Synthesis and Functionalisation of Superparamagnetic Nano-Rods towards the Treatment of Glioblastoma Brain Tumours
Abstract
1. Introduction
2. Materials and Methods
2.1. Synthesis of Iron Oxide Nanorods
2.2. Surface Coating towards Water Dispersible Colloid
2.3. The Characterisation of IONRs
2.3.1. General Information
2.3.2. SEM-EDS
2.3.3. TEM
2.3.4. FT-IR
2.3.5. XRD
2.3.6. TGA-GC-MS
2.3.7. DLS
2.3.8. MRI Analysis
2.4. Cell Study
2.4.1. Cell Culture
2.4.2. Cell Viability Assay
2.4.3. Live Cell Imaging (IncuCyte System)
Proliferation, Cytotoxicity
Migration and Invasion
2.4.4. Uptake and Localisation (SEM, TEM)
2.4.5. The Controlled Release of (NRs/Carnosine) Synergism
Proliferation, Cytotoxicity (MTT)
2.5. Dialysis Membrane Tubing Test/Liquid Chromatography Mass Spectrum (LC-MS) Assay
2.6. Statistical Analysis
3. Results and Discussion
3.1. Synthesis and Characterisation
3.2. Colloidal Stability
3.3. Proliferation and Cytotoxicity (IC50/EC50)
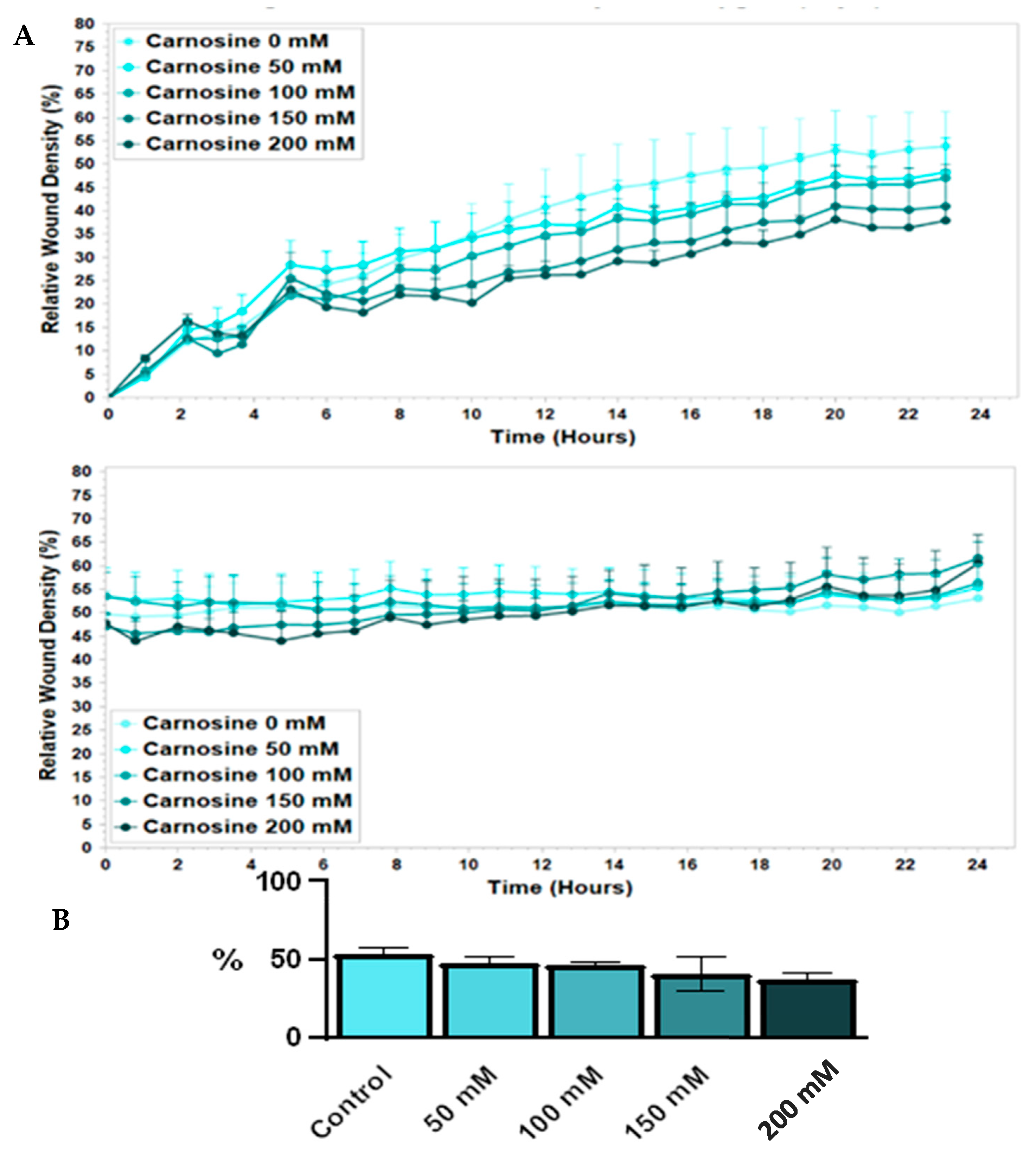
3.4. Cell Migration and Invasion
3.5. Cell Viability with IONRs (MTT)
3.6. Uptake and Localisation of (NRs/Carnosine) in U87 Cells
3.7. The Effect of (IONRs/Carnosine) Synergism in Controlled Release
4. Conclusions
Supplementary Materials
Author Contributions
Funding
Institutional Review Board Statement
Informed Consent Statement
Data Availability Statement
Acknowledgments
Conflicts of Interest
References
- Wang, R.; Degirmenci, V.; Xin, H.; Li, Y.; Wang, L.; Chen, J.; Hu, X.; Zhang, D. PEI-Coated Fe3O4 Nanoparticles enable efficient delivery of therapeutic siRNA targeting REST into Glioblastoma cells. Int. J. Mol. Sci. 2018, 19, 2230. [Google Scholar] [CrossRef]
- Jain, K.K. A Critical Overview of Targeted therapies for Glioblastoma. Front. Oncol. 2018, 8, 419. [Google Scholar] [CrossRef]
- Pearson, J.R.D.; Durrant, L.G.; Brentville, V.A.; Pockley, G.; McArdle, S.E.B. Development of a new immunotherapy treatment for Glioblastoma multiforme. Cancer Immunol. Res. 2019, 7, B122. [Google Scholar] [CrossRef]
- Wach, J.; Goetz, C.; Shareghi, K.; Scholz, T.; Heβelmann, V.; Mager, A.K.; Gottschalk, J.; Vatter, H.; Kremer, P. Dual-use intraoperative MRI in Glioblastoma surgery: Results of resection, histopathologic assessment, and surgical site infections. J. Neurol. Surg. A Cent. Eur. Neurosurg. 2019, 80, 413–422. [Google Scholar] [CrossRef] [PubMed]
- Chen, L.F.; Yang, Y.; Ma, X.D.; Yu, X.G.; Gui, Q.P.; Xu, B.N.; Zhou, D.B. Operative management of intraventricular central neurocytomas: An analysis of a surgical experience with 32 cases. Turk. Neurosurg. 2016, 26, 21–28. [Google Scholar] [CrossRef][Green Version]
