Effect of Bismuth Ferrite Nanometer Filler Element Doping on the Surface Insulation Properties of Epoxy Resin Composites
Abstract
:1. Introduction
2. Materials and Methods
2.1. Materials
2.2. Preparation of BiFeO3 Nanoparticles
- Take Bi(NO3)3·5H2O and Fe(NO3)3·9H2O with a molar ratio of 1:1 and dissolve them in ethylene glycol with a concentration of 1mol/L;
- Add tartaric acid (TA) to the solution, and the molar ratio of Bi(NO3)3·5H2O, Fe(NO3)3·9H2O and TA is 1:1:1, and the magnetic agitator was used to stir the mixture for 12 h at room temperature to make the nitrate fully dissolved. Third bullet;
- Transfer the mixture to the fume hood and stir in the oil bath at 60 °C for 36 h. After full volatilization of glycol, the solvent can form a dry gel;
- Grind the dry gel into powder, place it in a quartz boat, and push it into a tubular furnace for heating at a heating rate of 5 °C/min. After holding at 120 °C for 1 h, 300 °C for 2 h, and 600 °C for 2 h, the dry gel is extracted and quickly cooled to room temperature;
- Wash twice with dilute nitric acid with 10% volume fraction (to remove the Bi oxide or Bi salt overproduced by Bi(NO3)3), and then wash twice with deionized water (to remove the nitrate ion introduced by nitric acid).
2.3. Preparation of Epoxy Resin Composites
- The prepared BFO nanofillers were placed in a beaker, and DGEBA was added. The BFO nanofillers were mechanically stirred for 60 min in an oil bath environment at 60 °C and dispersed by ultrasonic for 30 min to make the fillers fully dispersed in the resin;
- The curing agent MTPHA and accelerator DMP-30 were added, and the mass ratio of DGEBA, MTPHA, and DMP-30 was 100:80:1, and the mixed suspension was fully stirred for 30 min and degassed;
- The mixed suspension was placed in the polytetrafluoroethylene (PTFE) mold, and gradient curing was performed at 80 °C/1 h + 100 °C/10 h. After cooling to room temperature, the mold was stripped to obtain the BFO/EP epoxy resin composite material sample.
2.4. Flashover Voltage and Surface Charge Dissipation Test
- Put the EP composite material in deionized water and clean it with an ultrasonic cleaner for 10 min;
- Put the sample in the drying oven, and wear disposable gloves to transfer the sample after the sample is completely dry;
- The sample is placed on the sample table, and operate the two-dimensional moving device by placing the needle-needle electrode in the center of the sample with good contact;
- Start the high-voltage power supply with a pressure gradient of 100 V/s until flashover occurs along the surface.
- Place the sample to be tested in deionized water, ultrasonically clean it for 10 min, and then dry it in a drying oven at 60 °C;
- Place the dried sample on the stage and perform a surface charge test on the surface of the sample. If the surface potential of the sample is not zero, the sample can be continued to be placed in the 60 °C drying oven until the surface potential of the sample is 0. In this way, it is ensured that no charge is accumulated on the sample surface;
- Move the charging pin above the surface of the sample, and the charging pin is 2 mm away from the sample. Apply a negative DC voltage with an amplitude of 7 kV to the charging pin, and charge the sample for 1 min;
- Remove the charging pin immediately after charging is completed.
