Enhanced Photocatalytic Degradation of Ternary Dyes by Copper Sulfide Nanoparticles
Abstract
:1. Introduction
2. Materials and Methods
2.1. Materials
2.2. Synthesis of CuS Nanoparticles
2.3. Characterization Techniques
2.4. Adsorption Studies of CuS Nanoparticles
2.5. Photocatalytic Experiment
2.6. Photocatalytic Degradation of CV/MB/RhB Dyes Mixture
2.7. Determination of Oxidative Reactive Species
3. Results and Discussion
3.1. Structural and Morphological Studies of the CuS Nanoparticles
3.2. Optical Studies of the CuS Nanoparticles
3.3. Adsorption Studies
3.4. Effect of Catalyst Dosage
3.5. Photocatalytic Degradation of Crystal Violet (CV), Methylene Blue (MB), Rhodamine B, and CV/MB/RhB by the CuS Nanoparticles
3.6. Scavenging Activity to Determine Mechanism of Photocatalytic Activity
3.7. Photostability Studies of CuS nanoparticles
3.8. Effect of pH
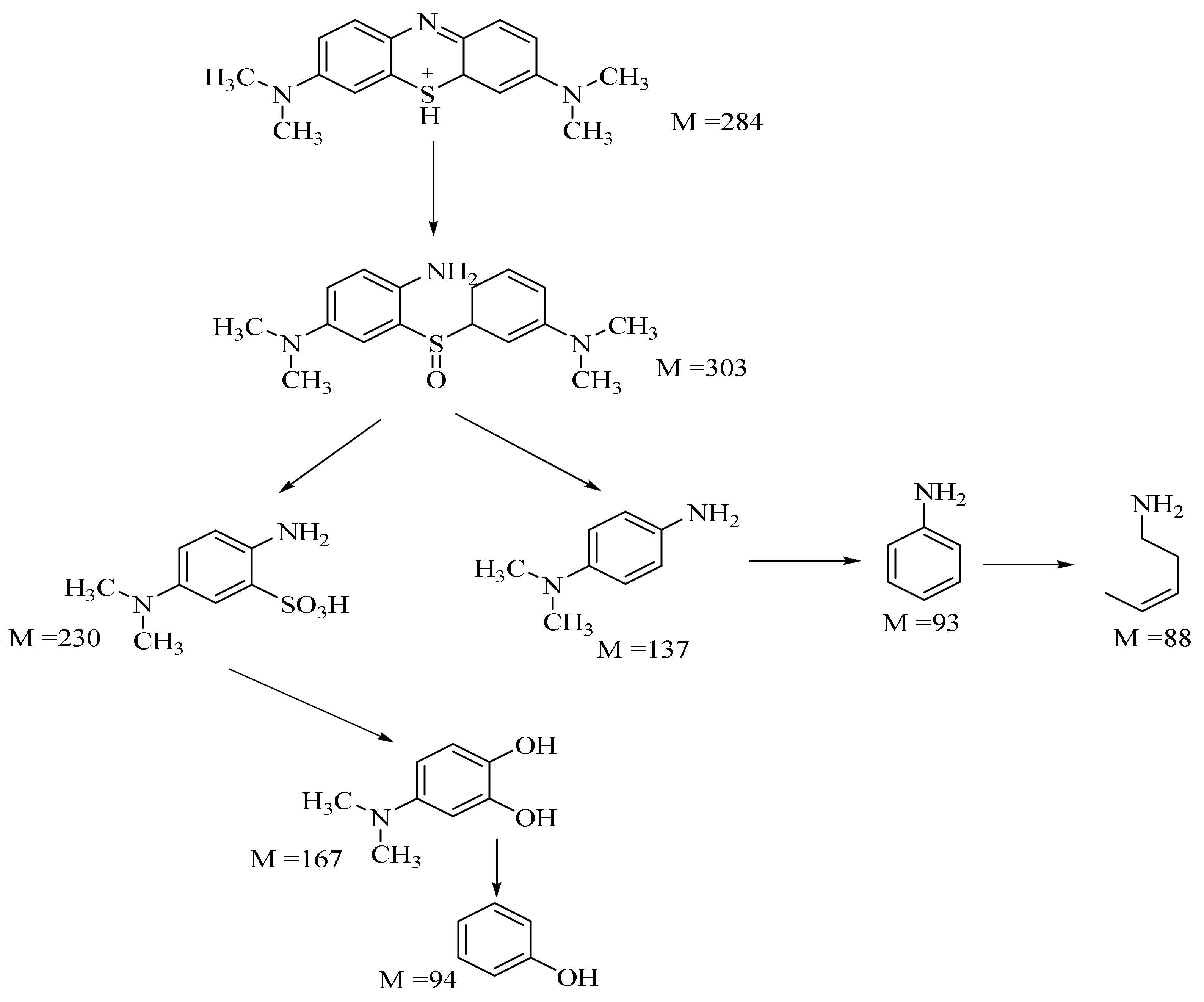
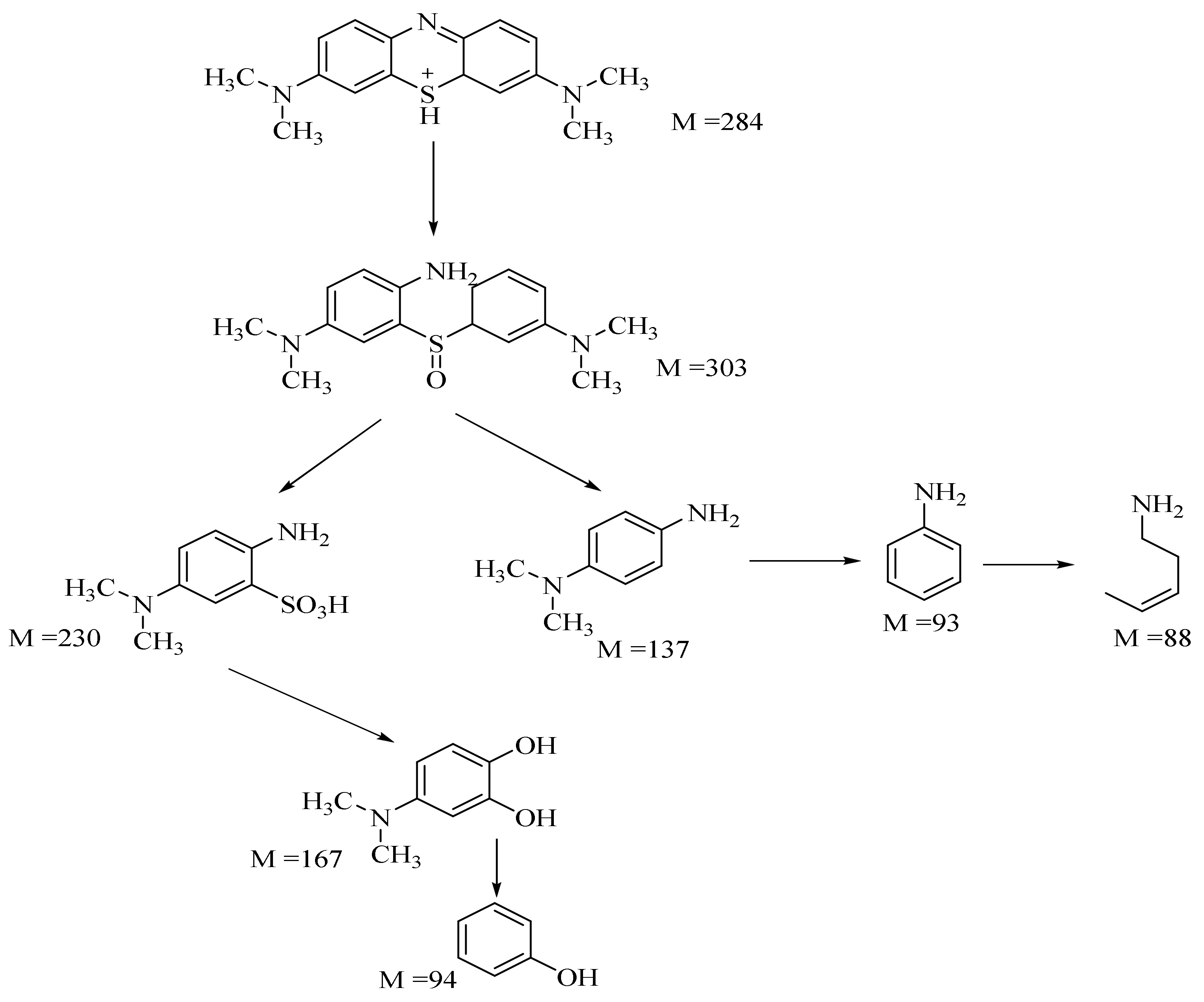
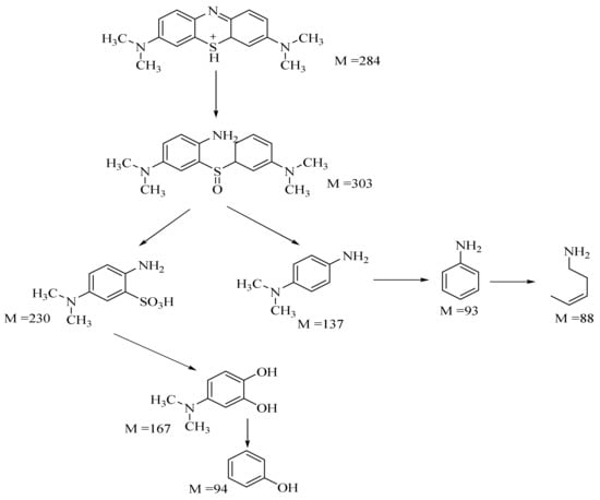
3.9. Identification of the Photocatalytic Degradation Products
4. Conclusions
Supplementary Materials
Author Contributions
Funding
Conflicts of Interest
References
- Huang, Y.; Luo, M.; Xu, Z.; Zhang, D.; Li, L. Catalytic ozonation of organic contaminants in petrochemical wastewater with iron-nickel foam as catalyst. Sep. Purif. Technol. 2019, 211, 269–278. [Google Scholar] [CrossRef]
- Peydayesh, M.; Suter, M.K.; Bolisetty, S.; Boulos, S.; Handschin, S.; Nyström, L.; Mezzenga, R. Amyloid fibrils aerogel for sustainable removal of organic contaminants from water. Adv. Mater. 2020, 32, 1907932. [Google Scholar] [CrossRef] [PubMed]
- Muñoz-Morales, M.; Braojos, M.; Sáez, C.; Cañizares, P.; Rodrigo, M. Remediation of soils polluted with lindane using surfactant-aided soil washing and electrochemical oxidation. J. Hazard. Mater. 2017, 339, 232–238. [Google Scholar] [CrossRef] [Green Version]
- Xu, W.; Zhu, S.; Liang, Y.; Li, Z.; Cui, Z.; Yang, X.; Inoue, A. Nanoporous CuS with excellent photocatalytic property. Sci. Rep. 2015, 5, 1–11. [Google Scholar] [CrossRef] [PubMed] [Green Version]
- Yang, J.; Zhang, Y.; Zeng, D.; Zhang, B.; Hassan, M.; Li, P.; Qi, C.; He, Y. Enhanced catalytic activation of photo-Fenton process by Cu0.5Mn0.5Fe2O4 for effective removal of organic contaminants. Chemosphere 2020, 247, 125780. [Google Scholar] [CrossRef] [PubMed]
- Lee, H.; Seong, J.; Lee, K.-M.; Kim, H.-H.; Choi, J.; Kim, J.-H.; Lee, C. Chloride-enhanced oxidation of organic contaminants by Cu(II)-catalyzed Fenton-like reaction at neutral pH. J. Hazard. Mater. 2018, 344, 1174–1180. [Google Scholar] [CrossRef]
- Elbanna, O.; Zhu, M.; Fujitsuka, M.; Majima, T. Black phosphorus sensitized TiO2 mesocrystal photocatalyst for hydrogen evolution with visible and near-infrared light irradiation. ACS Catal. 2019, 9, 3618–3626. [Google Scholar] [CrossRef]
