Analysis of Nanoscratch Mechanism of C-Plane Sapphire with the Aid of Molecular Dynamics Simulation of Hcp Crystal
Abstract
1. Introduction
2. Crystal Structure and Anisotropy
2.1. Structure Feature
2.2. Anisotropic Properties
3. Experimental Set-Up for Nanoscratch
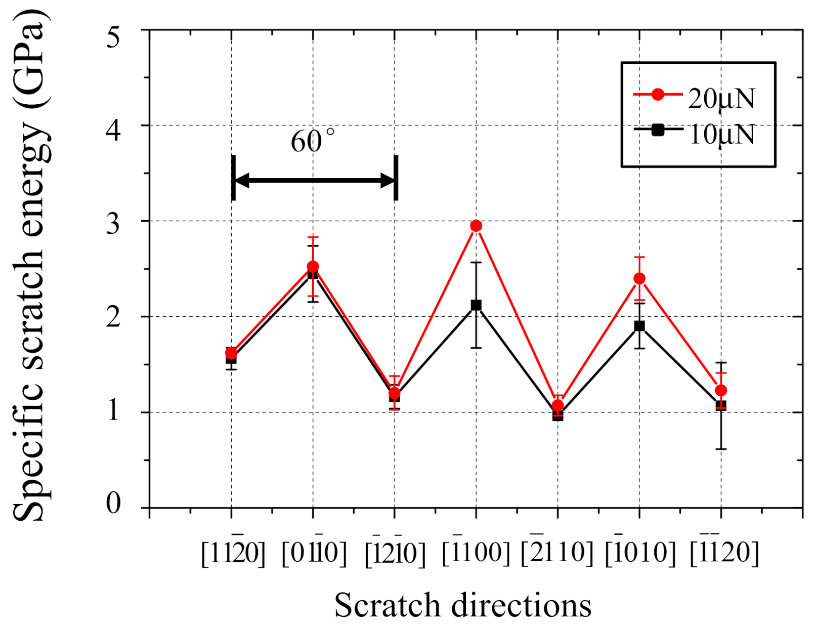
4. Experimental Results
Scratch Force, Depth, and Specific Energy
5. Molecular Dynamics Modeling for Hcp Crystal
6. MD Simulation Results and Discussion
6.1. MD Simulation Results
6.2. Comparison between Experimental and Simulation Results
7. Conclusions
Author Contributions
Funding
Data Availability Statement
Conflicts of Interest
References
- Khattak, C.P.; Shetty, R.; Schwerdtfeger, C.R.; Ullal, S. World’s largest sapphire for many applications. J. Cryst. Growth 2016, 452, 44–48. [Google Scholar] [CrossRef]
- Shang, L.; Xu, B.; Ma, S.; Liu, Q.; Ouyang, H.; Shan, H.; Hao, X.; Han, B. The Surface Morphology Evolution of GaN Nucleation Layer during Annealing and Its Influence on the Crystal Quality of GaN Films. Coatings 2021, 11, 188. [Google Scholar] [CrossRef]
- Wang, Q.; Liang, Z.; Wang, X.; Zhao, W.; Wu, Y.; Zhou, T. Fractal analysis of surface topography in ground monocrystal sapphire. Appl. Surf. Sci. 2015, 327, 182–189. [Google Scholar] [CrossRef]
- Soltis, P.J. Anisotropic Mechanical Behavior in Sapphire (Al2O3) Whiskers; Naval Air Engineering Center Lakehurst NJ Aeronautical Materials Lab, Defense Technical Information Center: Fort Belvoir, VA, USA, 1964. [Google Scholar]
- Wiederhorn, S.M. Fracture of sapphire. J. Am. Ceram. Soc. 1969, 52, 485–491. [Google Scholar] [CrossRef]
- Nowak, R.; Sekino, T.; Niihara, K. Surface deformation of sapphire crystal. Philos. Mag. A 1996, 74, 171–194. [Google Scholar] [CrossRef]
- Voloshin, A.V.; Dolzhenkova, E.F.; Litvinov, L.A. Anisotropy of deformation and fracture processes in sapphire surface. J. Superhard Mat. 2015, 37, 341–345. [Google Scholar] [CrossRef]
- Hockey, B.J. Plastic deformation of aluminum oxide by indentation and abrasion. J. Am. Ceram. Soc. 1971, 54, 223–231. [Google Scholar] [CrossRef]
- Chan, H.M.; Lawn, B.R. Indentation deformation and fracture of sapphire. J. Am. Ceram. Soc. 1988, 71, 29–35. [Google Scholar] [CrossRef]
- Lin, J.; Jiang, F.; Xu, X.; Jing, L.; Tian, Z.; Wen, Q.; Lu, X. Molecular dynamics simulation of nanoindentation on c-plane sapphire. Mech. Mater. 2021, 154, 103716. [Google Scholar] [CrossRef]
- Pöhl, F.; Hardes, C.; Theisen, W. Scratch behavior of soft metallic materials. AIMS Mater. Sci. 2016, 3, 390–403. [Google Scholar] [CrossRef]
- Wang, J.; Guo, B.; Zhao, Q.; Zhang, C.; Zhang, Q.; Chen, H.; Sun, J. Dependence of material removal on crystal orientation of sapphire under cross scratching. J. Eur. Ceram. Soc. 2017, 37, 2465–2472. [Google Scholar] [CrossRef]
- Mizumoto, Y.; Maas, P.; Kakinuma, Y.; Min, S. Investigation of the cutting mechanisms and the anisotropic ductility of monocrystalline sapphire. CIRP Ann. 2017, 66, 89–92. [Google Scholar] [CrossRef]
- Kareer, A.; Tarleton, E.; Hardie, C.; Hainsworth, S.V.; Wilkinson, A.J. Scratching the surface: Elastic rotations beneath nanoscratch and nanoindentation tests. Acta Met. 2020, 200, 116–126. [Google Scholar] [CrossRef]
- Lee, S.H. Analysis of ductile mode and brittle transition of AFM nanomachining of silicon. Int. J. Mach. Tools and Manuf. 2012, 61, 71–79. [Google Scholar] [CrossRef]