- Heßelmann, V.; Mager, A.K.; Goetz, C.; Detsch, O.; Theisgen, H.K.; Friese, M.; Schwindt, W.; Gottschalk, J.; Kremer, P. Accuracy of high-field intraoperative MRI in the detectability of residual tumor in Glioma Grade IV resections. RoFo-Fortschr Rontg 2017, 189, 519–526. [Google Scholar] [CrossRef]
- Leroy, H.; Delmaire, C.; Le Rhun, E.; Drumez, E.; Lejeunea, J.P.; Reyns, N. High-field intraoperative MRI in glioma surgery: A prospective study with volumetric analysis of extent of resection and functional outcome. Neurochir 2018, 64, 155–160. [Google Scholar] [CrossRef] [PubMed]
- Aime, S.; Caravan, P. Biodistribution of gadolinium-based contrast agents, including gadolinium deposition. J. Magn. Reson. Imaging 2009, 30, 1259–1267. [Google Scholar] [CrossRef] [PubMed]
- Rees, J.A.; Deblonde, G.J.P.; An, D.D.; Ansoborlo, C.; Gauny, S.S.; Abergel, R.J. Evaluating the potential of chelation therapy to prevent and treat gadolinium deposition from MRI contrast agents. Sci. Rep. 2018, 8, 1–9. [Google Scholar] [CrossRef] [PubMed]
- Unterweger, H.; Dézsi, L.; Matuszak, J.; Janko, C.; Poettler, M.; Jordan, J.; Bäuerle, T.; Szebeni, J.; Fey, T.; Boccaccini, A.R. Dextran-coated superparamagnetic iron oxide nanoparticles for magnetic resonance imaging: Evaluation of size-dependent imaging properties, storage stability and safety. Int. J. Nanomed. 2018, 13, 1899–1915. [Google Scholar] [CrossRef]
- Gale, E.M.; Caravan, P. Gadolinium-free contrast agents for magnetic resonance imaging of the central nervous system. ACS Chem. Neurosci. 2018, 9, 395–397. [Google Scholar] [CrossRef] [PubMed]
- Veiseh, O.; Gunn, J.W.; Zhang, M. Chlorotoxin bound magnetic nanovector tailored for cancer cell targeting, imaging, and siRNA delivery. Adv. Drug Deliv. Rev. 2010, 62, 284–304. [Google Scholar] [CrossRef]
- Fülöp, T.; Nemes, R.; Mészáros, T.; Urbanics, R.; Kok, R.J.; Jackman, J.A.; Cho, N.; Storm, G.; Szebeni, J. Complement activation in vitro and reactogenicity of low-molecular weight dextran-coated SPIONs in the pig CARPA model: Correlation with physicochemical features and clinical information. J. Control. Release 2018, 270, 268–274. [Google Scholar] [CrossRef] [PubMed]
- Chapman, S.; Dobrovolskaia, M.; Farahani, K.; Goodwin, A.; Joshi, A.; Lee, H.; Meade, T.; Pomper, M.; Ptak, K.; Rao, J. Nanoparticles for cancer imaging: The good, the bad, and the promise. Nano Today 2013, 8, 454–460. [Google Scholar] [CrossRef]
- Nie, S. Understanding and overcoming major barriers in cancer nanomedicine. Nanomedicine 2010, 5, 523–528. [Google Scholar] [CrossRef]
- Cai, H.; An, X.; Cui, J.; Li, J.; Wen, S.; Li, K.; Shen, M.; Zheng, L.; Zhang, G.; Shi, X. Facile Hydrothermal Synthesis and Surface Functionalization of Polyethyleneimine-Coated Iron Oxide Nanoparticles for Biomedical Applications. ACS Appl. Mater. Interfaces 2013, 5, 1722–1731. [Google Scholar] [CrossRef]