- Hu, X.-S.; Shen, Y.; Xu, L.-H.; Wang, L.-M.; Xing, Y.-J. Preparation of flower-like CuS by solvothermal method and its photodegradation and UV protection. J. Alloys Compd. 2016, 674, 289–294. [Google Scholar] [CrossRef]
- Shamraiz, U.; Badshah, A.; Hussain, R.A.; Nadeem, M.A.; Saba, S. Surfactant free fabrication of copper sulphide (CuS–Cu2S) nanoparticles from single source precursor for photocatalytic applications. J. Saudi Chem. Soc. 2017, 21, 390–398. [Google Scholar] [CrossRef] [Green Version]
- Naji, I.; Sleman, U. Influence of precursor molar ratios on the physical properties of nanocrystalline Cu2−xS thin films prepared by chemical bath deposition method. Chalcogenide Lett. 2018, 15, 317–326. [Google Scholar]
- Hamed, M.S.; Mola, G.T. Copper sulphide as a mechanism to improve energy harvesting in thin film solar cells. J. Alloys Compd. 2019, 802, 252–258. [Google Scholar] [CrossRef]
- Rubilar, O.; Rai, M.; Tortella, G.; Diez, M.C.; Seabra, A.B.; Durán, N. Biogenic nanoparticles: Copper, copper oxides, copper sulphides, complex copper nanostructures and their applications. Biotechnol. Lett. 2013, 35, 1365–1375. [Google Scholar] [CrossRef] [PubMed]
- Sagade, A.A.; Sharma, R. Copper sulphide (CuxS) as an ammonia gas sensor working at room temperature. Sens. Actuators B Chem. 2008, 133, 135–143. [Google Scholar] [CrossRef]
- Wu, Y.; Wadia, C.; Ma, W.; Sadtler, B.; Alivisatos, A.P. Synthesis and photovoltaic application of copper(I) sulfide nanocrystals. Nano Lett. 2008, 8, 2551–2555. [Google Scholar] [CrossRef]
- Bano, Z.; Saeed, R.Y.; Zhu, S.; Xia, M.; Mao, S.; Lei, W.; Wang, F. Mesoporous CuS nanospheres decorated rGO aerogel for high photocatalytic activity towards Cr(VI) and organic pollutants. Chemosphere 2020, 246, 125846. [Google Scholar] [CrossRef]
- Srinivas, B.; Kumar, B.G.; Muralidharan, K. Stabilizer free copper sulphide nanostructures for rapid photocatalytic decomposition of rhodamine B. J. Mol. Catal. A Chem. 2015, 410, 8–18. [Google Scholar] [CrossRef]
- Vahedi Gerdeh, F.; Feizbakhsh, A.; Konoz, E.; Faraji, H. Copper sulphide-zirconium dioxide nanocomposites photocatalyst with enhanced UV-light photocatalysis efficiency: Structural and methodology. Int. J. Environ. Anal. Chem. 2020, 1–15. [Google Scholar] [CrossRef]
- Isac, L.; Andronic, L.; Enesca, A.; Duta, A. Copper sulfide films obtained by spray pyrolysis for dyes photodegradation under visible light irradiation. J. Photochem. Photobiol. A 2013, 252, 53–59. [Google Scholar] [CrossRef]
- Zhang, X.; Zhou, J.; Yang, D.-P.; Chen, S.; Huang, J.; Li, Z. Cu2−xS loaded diatom nanocomposites as novel photocatalysts for efficient photocatalytic degradation of organic pollutants. Catal. Today 2019, 335, 228–235. [Google Scholar] [CrossRef]