- Abdelkawy, A.; Yoshino, M.; Nakagawa, Y. Effect of Tool Rake Angle and Crystal Orientation on Ductile Mode Cutting of Hard/Brittle Materials. Int. J. Automation Technol. 2020, 14, 253–259. [Google Scholar] [CrossRef]
- Lin, J.; Jiang, F.; Wen, Q.; Wu, Y.; Lu, J.; Tian, Z.; Wang, N. Deformation anisotropy of nano-scratching on C-plane of sapphire: A molecular dynamics study and experiment. Appl. Surf. Sci. 2021, 546, 149091. [Google Scholar] [CrossRef]
- Heid, R.; Strauch, D.; Bohnen, K.P. Ab initio lattice dynamics of sapphire. Phys. Rev. B 2000, 61, 8625–8627. [Google Scholar] [CrossRef]
- Dobrovinskaya, E.R.; Lytvynov, L.A.; Pishchik, V. Sapphire: Material, Manufacturing, Application; Springer Science & Business Media: New York, NY, USA, 2009. [Google Scholar]
- Ganeshan, S.; Hector Jr, L.G.; Liu, Z.K. First-principles study of self-diffusion in hcp Mg and Zn. Comput. Mat. Sci. 2010, 50, 301–307. [Google Scholar] [CrossRef]
- Clayton, J.D. A continuum description of nonlinear elasticity slip and twinning, with application to sapphire. Proc. Roy. Soc. A 2009, 465, 307–334. [Google Scholar] [CrossRef]
- Yoo, M.H. Slip, twinning, and fracture in hexagonal close-packed metals. Metall. Trans. A 1981, 12, 409–418. [Google Scholar] [CrossRef]
- Maas, P.; Mizumoto, Y.; Kakinuma, Y.; Min, S. Anisotropic brittle-ductile transition of monocrystalline sapphire during orthogonal cutting and nanoindentation experiments. Nanotech. Prec. Eng. 2018, 1, 157–171. [Google Scholar] [CrossRef]
- Mohammadi, H.; Patten, J.A. Anisotropy Effect on Cutting Monocrystal Sapphire by Micro-Laser Assisted Machining Technique. In Proceedings of the ASME 2016 11th International Manufacturing Science and Engineering Conference, Blacksburg, VA, USA, 27 June–1 July 2016. [Google Scholar]
- Wang, J.; Guo, B.; Zhao, Q.; Zhang, C.; Zhang, Q.; Zhai, W. Evolution of material removal modes of sapphire under varied scratching depths. Ceram. Int. 2017, 43, 10353–10360. [Google Scholar] [CrossRef]
- Li, J.; Fang, Q.; Liu, Y.; Zhang, L. A molecular dynamics investigation into the mechanisms of subsurface damage and material removal of monocrystalline copper subjected to nanoscale high speed grinding. Appl. Surf. Sci. 2014, 303, 331–343. [Google Scholar] [CrossRef]
- Yan, Y.; Sun, T.; Dong, S.; Liang, Y. Study on effects of the feed on AFM-based nano-scratching process using MD simulation. Comput. Mater. Sci. 2007, 40, 1–5. [Google Scholar] [CrossRef]
- Hoover, W.G. Molecular Dynamics; Springer: Berlin, Germany, 1986. [Google Scholar]
- Hockney, R.W. The potential calculation and some applications. Methods Comput. Phys. 1970, 9, 135–211. [Google Scholar]
- Hung, N.V. A Method for Calculation of Morse Potential for fcc, bcc, hcp Crystals Applied to Debye-Waller Factor and Equation of State. Commun. Phys. 2004, 14, 7–14. [Google Scholar] [CrossRef]
- Daw, M.S.; Baskes, M.I. Embedded-atom method: Derivation and application to impurities, surfaces, and other defects in metals. Phys. Rev. B 1984, 29, 6443–6453. [Google Scholar] [CrossRef]
- Imafuku, M.; Sasajima, Y.; Yamamoto, R.; Doyama, M. Computer simulations of the structures of the metallic superlattices Au/Ni and Cu/Ni and their elastic moduli. J. Phys. F Met. Phys. 1986, 16, 823–830. [Google Scholar] [CrossRef]
