Optimizing K0.5Na0.5NbO3 Single Crystal by Engineering Piezoelectric Anisotropy
Abstract
:1. Introduction
2. Materials and Methods
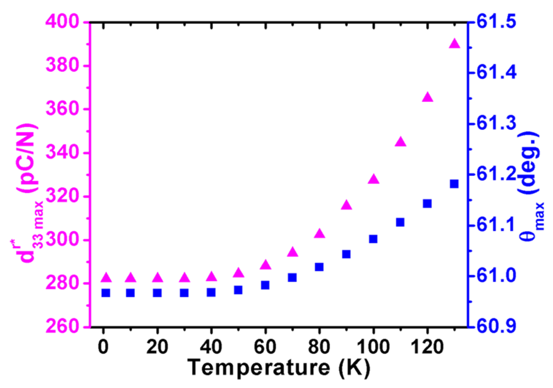
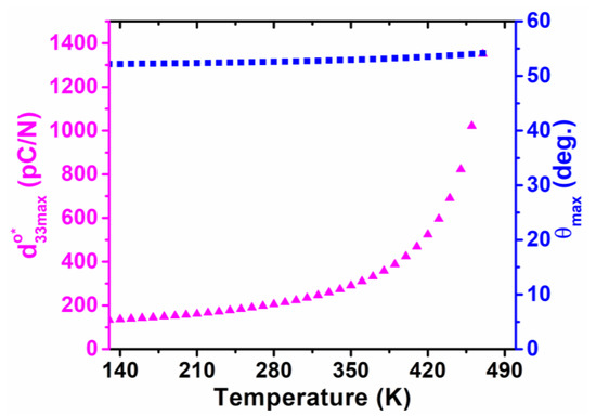
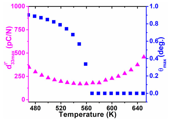
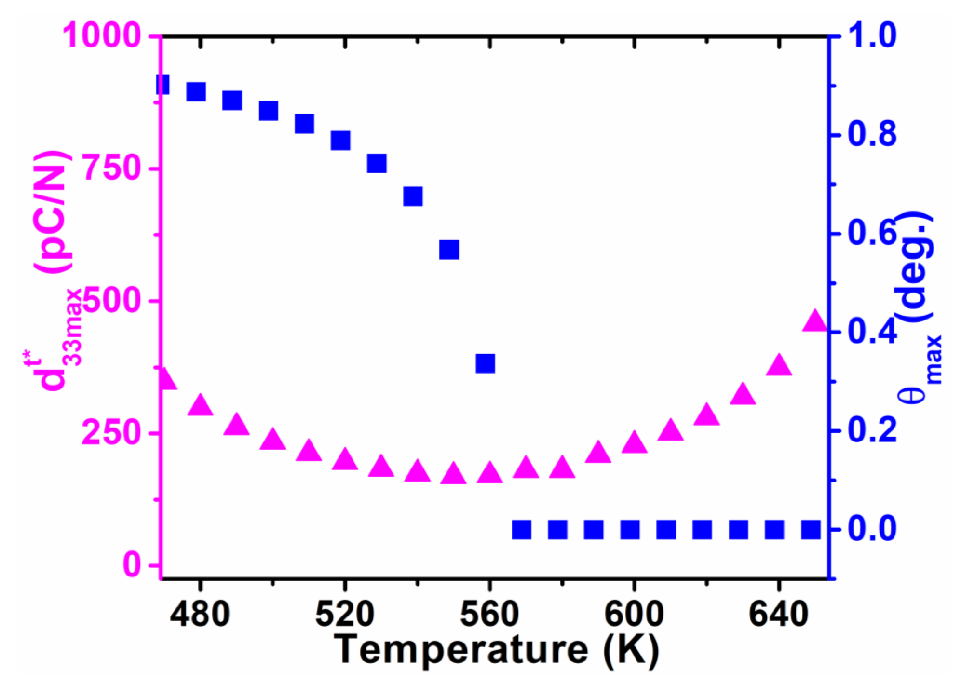
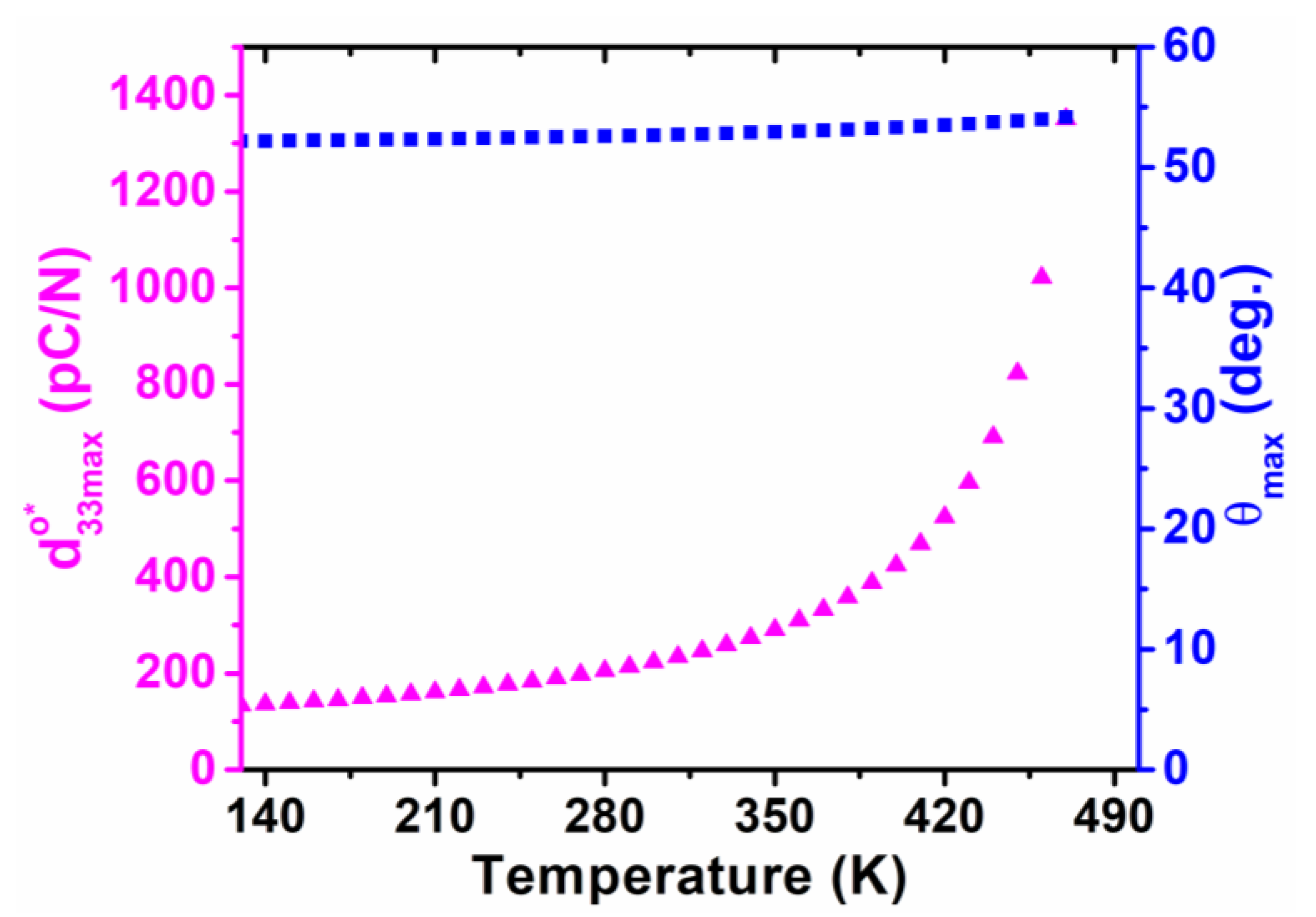
3. Results and Discussion
4. Conclusions
Author Contributions
Funding
Data Availability Statement
Acknowledgments
Conflicts of Interest
References
- Han, M.; Wang, H.; Yang, Y.; Liang, C.; Bai, W.; Yan, Z.; Li, H.; Xue, Y.; Wang, X.; Akar, B.; et al. Three-dimensional piezoelectric polymer microsystems for vibrational energy harvesting, robotic interfaces and biomedical implants. Nat. Electron. 2019, 2, 26–35. [Google Scholar] [CrossRef]
- Lim, S.; Son, D.; Kim, J.; Lee, Y.B.; Song, J.K.; Choi, S.; Lee, D.J.; Kim, J.H.; Lee, M.; Hyeon, T.; et al. Transparent and Stretchable Interactive Human Machine Interface Based on Patterned Graphene Heterostructures. Adv. Funct. Mater. 2015, 25, 375–383. [Google Scholar] [CrossRef]
- Wang, X.; Song, J.; Liu, J.; Wang, Z.L. Direct-Current Nanogenerator Driven by Ultrasonic Waves. Science 2007, 316, 102–105. [Google Scholar] [CrossRef] [PubMed] [Green Version]
- Chorsi, M.T.; Curry, E.J.; Chorsi, H.T.; Das, R.; Baroody, J.; Purohit, P.K.; Ilies, H.; Nguyen, T.D. Piezoelectric biomaterials for sensors and actuators. Adv. Mater. 2019, 31, 1802084. [Google Scholar] [CrossRef] [PubMed] [Green Version]
- Deng, Y.; Wang, J.L.; Zhu, K.R.; Zhang, M.S.; Hong, J.M.; Gu, Q.R.; Yin, Z. Synthesis and characterization of single-crystal PbTiO3 nanorods. Mater. Lett. 2005, 59, 3272–3275. [Google Scholar] [CrossRef]
- Li, F.; Cabral, M.J.; Xu, B.; Cheng, Z.; Dickey, E.C.; LeBeau, J.M.; Wang, J.L.; Luo, J.; Taylor, S.; Hackenberger, W.; et al. Giant piezoelectricity of Sm-doped Pb(Mg1/3Nb2/3)O3-PbTiO3 single crystals. Science 2019, 364, 264–268. [Google Scholar] [CrossRef]
- Wang, K.; Malič, B.; Wu, J. Shifting the phase boundary: Potassium sodium niobate derivates. MRS Bull. 2018, 43, 607–611. [Google Scholar] [CrossRef]