- Hola, K.; Markova, Z.; Zoppellaro, G.; Tucek, J.; Zboril, R. Tailored functionalization of iron oxide nanoparticles for MRI, drug delivery, magnetic separation and immobilization of biosubstance. Biotechnol. Adv. 2015, 33, 1162–1176. [Google Scholar] [CrossRef]
- Kandasamy, G.; Maity, D. Recent advances in superparamagnetic iron oxide nanoparticles (SPIONs) for in vitro and in vivo cancer nanotheranostics. Int. J. Pharm. 2015, 496, 191–218. [Google Scholar] [CrossRef]
- Rivera Gil, P.; Hühn, D.; del Mercato, L.L.; Sasse, D.; Parak, W.J. Nanopharmacy: Inorganic nanoscale devices as vectors and active compounds. Pharmacol. Res. 2010, 62, 115–125. [Google Scholar] [CrossRef]
- Gupta, A.K.; Naregalkar, R.R.; Vaidya, V.D.; Gupta, M. Recent advances on surface engineering of magnetic iron oxide nanoparticles and their biomedical applications. Nanomedicine 2007, 2, 23–39. [Google Scholar] [CrossRef] [PubMed]
- Stocke, N.A.; Sethi, P.; Jyoti, A.; Chan, R.; Arnold, S.M.; Hilt, J.Z.; Upreti, M. Toxicity evaluation of magnetic hyperthermia induced by remote actuation of magnetic nanoparticles in 3D micrometastasic tumor tissue analogs for triple negative breast cancer. Biomaterials 2017, 120, 115–125. [Google Scholar] [CrossRef]
- Zhao, Q.; Wang, L.; Cheng, R.; Mao, L.; Arnold, R.D.; Howerth, E.W.; Chen, Z.G.; Platt, S. Magnetic Nanoparticle-Based Hyperthermia for Head & Neck Cancer in Mouse Models. Theranostics 2012, 2, 113–121. [Google Scholar] [CrossRef] [PubMed]
- Deatsch, A.E.; Evans, B.A. Heating efficiency in magnetic nanoparticle hyperthermia. J. Magn. Magn. Mater. 2014, 354, 163–172. [Google Scholar] [CrossRef]
- Rachakatla, R.S.; Balivad, S.A.; Seo, G.; Myers, C.B.; Wang, Ќ.H.; Samarakoon, T.N.; Dani, R.; Pyle, M.; Kroh, F.O.; Walker, B.; et al. Attenuation of mouse melanoma by a/c magnetic field after delivery of bi-magnetic nanoparticles by neural progenitor cells. ACS Nano 2010, 4, 7093–7104. [Google Scholar] [CrossRef] [PubMed]
- Fan, X.; Jiao, G.; Zhao, W.; Jin, P.; Li, X. Magnetic Fe3O4–graphene composites as targeted drug nanocarriers for pH-activated release. Nanoscale 2013, 5, 1143–1152. [Google Scholar] [CrossRef] [PubMed]
- Wu, W.; Wu, Z.; Yu, T.; Jiang, C.; Kim, W.S. Recent progress on magnetic iron oxide nanoparticles: Synthesis, surface functional strategies and biomedical applications. Sci. Technol. Adv. Mater. 2015, 16, 023501–023544. [Google Scholar] [CrossRef]
- Gupta, A.K.; Gupta, M. Synthesis and surface engineering of iron oxide nanoparticles for biomedical applications. Biomaterials 2005, 26, 3995–4021. [Google Scholar] [CrossRef]
- Boldyrev, A.A.; Aldini, G.; Derave, W. Physiology and pathophysiology of carnosine. Physiol. Rev. 2013, 93, 1803–1845. [Google Scholar] [CrossRef] [PubMed]