- Borthakur, P.; Boruah, P.K.; Darabdhara, G.; Sengupta, P.; Das, M.R.; Boronin, A.I.; Kibis, L.S.; Kozlova, M.N.; Fedorov, V.E. Microwave assisted synthesis of CuS-reduced graphene oxide nanocomposite with efficient photocatalytic activity towards azo dye degradation. J. Environ. Chem. Eng. 2016, 4, 4600–4611. [Google Scholar] [CrossRef]
- Feng, C.; Meng, X.; Song, X.; Feng, X.; Zhao, Y.; Liu, G. Controllable synthesis of hierarchical CuS/ZnS hetero-nanowires as high-performance visible-light photocatalysts. RSC Adv. 2016, 6, 110266–110273. [Google Scholar] [CrossRef] [Green Version]
- Jiang, Y.; Zhang, M.; Xin, Y.; Chai, C.; Chen, Q. Construction of immobilized CuS/TiO2 nanobelts heterojunction photocatalyst for photocatalytic degradation of enrofloxacin: Synthesis, characterization, influencing factors and mechanism insight. J. Chem. Technol. Biotechnol. 2019, 94, 2219–2228. [Google Scholar]
- Xiao, W.; Zhou, W.; Feng, T.; Zhang, Y.; Liu, H.; Yu, H.; Tian, L.; Pu, Y. One-pot solvothermal synthesis of flower-like copper sulfide/reduced graphene oxide composite superstructures as high-performance supercapacitor electrode materials. J. Mater. Sci. Mater. Electron. 2017, 28, 5931–5940. [Google Scholar] [CrossRef]
- Jing, J.; Gu, X.; Zhang, S.; Sun, J.; Chen, Y.; Sun, T. Doping of aluminum (Al) into copper sulfide (CuS) nanocrystals enhanced their solar spectral selectivity. CrystEngComm 2019, 21, 4969–4975. [Google Scholar] [CrossRef]
- Zhou, X.; Soldat, A.C.; Lind, C. Phase selective synthesis of copper sulfides by non-hydrolytic sol–gel methods. RSC Adv. 2014, 4, 717–726. [Google Scholar] [CrossRef]
- Song, X.; Sun, S.; Zhang, W.; Yin, Z. A method for the synthesis of spherical copper nanoparticles in the organic phase. J. Colloid Interface Sci. 2004, 273, 463–469. [Google Scholar] [CrossRef]
- Jeyabanu, K.; Devendran, P.; Manikandan, A.; Packiaraj, R.; Ramesh, K.; Nallamuthu, N. Preparation and characterization studies of La doped CuS nanospheres by microwave irradiation for high performance supercapacitors. Phys. Rev. B Condens. Matter 2019, 573, 92–101. [Google Scholar] [CrossRef]
- Singh, A.; Manivannan, R.; Victoria, S.N. Simple one-pot sonochemical synthesis of copper sulphide nanoparticles for solar cell applications. Arab. J. Chem. 2019, 12, 2439–2447. [Google Scholar] [CrossRef] [Green Version]
- Xu, J.; Cui, X.; Zhang, J.; Liang, H.; Wang, H.; Li, J. Preparation of CuS nanoparticles embedded in poly (vinyl alcohol) nanofibre via electrospinning. Bull. Mater. Sci. Rep. 2008, 31, 189–192. [Google Scholar] [CrossRef]
- Ajibade, P.A.; Botha, N.L. Synthesis and structural studies of copper sulfide nanocrystals. Results Phys. 2016, 6, 581–589. [Google Scholar] [CrossRef] [Green Version]
- Ajibade, P.A.; Sikakane, B.M.; Botha, N.L.; Oluwalana, A.E.; Omondi, B. Synthesis and crystal structures of bis (dibenzyl dithiocarbamato) Cu(II) and Ag(I) complexes: Precursors for Cu1.8S and Ag2S nano-photocatalysts. J. Mol. Struct. 2020, 1221, 128791. [Google Scholar] [CrossRef]