3. Results and Discussions
3.1. Characterization of BFO Nano-Filler and EP Composite
3.2. Experimental Results of Flashover Voltage
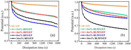
3.3. Effect of BFO Element Doping on Charge Dissipation Characteristics of EP Composites
3.4. Effect of BFO Element Doping on the Trap Characteristics of EP Composites
4. Conclusions
Author Contributions
Funding
Data Availability Statement
Conflicts of Interest
References
- Xie, Q.; Liu, X.; Wu, G.L.; Wang, Q.; Huang, H.; Shao, T. Experiment study of surface flashover on epoxy resin discharged by nanosecond pulses in SF6. Proc. CSEE 2016, 36, 6727–6735, 6926. [Google Scholar]
- Guo, Y.; He, J.; Wang, H.; Su, Z.; Qu, Q.; Tian, R.; Tian, X.; Li, X. Boron nitride-graphene sponge as skeleton filled with epoxy resin for enhancing thermal conductivity and electrical insulation. Polym. Compos. 2019, 40, E1600–E1611. [Google Scholar] [CrossRef]
- Manika, G.; Psarras, G. Barium titanate/epoxy resin composite nanodielectrics as compact capacitive energy storing systems. Express Polym. Lett. 2019, 13, 749–758. [Google Scholar] [CrossRef]
- Kuschel, M.; Wallner, C.; Gerer, A. The latest GIS and GIL developments for high-voltage applications. In Proceedings of the 2008 International Conference on High Voltage Engineering and Application, Chongqing, China, 9–13 November 2008; pp. 56–59. [Google Scholar]
- Zhou, H.Y.; Ma, G.M.; Liu, S.B.; Li, C.R.; Zhao, S.J.; Tu, Y.P.; Qin, S.C. Study on Surface Charges Accumulation on Insulator and Its Effects on the Surface Electrical Field in DC-GIL with Electro-thermal Coupling Model. Proc. CSEE 2017, 37, 1251–1260. [Google Scholar]
- Tao, L.H.; Sun, C.; Li, X.K.; Hao, S.G.; Peng, Y.; Zhang, W.Z.; Qu, X.; Ding, Y.J.; Zhao, Y.Y.; Jian, H.Z.; et al. Study on the Practical Technology for ±1100 kV UHVDC Transmission Line Live Working. Proc. CSEE 2020, 40, 134–139. [Google Scholar]
- Huang, D.; Shu, Y.; Ruan, J.; Hu, Y. Ultra high voltage transmission in China: Developments, current status and future prospects. Proc. IEEE 2009, 97, 555–583. [Google Scholar] [CrossRef]
- Du, B.; Xing, Y. Surface potential behavior of fluorinated polyimide film under low temperature. IEEE Trans. Dielectr. Electr. Insul. 2016, 23, 121–128. [Google Scholar] [CrossRef]
- Wang, Q.; Zhang, G.; Wang, X. Characteristics and mechanisms of surface charge accumulation on a cone-type insulator under DC voltage. IEEE Trans. Dielectr. Electr. Insul. 2012, 19, 150–155. [Google Scholar] [CrossRef]
- Li, C.R.; Ding, L.J.; Lv, J.Z.; Tu, Y.P.; Cheng, Y.C. The relation of trap distribution of alumina with surface flashover performance in vacuum. IEEE Trans. Dielectr. Electr. Insul. 2006, 13, 79–84. [Google Scholar]
- Du, B.; Xiao, M. Influence of surface charge on DC flashover characteristics of epoxy/BN nanocomposites. IEEE Trans. Dielectr. Electr. Insul. 2014, 21, 529–536. [Google Scholar] [CrossRef]
- Zhang, C.; Ma, Y.; Kong, F.; Yan, P.; Chang, C.; Shao, T. Atmospheric pressure plasmas and direct fluorination treatment of Al2O3-filled epoxy resin: A comparison of surface charge dissipation. Surface Coat. Technol. 2019, 362, 1–11. [Google Scholar] [CrossRef]
- Li, S.; Huang, Q.; Sun, J.; Zhang, T.; Li, J. Effect of traps on surface flashover of XLPE in vacuum. IEEE Trans. Dielectr. Electr. Insul. 2010, 17, 964–970. [Google Scholar] [CrossRef]