- Hipkiss, A.R.; Gaunitz, F. Inhibition of tumour cell growth by carnosine: Some possible mechanisms. Amino Acids 2014, 46, 327–337. [Google Scholar] [CrossRef] [PubMed]
- Boldyrev, A.A.; Severin, S.E. The histidine-containing dipeptides, carnosine and anserine: Distribution, properties and biological significance. Adv. Enzym. Regul. 1990, 30, 175–188. [Google Scholar] [CrossRef]
- Barker, J.L.; Gruol, D.L.; Huang, L.M.; MacDonald, J.F.; Smith, T.G. Peptides: Pharmacological evidence for three forms of chemical excitability in cultured mouse spinal neurons. Neuropeptides 1980, 1, 63–82. [Google Scholar] [CrossRef]
- Boldyrev, A.A. Carnosine: New concept for the function of an old molecule. Biochemistry 2012, 77, 313–326. [Google Scholar] [CrossRef]
- Holliday, R.; McFarland, G.A. Inhibition of the growth of transformed and neoplastic cells by the dipeptide carnosine. Br. J. Cancer 1996, 73, 966–971. [Google Scholar] [CrossRef] [PubMed]
- Renner, C.; Seyffarth, A.; De Arriba, S.G.; Meixensberger, J.; Gebhardt, R.; Gaunitz, F. Carnosine inhibits growth of cells isolated from human glioblastoma multiforme. Int. J. Pept. Res. Ther. 2008, 14, 127–135. [Google Scholar] [CrossRef]
- Park, Y.J.; Volpe, S.L.; Decker, E.A. Quantitation of carnosine in humans plasma after dietary consumption of beef. Food Chem. 2005, 53, 4736–4739. [Google Scholar] [CrossRef]
- Whittaker, M.R.; Davis, T.P. The design and utility of polymer-stabilized iron-oxide nanoparticles for nanomedicine applications. NPG Asia Mater. 2010, 2, 23–30. [Google Scholar] [CrossRef]
- Mohapatra, J.; Mitra, A.; Tyagi, H.; Bahadur, D.; Aslam, M. Iron oxide nanorods as high-performance magnetic resonance imaging contrast agents. Nanoscale 2015, 7, 9174–9184. [Google Scholar] [CrossRef]
- Wang, X.; Zhou, L.; Ma, Y.; Li, X.; Gu, H. Control of aggregate size of polyethyleneimine-coated magnetic nanoparticles for magnetofection. Nano Res. 2009, 2, 365–372. [Google Scholar] [CrossRef]
- Ebrahiminezhad, A.; Ghasemi, Y.; Rasoul-amini, S.; Barar, J.; Davaran, S. Impact of amino-acid coating on the synthesis and characteristics of iron-oxide nanoparticles (IONs). Koreascience 2012, 33, 3957–3962. [Google Scholar] [CrossRef]
- Ding, Y.; Liu, F.; Jiang, Q.; Du, B.; Sun, H. 12-Hydrothermal synthesis and characterization of Fe3O4 Nanorods. J. Inorg. Organomet. Polym. Mater. 2013, 23, 379–384. [Google Scholar] [CrossRef]
- Wan, J.; Chen, X.; Wang, Z.; Yang, X.; Qian, Y. A soft-template-assisted hydrothermal approach to single-crystal Fe3O4 nanorods. J. Cryst. Growth 2005, 276, 571–576. [Google Scholar] [CrossRef]
- Medeiros, S.F.; Filizzola, J.O.C.; Fonseca, V.F.M.; Oliveira, P.F.M.; Silva, T.M.; Elaissari, A.; Santos, A.M. Synthesis and characterization of stable aqueous dispersion of functionalized double-coated iron oxide nanoparticles. Mater. Lett. 2015, 160, 522–525. [Google Scholar] [CrossRef]