- Dojer, B.; Pevec, A.; Breznik, K.; Jagličić, Z.; Gyergyek, S.; Kristl, M. Structural and thermal properties of new copper and nickel single-source precursors. J. Mol. Struct. 2019, 1194, 171–177. [Google Scholar] [CrossRef]
- Ajibade, P.A.; Oluwalana, A.E.; Sikakane, B.M.; Singh, M. Structural, photocatalytic and anticancer studies of hexadecylamine capped ZnS nanoparticles. Chem. Phys. Lett. 2020, 755, 137813. [Google Scholar] [CrossRef]
- Ajibade, P.A.; Andrew, F.P.; Botha, N.L.; Solomane, N. Synthesis, crystal structures and anticancer studies of morpholinyldithiocarbamato Cu(II) and Zn(II) complexes. Molecules 2020, 25, 3584. [Google Scholar] [CrossRef]
- Danish, M.; Muneer, M. Novel ZnSQDs-SnO2/g-C3N4 nanocomposite with enhanced photocatalytic performance for the degradation of different organic pollutants in aqueous suspension under visible light. J. Phys. Chem. Solids 2021, 149, 109785. [Google Scholar] [CrossRef]
- Nezar, S.; Cherifi, Y.; Barras, A.; Addad, A.; Dogheche, E.; Saoula, N.; Laoufi, N.A.; Roussel, P.; Szunerits, S.; Boukherroub, R. Efficient reduction of Cr(VI) under visible light irradiation using CuS nanostructures. Arab. J. Chem. 2019, 12, 215–224. [Google Scholar] [CrossRef]
- Masar, M.; Urbanek, M.; Urbanek, P.; Machovska, Z.; Maslik, J.; Yadav, R.S.; Skoda, D.; Machovsky, M.; Kuritka, I. Synthesis, characterization and examination of photocatalytic performance of hexagonal covellite CuS nanoplates. Mater. Chem. Phys. 2019, 237, 121823. [Google Scholar] [CrossRef]
- Sabaghi, V.; Davar, F.; Sadat Nabi, A.; Hasani, S. The effects of thioacetamide/copper molar ratio and reaction time on the phase evolution, morphology, optical, and photocatalytic properties of the nanosheets based flower-like copper sulfide. Int. J. Appl. Ceram. Technol. 2019, 16, 2322–2330. [Google Scholar] [CrossRef]
- Muradov, M.B.; Balayeva, O.O.; Azizov, A.A.; Maharramov, A.M.; Qahramanli, L.R.; Eyvazova, G.M.; Aghamaliyev, Z.A. Synthesis and characterization of cobalt sulfide nanoparticles by sonochemical method. Infrared Phys. Technol. 2018, 89, 255–262. [Google Scholar] [CrossRef]
- Li, N.; Yin, D.; Xu, L.; Zhao, H.; Liu, Z.; Du, Y. High-quality ultralong copper sulphide nanowires for promising applications in high efficiency solar water evaporation. Mater. Chem. Front. 2019, 3, 394–398. [Google Scholar] [CrossRef]
- Botha, N.L.; Ajibade, P.A. Optical and structural characterization of copper sulphide nanoparticles from copper(II) piperidine dithiocarbamate. Opt. Quantum Electron. 2020, 52, 1–11. [Google Scholar] [CrossRef]
- Ma, R.; Stegemeier, J.; Levard, C.; Dale, J.G.; Noack, C.W.; Yang, T.; Brown, G.E.; Lowry, G.V. Sulfidation of copper oxide nanoparticles and properties of resulting copper sulfide. Environ. Sci. Nano 2014, 1, 347–357. [Google Scholar] [CrossRef]