- Yu, K.-k.; Zhang, G.-j.; Liu, G.-q.; Ma, X.-p.; Li, G.-x. Effect of surface shallow traps on flashover characteristics across machinable ceramic in vacuum. IEEE Trans. Dielectr. Electr. Insul. 2008, 15, 1464–1470. [Google Scholar]
- Shao, T.; Yang, W.; Zhang, C.; Niu, Z.; Yan, P.; Schamiloglu, E. Enhanced surface flashover strength in vacuum of polymethylmethacrylate by surface modification using atmospheric-pressure dielectric barrier discharge. Appl. Phys. Lett. 2014, 105, 071607. [Google Scholar]
- Lewis, T. Interfaces are the dominant feature of dielectrics at the nanometric level. IEEE Trans. Dielectr. Electr. Insul. 2004, 11, 739–753. [Google Scholar] [CrossRef]
- Qi, B.; Gao, C.; Lv, Y.; Li, C.; Tu, Y.; Xiong, J. The impact of nano-coating on surface charge accumulation of epoxy resin insulator: Characteristic and mechanism. J. Phys. D Appl. Phys. 2018, 51, 245303. [Google Scholar] [CrossRef]
- Tu, Y.; Zhou, F.; Jiang, H.; Bai, F.; Wang, C.; Lin, J.; Cheng, Y. Effect of nano-TiO2/EP composite coating on dynamic characteristics of surface charge in epoxy resin. IEEE Trans. Dielectr. Electr. Insul. 2018, 25, 1308–1317. [Google Scholar] [CrossRef]
- Jinliang, H.; Simin, P.; Yao, Z.; Yang, Y.; Jun, H. Interface properties of polymer nanocomposites. Proc. CSEE 2016, 36, 6596–6605, 6911. [Google Scholar]
- Gao, Y.; Wang, X.F.; Li, N.; Xu, B.B.; Wang, J.L.; Du, B.X. Characterization method for carrier trap and the effect on insulation breakdown within polymer insulating materials: A review. High Volt. Eng. 2019, 45, 2219–2230. [Google Scholar]
- Jagadeesh, D.; Kanny, K.; Prashantha, K. A review on research and development of green composites from plant protein-based polymers. Polym. Compos. 2017, 38, 1504–1518. [Google Scholar] [CrossRef]
- Chi, Q.; Wang, X.; Zhao, W.; Zhang, C.; Zhang, T.; Wang, X.; Lei, Q. Effect of TiO2 size factor on the electrical properties of polyethylene matrix dielectrics. Results Phys. 2018, 11, 52–57. [Google Scholar] [CrossRef]
- Zhang, D.; Cabrera, E.; Zhao, Y.; Zhao, Z.; Castro, J.M.; Lee, L.J. Improved sand erosion resistance and mechanical properties of multifunctional carbon nanofiber nanopaper-enhanced fiber reinforced epoxy composites. Adv. Polym. Technol. 2018, 37, 1878–1885. [Google Scholar] [CrossRef]
- Yang, R.; Sun, H.; Li, J.; Li, Y.a. Structural, magnetic and photocatalytic properties of Sr2+ doped BiFeO3 nanofibres fabricated by electrospinning. Ceram. Int. 2018, 44, 14032–14035. [Google Scholar] [CrossRef]
- Wang, J.; Neaton, J.; Zheng, H.; Nagarajan, V.; Ogale, S.; Liu, B.; Viehland, D.; Vaithyanathan, V.; Schlom, D.; Waghmare, U. Epitaxial BiFeO3 multiferroic thin film heterostructures. Science 2003, 299, 1719–1722. [Google Scholar] [CrossRef] [PubMed]
- Eerenstein, W.; Mathur, N.; Scott, J.F. Multiferroic and magnetoelectric materials. Nature 2006, 442, 759–765. [Google Scholar] [CrossRef] [PubMed]
- Fuxue, Y.; Gaoyang, Z.; Na, S. Sol-gel preparation of La-doped bismuth ferrite thin film and its low-temperature ferromagnetic and ferroelectric properties. J. Rare Earths 2013, 31, 60–64. [Google Scholar]
- Zhang, Y.; Yu, S.; Cheng, J. The study of BiCrxFe1−xO3 thin films synthesized by sol–gel technique. J. Eur. Ceram. Soc. 2010, 30, 271–275. [Google Scholar] [CrossRef]