- Sun, H.; Chen, B.; Jiao, X.; Jiang, Z.; Qin, Z.; Chen, D.J. Solvothermal synthesis of tunable electroactive magnetite nanorods by controlling the side reaction. Phys. Chem. C 2012, 116, 5476–5481. [Google Scholar]
- Moore, T.L.; Rodriguez-Lorenzo, L.; Hirsch, V.; Balog, S.; Urban, D.; Jud, C.; Rothen-Rutishauser, B.; Lattuada, M.; Petri-Fink, A. Solvothermal synthesis of tunable electroactive magnetite nanorods by controlling the side reaction. Chem. Soc. Rev. 2015, 44, 6287. [Google Scholar] [CrossRef] [PubMed]
- Ogura, I.; Kawakami, S.; Larry Duval, D.; Miyajima, K.; Asia, G.; Naka, K. Characterization of low-molecular-weight polyethyleneimines using GC/CI-MS and GC. Anal. Sci. 1996, 12, 97–102. [Google Scholar] [CrossRef][Green Version]
- Balog, S.; Rodriguez-Lorenzo, L.; Monnier, C.A.; Obiols-Rabasa, M.; Rothen-Rutishauser, B.; Schurtenberger, P.; Petri-Fink, A. Characterizing nanoparticles in complex biological media and physiological fluids with depolarized dynamic light scattering. Nanoscale 2015, 7, 5991–5997. [Google Scholar] [CrossRef]
- Butkus, M.A.; Grasso, D. Impact of aqueous electrolytes on interfacial energy. J. Colloid Interface Sci. 1998, 200, 172–181. [Google Scholar] [CrossRef]
- Sader, J.E.; Carnie, S.L.; Chan, D.Y.C. Accurate analytic formulas for the double-layer interaction between spheres. J. Colloid Interface Sci. 1995, 171, 46–54. [Google Scholar] [CrossRef]
- McCartney, L.N.; Levine, S. An improvement on Derjaguin’s expression at small potentials for the double layer interaction energy of two spherical colloidal particles. J. Colloid Interface Sci. 1969, 30, 345–354. [Google Scholar] [CrossRef]
- Bhattacharjee, S. DLS and zeta potential—What they are and what they are not? J. Control. Release 2016, 235, 337–351. [Google Scholar] [CrossRef]
- Edwards, S.A.; Williams, D.R.M. Double layers and interparticle forces in colloid science and biology: Analytic results for the effect of ionic dispersion forces. Phys. Rev. Lett. 2004, 92, 248303. [Google Scholar] [CrossRef]
- Saini, S.; Stark, D.D.; Hahn, P.F.; Bousquet, J.C.; Introcasso, J.; Wittenber, J.G.; Brady, T.J.; Ferrucci, J.T. Ferrite particles: A superparamagnetic MR contrast agent for enhanced detection of liver carcinoma. Radiology 1987, 162, 217–222. [Google Scholar] [CrossRef]
- Liang, C.C.; Park, A.Y.; Guan, J.L. In vitro scratch assay: A convenient and inexpensive method for analysis of cell migration in vitro. Nat. Protoc. 2007, 2, 329–333. [Google Scholar] [CrossRef]
- General Guidelines IncuCyte® Scratch Wound Assay, Sartorius. 2018. Available online: https://www.essenbioscience.com/en/applications/live-cell-assays/scratch-wound-cell-migration-invasion/ (accessed on 10 June 2021).