- Zheng, W.; Wang, Q.; Wang, D.; Sun, H. CuS/gC3N4 Composite as High-Performance Counter Electrode Materials in QDSCs. IEEE J. Photovolt. 2020, 10, 1340–1345. [Google Scholar] [CrossRef]
- Paca, A.M.; Ajibade, P.A. Bis-(N-ethylphenyldithiocarbamato) palladium(II) as molecular precursor for palladium sulfide nanoparticles. J. Mol. Struct. 2021, 1243, 130777. [Google Scholar] [CrossRef]
- Neelgund, G.M.; Karthikeyan, B.; Shivashankar, S.; Oki, A. Single-step, size-controlled synthesis of colloidal silver nanoparticles stabilized by octadecylamine. Appl. Surf. Sci. 2015, 356, 726–731. [Google Scholar] [CrossRef]
- Wang, X.; Hu, H.; Chen, S.; Zhang, K.; Zhang, J.; Zou, W.; Wang, R. One-step fabrication of BiOCl/CuS heterojunction photocatalysts with enhanced visible-light responsive activity. Mater. Chem. Phys. 2015, 158, 67–73. [Google Scholar] [CrossRef]
- Paca, A.M.; Ajibade, P.A. Synthesis and structural studies of iron sulphide nanocomposites prepared from Fe(III) dithiocarbamates single source precursors. Mater. Chem. Phys. 2017, 202, 143–150. [Google Scholar] [CrossRef]
- Baláž, M.; Dutková, E.; Bujňáková, Z.; Tóthová, E.; Kostova, N.G.; Karakirova, Y.; Briančin, J.; Kaňuchová, M. Mechanochemistry of copper sulfides: Characterization, surface oxidation and photocatalytic activity. J. Alloys Compd. 2018, 746, 576–582. [Google Scholar] [CrossRef]
- Hosseinpour, Z.; Hosseinpour, S. Facile synthesis of Er:CuS flowers and their application in the photo-catalytic activity. Mater. Sci. Semicond. Process. 2017, 72, 32–36. [Google Scholar] [CrossRef]
- Iqbal, S.; Bahadur, A.; Anwer, S.; Ali, S.; Saeed, A.; Irfan, R.M.; Li, H.; Javed, M.; Raheel, M.; Shoaib, M. Shape and phase-controlled synthesis of specially designed 2D morphologies of L-cysteine surface capped covellite (CuS) and chalcocite (Cu2S) with excellent photocatalytic properties in the visible spectrum. Appl. Surf. Sci. 2020, 526, 146691. [Google Scholar] [CrossRef]
- Eltaweil, A.; Mohamed, H.A.; Abd El-Monaem, E.M.; El-Subruiti, G. Mesoporous magnetic biochar composite for enhanced adsorption of malachite green dye: Characterization, adsorption kinetics, thermodynamics and isotherms. Adv. Powder Technol. 2020, 31, 1253–1263. [Google Scholar] [CrossRef]
- Poorsajadi, F.; Sayadi, M.H.; Hajiani, M.; Rezaei, M.R. Synthesis of CuO/Bi2O3 nanocomposite for efficient and recycling photodegradation of methylene blue dye. J. Environ. Anal. Chem. 2020, 1–14. [Google Scholar] [CrossRef]
- Sarkhosh, M.; Sadani, M.; Abtahi, M.; Mohseni, S.M.; Sheikhmohammadi, A.; Azarpira, H.; Najafpoor, A.A.; Atafar, Z.; Rezaei, S.; Alli, R. Enhancing photo-degradation of ciprofloxacin using simultaneous usage of eaq− and OH over UV/ZnO/I-process: Efficiency, kinetics, pathways, and mechanisms. J. Hazard. Mater. 2019, 377, 418–426. [Google Scholar] [CrossRef]