- XingMing, B.; JunYu, Z.; Wei, Y.; ShuWei, W.; Lei, Q.; XueBao, L.; HaiBing, L. The role of low air pressure in the variation of negative corona-generated space charge in a rod to plane electrode. High Volt. 2018, 3, 126–132. [Google Scholar] [CrossRef]
- Tondare, V.N.; Villarrubia, J.S.; Vladár, A.E. Three-dimensional (3d) nanometrology based on scanning electron microscope (SEM) stereophotogrammetry. Microsc. Microanal. 2017, 23, 967–977. [Google Scholar] [CrossRef]
- Cao, T.-F.; Dai, J.-Q.; Wang, X.-W. Physical properties of Al doped BiFeO3 obtained by sol-gel route and two-step sintering process. Ceram. Int. 2020, 46, 7954–7960. [Google Scholar] [CrossRef]
- Liu, J.-Y.; Li, X.-X.; Huang, J.-R.; Li, J.-J.; Zhou, P.; Liu, J.-H.; Huang, X.-J. Three-dimensional graphene-based nanocomposites for high energy density Li-ion batteries. J. Mater. Chem. A 2017, 5, 5977–5994. [Google Scholar] [CrossRef]
- Kim, D.J. Lattice parameters, ionic conductivities, and solubility limits in fluorite-structure MO2 oxide [M= Hf4+, Zr4+, Ce4+, Th4+, U4+] solid solutions. J. Am. Ceram. Soc. 1989, 72, 1415–1421. [Google Scholar] [CrossRef]
- Wang, X.; Zhang, Y.g.; Wu, Z. Magnetic and optical properties of multiferroic bismuth ferrite nanoparticles by tartaric acid-assisted sol–gel strategy. Mater. Lett. 2010, 64, 486–488. [Google Scholar] [CrossRef]
- Shao, S.; Tian, Y.; Zhou, H.; Song, Y.; Lian, H.; Wu, H.; Duan, Q.; Xie, Q. Effect of morphology and particle size of bismuth ferrite filler on the surface insulation of epoxy resin composites. Polym. Compos. 2020, 41, 4514–4525. [Google Scholar] [CrossRef]
- Bish, D.L.; Reynolds, R. 4. Sample preparation for x-ray diffraction. In Modern Powder Diffraction; De Gruyter: Boston, MA, USA, 2018; pp. 73–100. [Google Scholar]
- Luo, M.; Zhou, P.; Liu, Y.; Wang, X.; Xie, J. Influence of Y-doping on structure, microwave dielectric and magnetic behaviors in BiFeO3. Phys. B Condens. Matter 2014, 450, 1–6. [Google Scholar] [CrossRef]
- Jiao, S.; Zhao, Y.; Li, C.; Wang, B.; Qu, Y. Recyclable adsorbent of BiFeO3/Carbon for purifying industrial dye wastewater via photocatalytic reproducible. Green Energy Environ. 2019, 4, 66–74. [Google Scholar] [CrossRef]
- Lin, Y.-H.; Jiang, Q.; Wang, Y.; Nan, C.-W.; Chen, L.; Yu, J. Enhancement of ferromagnetic properties in BiFeO3 polycrystalline ceramic by La doping. Appl. Phys. Lett. 2007, 90, 172507. [Google Scholar] [CrossRef]
- Wei, J.; Haumont, R.; Jarrier, R.; Berhtet, P.; Dkhil, B. Nonmagnetic Fe-site doping of BiFeO3 multiferroic ceramics. Appl. Phys. Lett. 2010, 96, 102509. [Google Scholar] [CrossRef]
- Shindo, D.; Oikawa, T. Energy dispersive x-ray spectroscopy. In Analytical Electron Microscopy for Materials Science; Springer: Tokyo, Japan, 2002; pp. 81–102. [Google Scholar]
- Dean, J.A. Lange’s Handbook of Chemistry, 15th ed.; McGraw-Hill, Inc.: New York, NY, USA, 1999. [Google Scholar]
- Zhou, H.; Xie, Q.; Ruan, H.; An, G.; Wu, G.; Yang, X.; Zhang, Y. Enhanced surface insulation of micron alumina/epoxy composites brought by plasma co-hydrothermal fluorination of filler. Polym. Compos. 2020, 41, 2881–2892. [Google Scholar] [CrossRef]