- Helden, L.; Bogula, L.; Janolin, P.; Hanke, M.; Breuer, T.; Schmidbauer, M.; Ganschow, S.; Schwarzkopf, J. Huge impact of compressive strain on phase transition temperatures in epitaxial ferroelectric KxNa1−xNbO3 thin films. Appl. Phys. Lett. 2019, 114, 232905. [Google Scholar] [CrossRef] [Green Version]
- Schmidbauer, M.; Braun, D.; Markurt, T.; Hanke, M.; Schwarzkopf, J. Strain engineering of monoclinic domains in KxNa1-xNbO3 epitaxial layers: A pathway to enhanced piezoelectric properties. Nanotechnology 2017, 28, 24LT02. [Google Scholar] [CrossRef]
- Wang, K.; Li, J.F. Domain Engineering of Lead-Free Li-Modified (K, Na)NbO3 Polycrystals with Highly Enhanced Piezoelectricity. Adv. Funct. Mater. 2010, 20, 1924–1929. [Google Scholar] [CrossRef]
- Hollenstein, E.; Davis, M.; Damjanovic, D.; Setter, N. Piezoelectric properties of Li- and Ta-modified (K0.5Na0.5)NbO3 ceramics. Appl. Phys. Lett. 2005, 87, 82905. [Google Scholar] [CrossRef]
- Matsubara, M.; Kikuta, K.; Hirano, S. Piezoelectric properties of (K0.5Na0.5)(Nb1−xTax)O3−K5.4CuTa10O29 ceramics. J. Appl. Phys. 2005, 97, 114105. [Google Scholar] [CrossRef]
- Mgbemere, H.E.; Hinterstein, M.; Schneider, G.A. Structural phase transitions and electrical properties of (KxNa1−x)NbO3-based ceramics modified with Mn. J. Eur. Ceram. Soc. 2012, 32, 4341–4352. [Google Scholar] [CrossRef]
- Shirane, G.; Newnham, R.; Pepinsky, R. Dielectric Properties and Phase Transitions of NaNbO3 and (Na,K)NbO3. Phys. Rev. 1954, 96, 581. [Google Scholar] [CrossRef]
- Jiang, M.; Zhang, J.; Rao, G.; Li, D.; Randall, C.A.; Li, T.; Peng, B.; Li, L.; Gu, Z.; Liu, X.; et al. Ultrahigh piezoelectric coefficient of a lead-free K0.5Na0.5NbO3-based single crystal fabricated by a simple seed-free solid-state growth method. J. Mater. Chem. C 2019, 7, 14816–14844. [Google Scholar] [CrossRef]
- Liu, H.; Veber, P.; Rödel, J.; Rytz, D.; Fabritchnyi, P.B.; Afanasov, M.I.; Patterson, E.A.; Frömling, T.; Maglione, M.; Koruza, J. High-performance piezoelectric (K,Na,Li)(Nb,Ta,Sb)O3 single crystals by oxygen annealing. Acta Mater. 2018, 148, 499–507. [Google Scholar] [CrossRef]