- ul Ain, N.; Aamir, A.; Khan, Y.; Rehman, M.-U.; Lin, D.-J. Catalytic and photocatalytic efficacy of hexagonal CuS nanoplates derived from copper(II) dithiocarbamate. Mater. Chem. Phys. 2020, 242, 122408. [Google Scholar]
- Pouretedal, H.R.; Norozi, A.; Keshavarz, M.H.; Semnani, A. Nanoparticles of zinc sulfide doped with manganese, nickel and copper as nanophotocatalyst in the degradation of organic dyes. J. Hazard. Mater. 2009, 162, 674–681. [Google Scholar] [CrossRef]
- Li, S.; Zhang, Z.; Yan, L.; Jiang, S.; Zhu, N.; Li, J.; Li, W.; Yu, S. Fast synthesis of CuS and Cu9S5 microcrystal using subcritical and supercritical methanol and their application in photocatalytic degradation of dye in water. J. Supercrit. Fluids 2017, 123, 11–17. [Google Scholar] [CrossRef]
- Qi, J.; Wen, J.; Wang, Q.; Jin, X.; Zhou, X. Preparation and photocatalytic properties of hexagonal and orthogonal CuS micro-nanoparticles by an oil-water interface method. Mater. Chem. Phys. 2020, 255, 123629. [Google Scholar] [CrossRef]
- Wang, R.; Shan, G.; Wang, T.; Yin, D.; Chen, Y. Photothermal enhanced photocatalytic activity based on Ag-doped CuS nanocomposites. J. Alloys Compd. 2021, 864, 158591. [Google Scholar] [CrossRef]
- Solomane, N.; Ajibade, P.A. Synthesis and crystal structure of bis (thiomorpholinyldithiocarbamato) Cu(II) complex and its use as precursor for CuS nanoparticles photocatalyst for the degradation of organic dyes. J. Sulfur Chem. 2021, 42, 167–179. [Google Scholar] [CrossRef]
- Ruchi, A.K.R.; Gupta, M.; Ameta, R.; Ameta, S.C. Reduced graphene Oxide/CuS nanocomposite: An efficient photocatalyst for degradation of crystal violet. J. Nanosci. Nanotechnol. 2019, 5, 673–675. [Google Scholar]
- Gunnagol, R.M.; Rabinal, M. H K. TiO2/rGO/CuS nanocomposites for efficient photocatalytic degradation of rhodamine-B dye. ChemistrySelect 2019, 4, 6167–6176. [Google Scholar] [CrossRef]
- Rohokale, M.S.; Dhabliya, D.; Sathish, T.; Vijayan, V.; Senthilkumar, N. A novel two-step co-precipitation approach of CuS/NiMn2O4 heterostructured nanocatalyst for enhanced visible light driven photocatalytic activity via efficient photo-induced charge separation properties. Phys. B Condens. Matter 2021, 610, 412902. [Google Scholar] [CrossRef]
- Cai, Z.; Zhou, Y.; Ma, S.; Li, S.; Yang, H.; Zhao, S.; Zhong, X.; Wu, W. Enhanced visible light photocatalytic performance of g-C3N4/CuS p-n heterojunctions for degradation of organic dyes. J. Photochem. Photobiol. A 2017, 348, 168–178. [Google Scholar] [CrossRef]
- Saravanan, R.; Khan, M.M.; Gupta, V.K.; Mosquera, E.; Gracia, F.; Narayanan, V.; Stephen, A. ZnO/Ag/CdO nanocomposite for visible light-induced photocatalytic degradation of industrial textile effluents. J. Colloid Interface Sci. 2015, 452, 126–133. [Google Scholar] [CrossRef] [PubMed]