- Brekhman, V.; Neufeld, G. A novel asymmetric 3D in-vitro assay for the study of tumor cell invasion. BMC Cancer 2009, 9, 1–12. [Google Scholar] [CrossRef] [PubMed]
- Protocol 2. Embedded MDCK 3D Culture. Corning 2017. Available online: www.corning.com/catalog/cls/documents/application-notes/Application_Note_CLS-DL-AN-414_Matrigel_Matrix_3D_In_Vitro_Protocol.pdf (accessed on 10 June 2021).
- Ueda, K.; Komano, T. Sequence-specific DNA damage induced by reduced mitomycin C and 7-N-(p -hydroxyphenyl) mitomycin C. Nucleic Acids Res. 1984, 12, 6673–6683. [Google Scholar] [CrossRef][Green Version]
- Tomasz, M. Mitomycin C: Small, fast and deadly (but very selective). Chem. Biol. 1995, 2, 575–579. [Google Scholar] [CrossRef]
- Afshordel, S.; Kern, B.; Clasohm, J.; König, H.; Priester, M.; Weissenberger, J.; Kögel, D.; Eckert, G.P. Lovastatin and perillyl alcohol inhibit glioma cell invasion, migration, and proliferation—Impact of Ras-/Rho-prenylation. Pharmacol. Res. 2015, 91, 69–77. [Google Scholar] [CrossRef] [PubMed]
- McCarroll, J.A.; Phillips, P.A.; Kumar, R.K.; Park, S.; Pirola, R.C.; Wilson, J.S.; Apte, M.V. Pancreatic stellate cell migration: Role of the phosphatidylinositol 3-kinase (PI3-kinase) pathway. Biochem. Pharmacol. 2004, 67, 1215–1225. [Google Scholar] [CrossRef]
- Kenzaoui, B.H.; Vilà, M.R.; Miquel, J.M.; Cengelli, F.; Juillerat-Jeanneret, L. Evaluation of uptake and transport of cationic and anionic ultrasmall iron oxide nanoparticles by human colon cells. Int. J. Nanomed. 2012, 7, 1275–1286. [Google Scholar] [CrossRef]
- Chemmarappally, J.M.; Pegram, H.C.N.; Abeywickrama, N.; Fornari, E.; Hargreaves, A.J.; De Girolamo, L.A.; Stevens, B. A co-culture nanofibre scaffold model of neural cell degeneration in relevance to Parkinson’s disease. Sci. Rep. 2020, 10, 2767. [Google Scholar] [CrossRef]
- Pla, A.; Pascual, M.; Guerr, C. Autophagy constitutes a protective mechanism against ethanol toxicity in mouse astrocytes and neurons. PLoS ONE 2016, 11, e0153097. [Google Scholar] [CrossRef] [PubMed]
- Hass, D.T.; Barnstable, C.J.; Phil, D. Uncoupling protein 2 in the glial response to stress: Implications for neuroprotection. Neural Regener. Res. 2016, 11, 1197–1200. [Google Scholar] [CrossRef]
- Wani, I.A. Recent Advances in synthesis and biomedical applications. In Advancing Medicine through Nanotechnology and Nanomechanics Applications; Sadeghi, B., Kamara, S.K., Nagabhushana, H., Singh, L.R., Ghosh, M., Eds.; IGI Global: Hershey, PA, USA, 2017; pp. 219–249. [Google Scholar] [CrossRef]
- Vasir, J.K.; Labhasetwar, V. Quantification of the force of nanoparticle-cell membrane interactions and its influence on intracellular trafficking of nanoparticles. Biomaterials 2008, 29, 4244–4252. [Google Scholar] [CrossRef] [PubMed]
