Preparation and Surface Functionalization of Carboxylated Cellulose Nanocrystals
Abstract
:1. Introduction
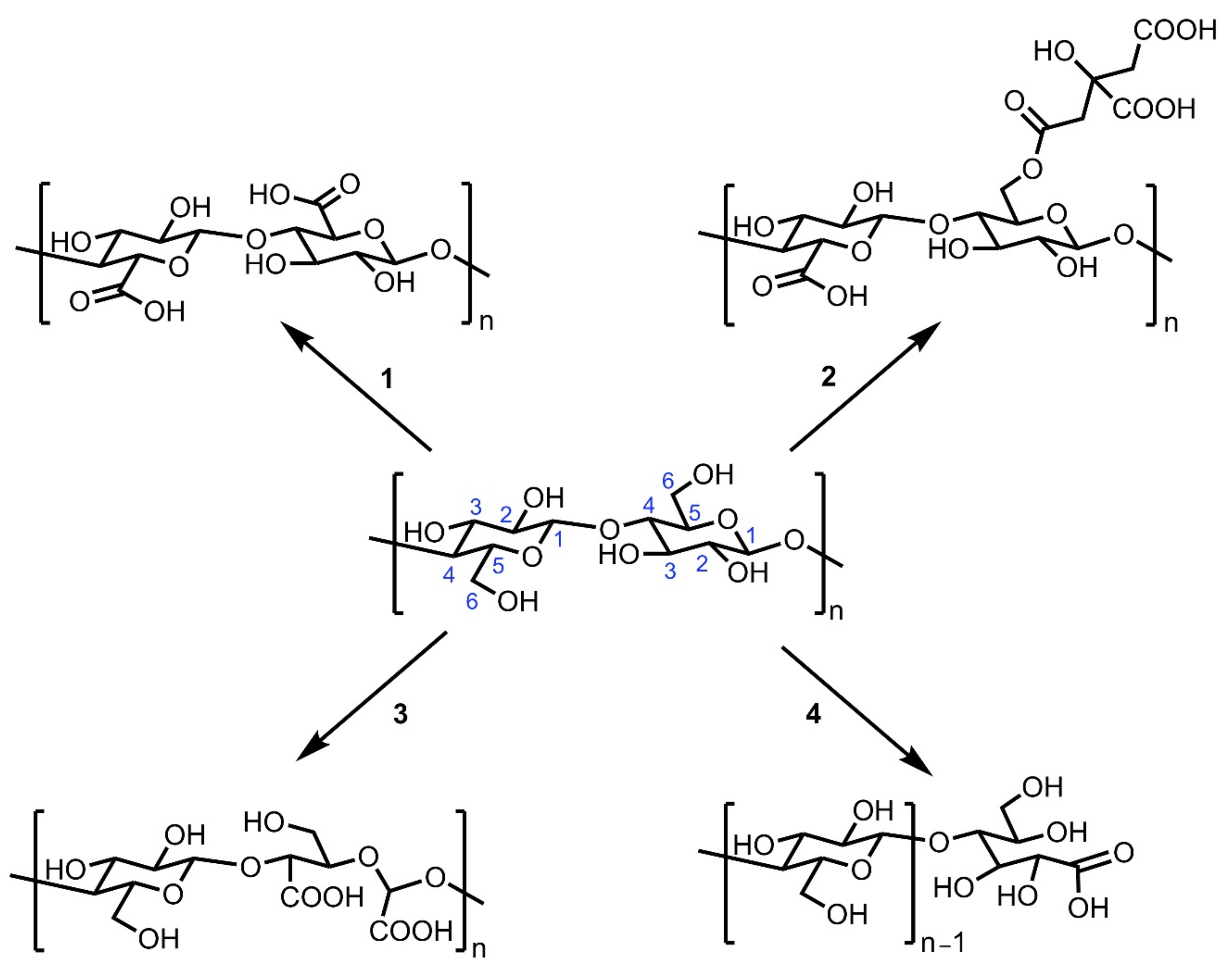
2. Production of cCNCs
- Carboxyl group on the C6 position of the cellulose chain, generally obtained through oxidation of the primary hydroxyl groups at the C6 position.
- Carboxylic acid group tethered to a moiety covalently attached to the hydroxyl group on the C6 position in addition to carboxylic acid group on the C6 position when considering two anhydroglucose units (AGU), typically obtained through the esterification of cellulose hydroxyl groups with carboxylic acids.
- 2,3-Dicarboxylic acids from glucose ring opening.
- Carboxylic acid groups found exclusively at the reducing ends of CNCs, which can be obtained due to the chemistry of the highly reactive aldehyde functional group.