- Abdpour, S.; Kowsari, E.; Bazri, B.; Moghaddam, M.R.A.; Tafreshi, S.S.; de Leeuw, N.H.; Simon, I.; Schmolke, L.; Dietrich, D.; Ramakrishna, S. Amino-functionalized MIL-101 (Cr) photodegradation enhancement by sulfur-enriched copper sulfide nanoparticles: An experimental and DFT study. J. Mol. Liq. 2020, 319, 114341. [Google Scholar] [CrossRef]
- Sharma, S.; Khare, N. Hierarchical Bi2S3 nanoflowers: A novel photocatalyst for enhanced photocatalytic degradation of binary mixture of rhodamine B and methylene blue dyes and degradation of mixture of p-nitrophenol and p-chlorophenol. Adv. Powder Technol. 2018, 29, 3336–3347. [Google Scholar] [CrossRef]
- Fu, Y.; Li, Q.; Liu, J.; Jiao, Y.; Hu, S.; Wang, H.; Xu, S.; Jiang, B. In-situ chemical vapor deposition to fabricate Cuprous oxide/copper sulfide core-shell flowers with boosted and stable wide-spectral region photocatalytic performance. J. Colloid Interface Sci. 2020, 570, 143–152. [Google Scholar] [CrossRef]
- Zhou, S.-l.; Gong, L.-g.; Zhao, X.-Y.; Liang, Q.-l.; Zhang, W.-J.; Wang, L.-Y.; Yu, K.; Zhou, B.-B. Synthesis and photocatalytic performance of copper sulfide by a simple solvothermal method. Chem. Phys. Lett. 2020, 759, 138034. [Google Scholar] [CrossRef]
- Chen, Q.; Ji, F.; Liu, T.; Yan, P.; Guan, W.; Xu, X. Synergistic effect of bifunctional Co–TiO2 catalyst on degradation of Rhodamine B: Fenton-photo hybrid process. Chem. Eng. J. 2013, 229, 57–65. [Google Scholar] [CrossRef]
- Varghese, J. CuS-ZnS decorated graphene nanocomposites: Synthesis and photocatalytic properties. J. Phys. Chem. Solids 2020, 156, 109911. [Google Scholar]
- Azeez, F.; Al-Hetlani, E.; Arafa, M.; Abdelmonem, Y.; Nazeer, A.A.; Amin, M.O.; Madkour, M. The effect of surface charge on photocatalytic degradation of methylene blue dye using chargeable titania nanoparticles. Sci. Rep. 2018, 8, 1–9. [Google Scholar] [CrossRef]
- Kumari, S.; Khan, A.A.; Chowdhury, A.; Bhakta, A.K.; Mekhalif, Z.; Hussain, S. Efficient and highly selective adsorption of cationic dyes and removal of ciprofloxacin antibiotic by surface modified nickel sulfide nanomaterials: Kinetics, isotherm and adsorption mechanism. Colloids Surf. A 2020, 586, 124264. [Google Scholar] [CrossRef]
- Bello, O.S.; Lasisi, B.M.; Adigun, O.J.; Ephraim, V. Scavenging rhodamine B dye using Moringa oleifera seed pod. Chem. Speciat. Bioavailab. 2017, 29, 120–134. [Google Scholar] [CrossRef] [Green Version]
- Rehman, F.; Murtaza, S.; AliI Khan, J.; Khan, H.M. Removal of crystal violet dye from aqueous solution by gamma irradiation. J. Chil. Chem. Soc. 2017, 62, 3359–3364. [Google Scholar] [CrossRef] [Green Version]
- Fan, H.-J.; Huang, S.-T.; Chung, W.-H.; Jan, J.-L.; Lin, W.-Y.; Chen, C.-C. Degradation pathways of crystal violet by Fenton and Fenton-like systems: Condition optimization and intermediate separation and identification. J. Hazard. Mater. 2009, 171, 1032–1044. [Google Scholar] [CrossRef] [PubMed]