- Tersoff, J. Empirical interatomic potential for carbon, with applications to amorphous carbon. Phys. Rev. Lett. 1988, 61, 2879–2882. [Google Scholar] [CrossRef]
- Shimizu, J.; Eda, H.; Zhou, L.; Okabe, H. Molecular Dynamics Simulation of Adhesion Effect on Material Removal and Tool Wear in Diamond Grinding of Silicon Wafer. Tribol. Online 2008, 3, 248–253. [Google Scholar] [CrossRef][Green Version]
- Shimizu, J.; Zhou, L.; Yamamoto, T. Molecular Dynamics Simulation of Chemical Reaction Assisted Grinding of Silicon Wafer by Controlling Interatomic Potential Parameters. J. Comput. Theor. Nanosci. 2010, 7, 2165–2170. [Google Scholar] [CrossRef]













| Slip/Twinning System | Description | |
|---|---|---|
| Basal slip | 2.7 < < 5.0 | |
| Basal twinning | > 4.0 | |
| Prism slip | 2.3 < < 5.7 | |
| Pyramidal slip | > 7.0 | |
| Rhombohedral twinning | 1.0 < < 8.1 |
| Slip/Twin System | Description |
|---|---|
| Basal slip | |
| Prismatic slip | |
| Pyramidal slip <a> | |
| Pyramidal slip <c+a> | |
| Tensile twin | |
| Compression twin |
| Instrument | SPM (SPA-300HV, Seiko Instruments Co., Japan) |
|---|---|
| Workpiece | Sapphire (c-plane) |
| Diamond tip | Trigonal pyramid (Tip radius = 100 nm) |
| Cantilever stiffness (N/m) | 200 |
| Normal load for observation (µN) | 0.2 |
| Normal load for nanoscratch test (µN) | 10, 20 |
| Scratch direction | , , , , , , |
| Scratch speed (µm/s) | 16 |
| Scratch length (µm) | 5 |
| Parameter | Zn-Zn [30] | C-Zn |
|---|---|---|
| D (eV) | 0.1700 | 0.06418 |
| (Å) | 1.705 | 2.13 |
| (Å−1) | 2.793 | 2.6363 |
| Workpiece | Monocrystalline Zinc (Zn(0001)) |
|---|---|
| Dimension of analysis area of workpiece (nm) | Radius: 8.1, Height: 6.7 |
| Scratching tool tip | Monocrystalline diamond (C) |
| Dimension of analysis area of tool tip (nm) | Tip radius: 4.5, Height: 2.2 |
| Initial and thermostat temperatures (K) | 300 |
| Scratch depth (nm) | 1.3 |
| Scratch length (nm) | 8 |
| Scratch speed (m/s) | 20 |
| Scratch direction | ,,, |
Publisher’s Note: MDPI stays neutral with regard to jurisdictional claims in published maps and institutional affiliations. |
© 2021 by the authors. Licensee MDPI, Basel, Switzerland. This article is an open access article distributed under the terms and conditions of the Creative Commons Attribution (CC BY) license (https://creativecommons.org/licenses/by/4.0/).
Share and Cite
Lin, W.; Yano, N.; Shimizu, J.; Zhou, L.; Onuki, T.; Ojima, H. Analysis of Nanoscratch Mechanism of C-Plane Sapphire with the Aid of Molecular Dynamics Simulation of Hcp Crystal. Nanomaterials 2021, 11, 1739. https://doi.org/10.3390/nano11071739
Lin W, Yano N, Shimizu J, Zhou L, Onuki T, Ojima H. Analysis of Nanoscratch Mechanism of C-Plane Sapphire with the Aid of Molecular Dynamics Simulation of Hcp Crystal. Nanomaterials. 2021; 11(7):1739. https://doi.org/10.3390/nano11071739
Chicago/Turabian StyleLin, Wangpiao, Naohiko Yano, Jun Shimizu, Libo Zhou, Teppei Onuki, and Hirotaka Ojima. 2021. "Analysis of Nanoscratch Mechanism of C-Plane Sapphire with the Aid of Molecular Dynamics Simulation of Hcp Crystal" Nanomaterials 11, no. 7: 1739. https://doi.org/10.3390/nano11071739
APA StyleLin, W., Yano, N., Shimizu, J., Zhou, L., Onuki, T., & Ojima, H. (2021). Analysis of Nanoscratch Mechanism of C-Plane Sapphire with the Aid of Molecular Dynamics Simulation of Hcp Crystal. Nanomaterials, 11(7), 1739. https://doi.org/10.3390/nano11071739