- Li, Z.; Zhong, Z.; Du, B. Dielectric relaxation and trap-modulated DC breakdown of polypropylene blend insulation. Polymer 2019, 185, 121935. [Google Scholar] [CrossRef]
- Cowell, T.; Woods, J. The evaluation of thermally stimulated current curves. Br. J. Appl. Phys. 1967, 18, 1045. [Google Scholar] [CrossRef]
- Wu, K.; Zhu, Q.; Wang, H.; Wang, X.; Li, S. Space charge behavior in the sample with two layers of oil-immersed-paper and oil. IEEE Trans. Dielectr. Electr. Insul. 2014, 21, 1857–1865. [Google Scholar] [CrossRef]
- Sessler, G.M.; West, J.E.; Gerhard-Multhaupt, R.; von Seggern, H. Nondestructive laser method for measuring charge profiles in irradiated polymer films. IEEE Trans. Nuclear Sci. 1982, 29, 1644–1649. [Google Scholar] [CrossRef]
- Li, J.; Zhou, F.; Min, D.; Li, S.; Xia, R. The energy distribution of trapped charges in polymers based on isothermal surface potential decay model. IEEE Trans. Dielectr. Electr. Insul. 2015, 22, 1723–1732. [Google Scholar] [CrossRef]
- Chengyan, R.; Zhang, C.; Duo, H.; Zhang, C.; Fei, K.; Tao, S.; Ping, Y. Trap distribution of polymeric materials and its effect on surface flashover in vacuum. Plasma Sci. Technol. 2020, 22, 044002. [Google Scholar]
- Su, G.-Q.; Song, B.-P.; Wang, Y.-B.; Mu, H.-B.; Zhang, G.-J.; Li, F.; Wang, M. Monte Carlo simulation of temporal behavior of surface charging across insulator at flashover initial stage in vacuum. IEEE Trans. Dielectr. Electr. Insul. 2017, 24, 3304–3312. [Google Scholar] [CrossRef]
- Montanari, G.C. Bringing an insulation to failure: The role of space charge. IEEE Trans. Dielectr. Electr. Insul. 2011, 18, 339–364. [Google Scholar] [CrossRef]
- Sun, G.-Y.; Guo, B.-H.; Li, W.-D.; Zhang, S.; Zhou, R.-D.; Song, B.-P.; Mu, H.-B.; Zhang, G.-J. Estimation of surface flashover threshold in a vacuum II: Flashover phase transition. J. Phys. D Appl. Phys. 2019, 53, 075201. [Google Scholar] [CrossRef]











Publisher’s Note: MDPI stays neutral with regard to jurisdictional claims in published maps and institutional affiliations. |
© 2021 by the authors. Licensee MDPI, Basel, Switzerland. This article is an open access article distributed under the terms and conditions of the Creative Commons Attribution (CC BY) license (https://creativecommons.org/licenses/by/4.0/).
Share and Cite
Xie, J.; Xiao, C.; Shao, S.; Duan, Q.; Xie, Q.; Lü, F. Effect of Bismuth Ferrite Nanometer Filler Element Doping on the Surface Insulation Properties of Epoxy Resin Composites. Nanomaterials 2021, 11, 2200. https://doi.org/10.3390/nano11092200
Xie J, Xiao C, Shao S, Duan Q, Xie Q, Lü F. Effect of Bismuth Ferrite Nanometer Filler Element Doping on the Surface Insulation Properties of Epoxy Resin Composites. Nanomaterials. 2021; 11(9):2200. https://doi.org/10.3390/nano11092200
Chicago/Turabian StyleXie, Jun, Chaoxuan Xiao, Shuai Shao, Qijun Duan, Qing Xie, and Fangcheng Lü. 2021. "Effect of Bismuth Ferrite Nanometer Filler Element Doping on the Surface Insulation Properties of Epoxy Resin Composites" Nanomaterials 11, no. 9: 2200. https://doi.org/10.3390/nano11092200
APA StyleXie, J., Xiao, C., Shao, S., Duan, Q., Xie, Q., & Lü, F. (2021). Effect of Bismuth Ferrite Nanometer Filler Element Doping on the Surface Insulation Properties of Epoxy Resin Composites. Nanomaterials, 11(9), 2200. https://doi.org/10.3390/nano11092200

