tang, J.X. Optimization for extracellular biosynthesis of silver nanoparticles by penicillium aculeatum su1 and their antimicrobial activity and cytotoxic effect compared with silver ions. Mater. Sci. Eng. C 2017, 77, 963–971. [Google Scholar] [CrossRef]
- Delgado-Beleno, Y.; Martinez-Nunez, C.E.; Cortez-Valadez, M.; Flores-Lopez, N.S.; Flores-Acosta, M. Optical properties of silver, silver sulfide and silver selenide nanoparticles and antibacterial applications. Mater. Res. Bull. 2018, 99, 385–392. [Google Scholar] [CrossRef]
- Messih, M.F.A.; Ahmed, M.A.; Soltan, A.; Anis, S.S. Facile approach for homogeneous dispersion of metallic silver nanoparticles on the surface of mesoporous titania for photocatalytic degradation of methylene blue and indigo carmine dyes. J. Photochem. Photobiol. A 2017, 335, 40–51. [Google Scholar] [CrossRef]
- Zhang, X.M.; Yang, X.L.; Wang, K.Y. Electrical conductivity enhancement of epoxy by hybrid carbon nanotubes and self-made silver nanoparticles. Fibers Polym. 2019, 20, 1480–1485. [Google Scholar] [CrossRef]
- Arrese, J.; Vescio, G.; Xuriguera, E.; Medina-Rodriguez, B.; Cornet, A.; Cirera, A. Flexible hybrid circuit fully inkjet-printed: Surface mount devices assembled by silver nanoparticles-based inkjet ink. J. Appl. Phys. 2017, 121, 104904. [Google Scholar] [CrossRef] [Green Version]
- Shao, W.; Li, G.; Zhu, P.; Zhang, Y.; Ouyang, Q.; Sun, R.; Chen, C.; Wong, C.P. Facile synthesis of low temperature sintering Ag nanopaticles for printed flexible electronics. J. Mater. Sci. Mater. Electron. 2018, 29, 4432–4440. [Google Scholar] [CrossRef]
- Yaqoob, A.A.; Umar, K.; Ibrahim, M.N.M. Silver nanoparticles: Various methods of synthesis, size affecting factors and their potential applications—A review. Appl. Nanosci. 2020, 10, 1369–1378. [Google Scholar] [CrossRef]
- Jamkhande, P.G.; Ghule, N.E.; Bamer, A.H.; Kalaskar, M.G. Metal nanoparticles synthesis: An overview on methods of preparation, advantages and disadvantages, and applications. J. Drug Deliv. Sci. Technol. 2019, 53, 101174. [Google Scholar] [CrossRef]
- Souza, C.D.D.; Nogueira, B.R.; Rostelato, M.E.C.M. Review of the methodologies used in the synthesis gold nanoparticles by chemical reduction. J. Alloys Compd. 2019, 798, 714–740. [Google Scholar] [CrossRef]
- Cheng, Y.; Wang, F.; Fang, C.; Su, J.; Yang, L. Preparation and characterization of size and morphology controllable silver nanoparticles by citrate and tannic acid combined reduction at a low temperature. J. Alloys Compd. 2016, 658, 684–688. [Google Scholar] [CrossRef]
- Das, S.; Bandyopadhyay, K.; Ghosh, M.M. Effect of stabilizer concentration on the size of silver nanoparticles synthesized through chemical route. Inorg. Chem. Commun. 2021, 123, 108319. [Google Scholar] [CrossRef]
- Nie, X.; Wang, H.; Zou, J. Inkjet printing of silver citrate conductive ink on PET substrate. Appl. Surf. Sci. 2012, 261, 554–560. [Google Scholar] [CrossRef]
- Zhang, Y.; Zhu, P.; Li, G.; Zhao, T.; Fu, X.; Sun, R.; Zhou, F.; Wong, C. Facile preparation of monodisperse, impurity-free, and antioxidation copper nanoparticles on a large scale for application in conductive ink. ACS Appl. Mater. Interfaces 2013, 6, 560–567. [Google Scholar] [CrossRef]
- Dai, X.; Xu, W.; Zhang, T.; Shi, H.; Wang, T. Room temperature sintering of Cu-Ag core-shell nanoparticles conductive inks for printed electronics. Chem. Eng. J. 2019, 364, 310–319. [Google Scholar] [CrossRef]
- Wu, Y.; Wang, Z.; Zhao, X.; Tan, M.T. Size and surface effects on chemically-induced joining of Ag conductive inks. CrystEngComm 2018, 20, 6300–6309. [Google Scholar] [CrossRef]
- Kawaguchi, Y.; Hotta, Y.; Kawasaki, H. Cu-based composite inks of a self-reductive Cu complex with Cu flakes for the production of conductive Cu films on cellulose paper. Mater. Chem. Phys. 2019, 197, 87–93. [Google Scholar] [CrossRef]
- Li, W.; Cen, Q.; Li, W.; Zhao, Z.; Yang, W.; Li, Y.; Chen, M.; Yang, G.; Yang, J. A green method for synthesizing novel nanoparticles and their application in flexible conductive patterns. J. Mater. 2020, 6, 300–307. [Google Scholar] [CrossRef]