- Zhu, B.; Zhu, Y.; Yang, J.; Ou-Yang, J.; Yang, X.; Li, Y.; Wei, W. New Potassium Sodium Niobate Single Crystal with Thickness-independent High-performance for Photoacoustic Angiography of Atherosclerotic Lesion. Sci. Rep. 2016, 6, 39679. [Google Scholar] [CrossRef] [PubMed] [Green Version]
- Ma, J.; Xue, S.; Zhao, X.; Wang, F.; Tang, Y.; Duan, Z.; Wang, T.; Shi, W.; Yue, Q.; Zhou, H.; et al. High frequency transducer for vessel imaging based on lead-free Mn-doped (K0.44Na0.56)NbO3 single crystal. Appl. Phys. Lett. 2017, 111, 092903. [Google Scholar] [CrossRef]
- Koruza, J.; Liu, H.; Höfling, M.; Zhang, M.-H.; Veber, P. (K,Na)NbO3-based piezoelectric single crystals: Growth methods, properties, and applications. J. Mater. Res. 2020, 35, 990–1016. [Google Scholar] [CrossRef]
- Rodel, J.; Li, J.-F. Lead-free piezoceramics: Status and perspectives. MRS Bull. 2018, 43, 576–580. [Google Scholar] [CrossRef] [Green Version]
- Li, J.F.; Wang, K.; Zhu, F.Y.; Cheng, L.Q.; Yao, F.Z. (K,Na)NbO3-Based Lead-Free Piezoceramics: Fundamental Aspects, Processing Technologies, and Remaining Challenges. J. Am. Ceram. Soc. 2013, 96, 3677–3696. [Google Scholar] [CrossRef]
- Li, J.-F.; Wang, K.; Zhang, B.-P.; Zhang, L.-M. Ferroelectric and Piezoelectric Properties of Fine-Grained Na0.5K0.5NbO3 Lead-Free Piezoelectric Ceramics Prepared by Spark Plasma Sintering. J. Am. Ceram. Soc. 2006, 89, 706–709. [Google Scholar] [CrossRef]
- Yao, F.; Wang, K.; Cheng, L.; Zhang, X.; Zhang, W.; Zhu, F.; Li, J. Nanodomain Engineered (K,Na)NbO3 Lead-Free Piezoceramics: Enhanced Thermal and Cycling Reliabilities. J. Am. Ceram. Soc. 2015, 98, 448–454. [Google Scholar] [CrossRef]
- Lv, X.; Zhang, J.; Liu, Y.; Li, F.; Zhang, X.; Wu, J. Synergetic Contributions in Phase Boundary Engineering to the Piezoelectricity of Potassium Sodium Niobate Lead-Free Piezoceramics. ACS Appl. Mater. Interfaces 2020, 12, 39455–39461. [Google Scholar] [CrossRef]