- Houas, A.; Lachheb, H.; Ksibi, M.; Elaloui, E.; Guillard, C.; Herrmann, J.-M. Photocatalytic degradation pathway of methylene blue in water. Appl. Catal. B 2001, 31, 145–157. [Google Scholar] [CrossRef]













| Dyes | Irradiation Time (min) | Light Source (lamp) | Degradation (%) | Reference |
|---|---|---|---|---|
| Methylene blue | 400 | 25 W daylight | 85.38 | [56] |
| 180 | 36 W daylight | 92 | [57] | |
| 80 | Xenon | 52.39 | [58] | |
| 40 | 500 W Xenon | 7.2 | [19] | |
| 120 | 70 W Mercury | 100 | This work | |
| Crystal violet | 60 | 70 W Mercury | 6 | [59] |
| 120 | 200 W Tungsten | 48.1 | [60] | |
| 120 | 70 W Mercury | 84.6 | This work | |
| Rhodamine B | 160 | 500 W Halogen | 24.23 | [61] |
| 120 | 15 W Tungsten | 42 | [62] | |
| 60 | 300 W Xenon | 60 | [63] | |
| 120 | 70 W Mercury | 81.4 | This work | |
| CV in (CV/MB/RhB) | 120 | 70 W Mercury | 89.8 | This work |
| MB in (CV/MB/RhB) | 92.1 | |||
| RhB in (CV/MB/RhB) | 88.7 |
| Dye | Catalyst | Degradation Efficiency (%) | Rate Constant (min−1) | R2 |
|---|---|---|---|---|
| CV | CuS1 | 56.9 | 0.0066 | 0.9674 |
| CuS2 | 72.8 | 0.0104 | 0.9794 | |
| CuS3 | 84.6 | 0.0145 | 0.9621 | |
| MB | CuS1 | 31.9 | 0.006 | 0.9461 |
| CuS2 | 60.1 | 0.0078 | 0.9922 | |
| CuS3 | 99.2 | 0.0481 | 0.9608 | |
| RhB | CuS1 | 26.5 | 0.0025 | 0.9263 |
| CuS2 | 53.0 | 0.0062 | 0.9415 | |
| CuS3 | 81.1 | 0.0127 | 0.9354 | |
| CV in (CV/MB/RhB) | CuS1 | 545 | 0.0062 | 0.9888 |
| CuS2 | 79.2 | 0.0126 | 0.9794 | |
| CuS3 | 89.8 | 00166 | 0.9192 | |
| MB in (CV/MB/RhB) | CuS1 | 67.6 | 0.0093 | 0.9527 |
| CuS2 | 75.5 | 0.0122 | 0.9900 | |
| CuS3 | 92.1 | 0.0197 | 0.9715 | |
| RhB in (CV/MB/RhB) | CuS1 | 45.8 | 0.0048 | 0.9684 |
| CuS2 | 67.8 | 0.0092 | 0.9925 | |
| CuS3 | 88.7 | 0.0164 | 0.9561 |
Publisher’s Note: MDPI stays neutral with regard to jurisdictional claims in published maps and institutional affiliations. |
© 2021 by the authors. Licensee MDPI, Basel, Switzerland. This article is an open access article distributed under the terms and conditions of the Creative Commons Attribution (CC BY) license (https://creativecommons.org/licenses/by/4.0/).
Share and Cite
Ajibade, P.A.; Oluwalana, A.E. Enhanced Photocatalytic Degradation of Ternary Dyes by Copper Sulfide Nanoparticles. Nanomaterials 2021, 11, 2000. https://doi.org/10.3390/nano11082000
Ajibade PA, Oluwalana AE. Enhanced Photocatalytic Degradation of Ternary Dyes by Copper Sulfide Nanoparticles. Nanomaterials. 2021; 11(8):2000. https://doi.org/10.3390/nano11082000
Chicago/Turabian StyleAjibade, Peter A., and Abimbola E. Oluwalana. 2021. "Enhanced Photocatalytic Degradation of Ternary Dyes by Copper Sulfide Nanoparticles" Nanomaterials 11, no. 8: 2000. https://doi.org/10.3390/nano11082000
APA StyleAjibade, P. A., & Oluwalana, A. E. (2021). Enhanced Photocatalytic Degradation of Ternary Dyes by Copper Sulfide Nanoparticles. Nanomaterials, 11(8), 2000. https://doi.org/10.3390/nano11082000