- Foged, C.; Brodin, B.; Frokjaer, S.; Sundblad, A. Particle size and surface charge affect particle uptake by human dendritic cells in an in vitro model. Int. J. Pharm. 2005, 298, 315–322. [Google Scholar] [CrossRef]
- Patil, R.M.; Thorat, N.D.; Shete, P.B.; Bedge, P.A.; Gavde, S.; Joshi, M.G.; Tofail, S.A.M.; Bohara, R.A. Comprehensive cytotoxicity studies of superparamagnetic iron oxide nanoparticles. Biochem. Biophys. Rep. 2018, 13, 63–72. [Google Scholar] [CrossRef]
- Arachchige, M.P.; Laha, S.S.; Naik, A.R.; Lewis, K.T.; Naik, R.; Jena, B.P. Functionalized nanoparticles enable tracking the rapid entry and release of doxorubicin in human pancreatic cancer cells. Micron 2017, 92, 25–31. [Google Scholar] [CrossRef]
- Lenzi, P.; Lazzeri, G.; Biagioni, F.; Busceti, C.L.; Gambardella, S.; Salvetti, A.; Fornai, F. The Autophagoproteasome a novel cell clearing organelle in baseline and stimulated conditions. Front. Neuroanat. 2016, 10, 78. [Google Scholar] [CrossRef]
- Au, C.; Mutkus, L.; Dobson, A.; Riffle, J.; Lalli, J.; Aschner, M. Effects of Nanoparticles on the adhesion and cell viability on astrocytes. Biol. Trace Elem. Res. 2007, 120, 248–256. [Google Scholar] [CrossRef]
- Blanco-Andujar, C.; Walter, A.; Cotin, G.; Bordeianu, C.; Mertz, D.; Felder-Flesch, D.; Begin-Colin, S. Design of iron oxide-based nanoparticles for MRI and magnetic hyperthermia. Nanomedicine 2016, 11, 1889–1910. [Google Scholar] [CrossRef] [PubMed]


















Publisher’s Note: MDPI stays neutral with regard to jurisdictional claims in published maps and institutional affiliations. |
© 2021 by the authors. Licensee MDPI, Basel, Switzerland. This article is an open access article distributed under the terms and conditions of the Creative Commons Attribution (CC BY) license (https://creativecommons.org/licenses/by/4.0/).
Share and Cite
Habra, K.; McArdle, S.E.B.; Morris, R.H.; Cave, G.W.V. Synthesis and Functionalisation of Superparamagnetic Nano-Rods towards the Treatment of Glioblastoma Brain Tumours. Nanomaterials 2021, 11, 2157. https://doi.org/10.3390/nano11092157
Habra K, McArdle SEB, Morris RH, Cave GWV. Synthesis and Functionalisation of Superparamagnetic Nano-Rods towards the Treatment of Glioblastoma Brain Tumours. Nanomaterials. 2021; 11(9):2157. https://doi.org/10.3390/nano11092157
Chicago/Turabian StyleHabra, Kinana, Stéphanie E. B. McArdle, Robert H. Morris, and Gareth W. V. Cave. 2021. "Synthesis and Functionalisation of Superparamagnetic Nano-Rods towards the Treatment of Glioblastoma Brain Tumours" Nanomaterials 11, no. 9: 2157. https://doi.org/10.3390/nano11092157
APA StyleHabra, K., McArdle, S. E. B., Morris, R. H., & Cave, G. W. V. (2021). Synthesis and Functionalisation of Superparamagnetic Nano-Rods towards the Treatment of Glioblastoma Brain Tumours. Nanomaterials, 11(9), 2157. https://doi.org/10.3390/nano11092157