- Wu, J.; Xiao, D.; Zhu, J. Potassium–sodium niobate lead-free piezoelectric materials: Past, present, and future of phase boundaries. Chem. Rev. 2015, 115, 2559–2595. [Google Scholar] [CrossRef]
- Li, P.; Zhai, J.; Shen, B.; Zhang, S.; Li, X.; Zhu, F.; Zhang, X. Ultrahigh piezoelectric properties in textured (K, Na) NbO3-based lead-free ceramics. Adv. Mater. 2018, 30, 1705171. [Google Scholar] [CrossRef]
- Uchino, K.; OH, K. Piezoelectric anisotropy and polarization sublattice coupling in perovskite crystals. J. Am. Ceram. Soc. 1991, 74, 1131–1134. [Google Scholar] [CrossRef]
- Takeuchi, H.; Jyomura, S.; Yamamoto, E.; Ito, Y. Electromechanical properties of (Pb, Ln) (Ti, Mn) O3 ceramics (Ln= rare earths). J. Acoust. Soc. Am. 1982, 72, 1114–1120. [Google Scholar] [CrossRef]
- Newnham, K.; Skinner, D.; Cross, L. Connectivity and piezoelectric-pyroelectric composites. Mat. Res. Bull. 1978, 13, 525–536. [Google Scholar] [CrossRef]
- Damjanovic, D. Ferroelectric, dielectric and piezoelectric properties of ferroelectric thin films and ceramics. Rep. Prog. Phys. 1998, 61, 1267. [Google Scholar] [CrossRef] [Green Version]
- Pohlmann, H.; Wang, J.; Wang, B.; Chen, L. A thermodynamic potential and the temperature-composition phase diagram for single-crystalline K1-xNaxNbO3 (0 ≤ x ≤ 0.5). Appl. Phys. Lett. 2017, 110, 102906. [Google Scholar] [CrossRef]
- Wang, B.; Chen, N.; Wang, J.; Chen, L. Ferroelectric domain structures and temperature-misfit strain phase diagrams of K1-xNaxNbO3 thin films: A phase-field study. Appl. Phys. Lett. 2019, 115, 092902. [Google Scholar] [CrossRef]
- Cao, G.; Huang, H.; Liang, D.; Ma, X. A phenomenological potential and ferroelectric properties of BaTiO3–CaTiO3 solid solution. Ceram. Int. 2017, 43, 6671–6676. [Google Scholar] [CrossRef]
- Zhou, M.; Wang, J.; Chen, L.; Nan, C. Strain, temperature, and electric-field effects on the phase transition and piezoelectric responses of K0.5Na0.5NbO3 thin films. J. Appl. Phys. 2018, 123, 154106. [Google Scholar] [CrossRef]
- Tagantsev, A.K. Landau Expansion for Ferroelectrics: Which Variable to Use? Ferroelectrics 2008, 375, 19–27. [Google Scholar] [CrossRef]