- Murtaza, M.; Hussain, N.; Liu, J.; Wu, H. Facile and high-yield replacement reaction-assisted synthesis of silver dendrites by jet for conductive ink. Langmuir 2019, 35, 12400–12406. [Google Scholar] [CrossRef]
- Yang, W.; List-Kratochvil, J.W.; Wang, C. Metal particle-free inks for printed flexible electronics. J. Mater. Chem. A 2019, 7, 15098–15117. [Google Scholar] [CrossRef]
- Xu, L.Y.; Yang, G.Y.; Jing, H.Y.; Wei, J.; Han, Y.D. Ag-graphene hybrid conductive ink for writing electronics. Nanotechnology 2014, 25, 055201. [Google Scholar] [CrossRef] [Green Version]
- Cao, L.; Bai, X.; Lin, Z.; Zhang, P.; Deng, S.; Du, X.; Li, W. The preparation of Ag nanoparticle and ink used for inkjet printing of paper based conductive patterns. Materials 2017, 10, 1004. [Google Scholar] [CrossRef]
- Hong, G.B.; Luo, Y.H.; Chuang, K.J.; Ma, C.M. Preparing and applying silver nanoparticles in conductive ink and inkjet painting. J. Nanosci. Nanotechnol. 2021, 21, 5979–5986. [Google Scholar] [CrossRef]
- Rafey, A.; Shrivastavaa, K.B.L.; Iqbal, S.A.; Khan, Z. Growth of Ag-nanoparticles using aspartic acid in aqueous solutions. J. Colloid Interface Sci. 2011, 354, 190–195. [Google Scholar] [CrossRef]
- Restrepo, C.V.; Villa, C.V. Synthesis of silver nanoparticles, influence of capping agents, and dependence on size and shape: A review. Environ. Nanotechnol. Monit. Manag. 2021, 15, 100428. [Google Scholar] [CrossRef]
- Ranoszek-Soliwoda, K.; Tomaszewska, E.; Socha, E.; Krzyczmonik, P.; Ignaczak, A.; Orlowski, P.; Krzyżowska, M.; Celichowski, G.; Grobelny, J. The role of tannic acid and sodium citrate in the synthesis of silver nanoparticles. J. Nanoparticle Res. 2017, 19, 273. [Google Scholar] [CrossRef]
- Luu, T.L.A.; Cao, X.T.; Nguyen, V.T.; Pham, N.L.; Nguyen, H.L.; Nguyen, C.T. Simple controlling ecofriendly synthesis of silver nanoparticles at room temperature using lemon juice extract and commercial rice vinegar. J. Nanotechnol. 2020, 2020, 3539701. [Google Scholar] [CrossRef]
- Aboelfetoh, E.F.; El-Shenody, R.A.; Ghobara, M.M. Eco-friendly synthesis of silver nanoparticles using green algae (Caulerpa serrulata): Reaction optimization, catalytic and antibacterial activities. Environ. Monit. Assess. 2017, 189, 349. [Google Scholar] [CrossRef]
- Selvakumar, P.; Sithara, R.; Viveka, K.; Sivashanmugam, P. Green synthesis of silver nanoparticles using leaf extract of Acalypha hispida and its application in blood compatibility. J. Photochem. Photobiol. B Biol. 2018, 182, 52–61. [Google Scholar] [CrossRef]
- Qin, Y.; Ji, X.; Jing, J.; Liu, H.; Wu, H.; Yang, W. Size control over spherical silver nanoparticles by ascorbic acid reduction. Aspects Colloids Surf. A Physicochem. Eng. Asp. 2010, 372, 172–176. [Google Scholar] [CrossRef]
- Roberson, D.A.; Wicker, R.B.; Murr, L.E.; Church, K.; MacDonald, E. Microstructural and process characterization of conductive traces printed from Ag particulate inks. Materials 2011, 4, 963–979. [Google Scholar] [CrossRef] [PubMed]











Publisher’s Note: MDPI stays neutral with regard to jurisdictional claims in published maps and institutional affiliations. |
© 2022 by the authors. Licensee MDPI, Basel, Switzerland. This article is an open access article distributed under the terms and conditions of the Creative Commons Attribution (CC BY) license (https://creativecommons.org/licenses/by/4.0/).
Share and Cite
Hong, G.B.; Luo, Y.H.; Chuang, K.J.; Cheng, H.Y.; Chang, K.C.; Ma, C.M. Facile Synthesis of Silver Nanoparticles and Preparation of Conductive Ink. Nanomaterials 2022, 12, 171. https://doi.org/10.3390/nano12010171
Hong GB, Luo YH, Chuang KJ, Cheng HY, Chang KC, Ma CM. Facile Synthesis of Silver Nanoparticles and Preparation of Conductive Ink. Nanomaterials. 2022; 12(1):171. https://doi.org/10.3390/nano12010171
Chicago/Turabian StyleHong, Gui Bing, Yi Hua Luo, Kai Jen Chuang, Hsiu Yueh Cheng, Kai Chau Chang, and Chih Ming Ma. 2022. "Facile Synthesis of Silver Nanoparticles and Preparation of Conductive Ink" Nanomaterials 12, no. 1: 171. https://doi.org/10.3390/nano12010171
APA StyleHong, G. B., Luo, Y. H., Chuang, K. J., Cheng, H. Y., Chang, K. C., & Ma, C. M. (2022). Facile Synthesis of Silver Nanoparticles and Preparation of Conductive Ink. Nanomaterials, 12(1), 171. https://doi.org/10.3390/nano12010171