- Li, L.; Gong, Y.; Gong, L.; Dong, H.; Yi, X.; Zheng, X. Low-temperature hydro/solvothermal synthesis of Ta-modified K0.5Na0.5NbO powders and piezoelectric properties of corresponding ceramics. Mater. Des. 2012, 33, 362–366. [Google Scholar] [CrossRef]
- Liang, L.; Li, Y.; Hu, S.; Chen, L.; Lu, G. Piezoelectric anisotropy of a KNbO3 single crystal. J. Appl. Phys. 2010, 108, 094111. [Google Scholar] [CrossRef]
- Budimir, M.; Damjanovic, D.; Setter, N. Piezoelectric anisotropy–phase transition relations in perovskite single crystals. J. Appl. Phys. 2003, 94, 6753–6761. [Google Scholar] [CrossRef]
- Long, C.; Li, T.; Fan, H.; Wu, Y.; Zhou, L.; Li, Y.; Xiao, L.; Li, Y. Li-substituted K0.5Na0.5NbO3-based piezoelectric ceramics: Crystalstructures and the effect of atmosphere on electrical properties. J. Alloy. Compd. 2016, 658, 839–847. [Google Scholar] [CrossRef]
















Publisher’s Note: MDPI stays neutral with regard to jurisdictional claims in published maps and institutional affiliations. |
© 2021 by the authors. Licensee MDPI, Basel, Switzerland. This article is an open access article distributed under the terms and conditions of the Creative Commons Attribution (CC BY) license (https://creativecommons.org/licenses/by/4.0/).
Share and Cite
Li, W.; Chen, C.; Xie, G.; Su, Y. Optimizing K0.5Na0.5NbO3 Single Crystal by Engineering Piezoelectric Anisotropy. Nanomaterials 2021, 11, 1753. https://doi.org/10.3390/nano11071753
Li W, Chen C, Xie G, Su Y. Optimizing K0.5Na0.5NbO3 Single Crystal by Engineering Piezoelectric Anisotropy. Nanomaterials. 2021; 11(7):1753. https://doi.org/10.3390/nano11071753
Chicago/Turabian StyleLi, Weixiong, Chunxu Chen, Guangzhong Xie, and Yuanjie Su. 2021. "Optimizing K0.5Na0.5NbO3 Single Crystal by Engineering Piezoelectric Anisotropy" Nanomaterials 11, no. 7: 1753. https://doi.org/10.3390/nano11071753
APA StyleLi, W., Chen, C., Xie, G., & Su, Y. (2021). Optimizing K0.5Na0.5NbO3 Single Crystal by Engineering Piezoelectric Anisotropy. Nanomaterials, 11(7), 1753. https://doi.org/10.3390/nano11071753