2.1. Class 1: Carboxyl Group on the C6 Position of the Cellulose Chain
2.1.1. TEMPO
2.1.2. Ammonium Persulfate (APS)
2.1.3. Hydrogen Peroxide
2.1.4. Sodium Hypochlorite (NaOCl)/Sodium Chlorite (NaOCl2)
2.1.5. Mixed Acid Solutions with Oxidizers
2.2. Class 2: Carboxylic Acid Group Tethered to a Moiety at C6 Position
2.3. Class 3: 2,3 Dicarboxylic Acids from Glucose Ring Opening
2.4. Class 4: Presence of Carboxylic Acid Groups at the Reducing End of CNCs
2.5. cCNCs from Different Feedstocks
3. Chemical Modifications of cCNCs
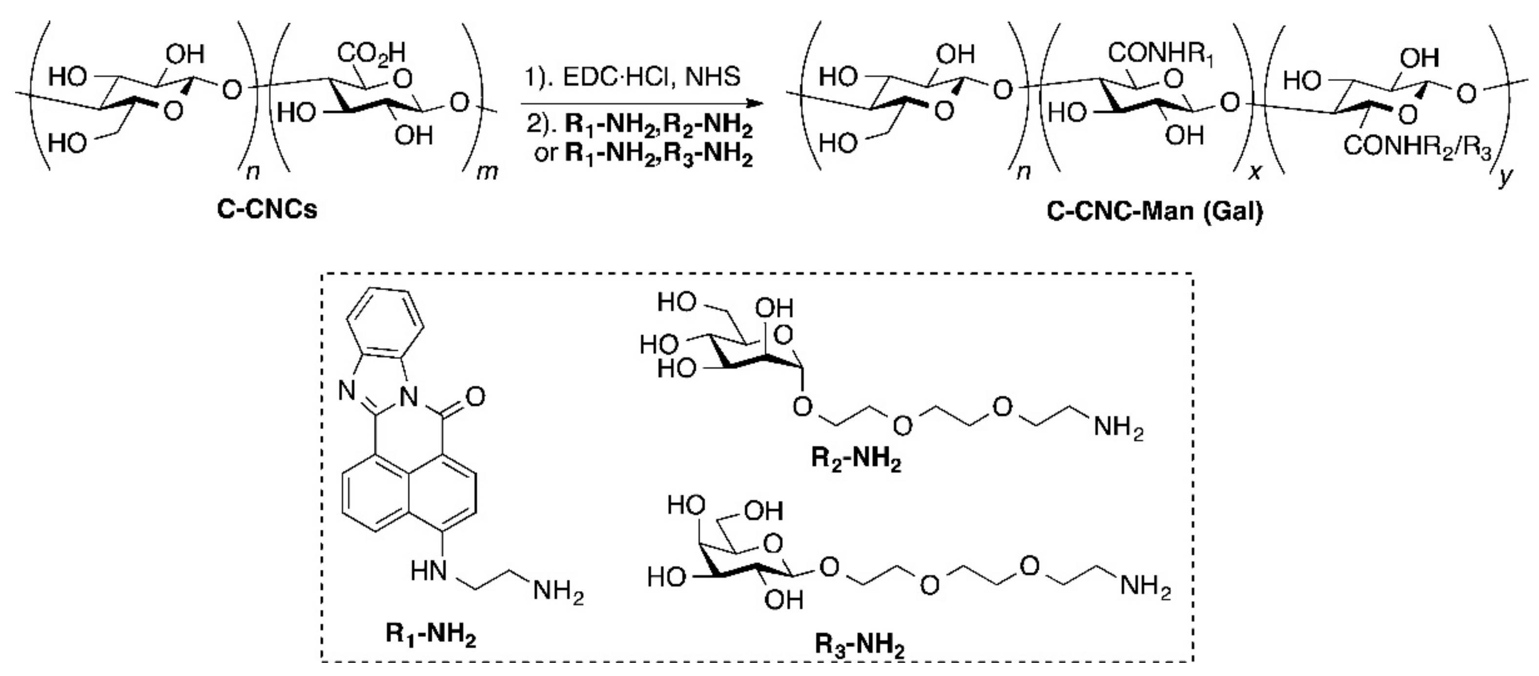
3.1. Amidation
3.2. Esterification
4. Applications of cCNCs
4.1. Nanocomposites
4.2. Biomedical Applications
4.3. Biocatalysis
4.4. Catalysis
4.5. Environmental Remediation
4.6. Rheology Modifiers
5. Conclusions and Future Outlook
Author Contributions
Funding
Acknowledgments
Conflicts of Interest
References
- Nickerson, R.; Habrle, J. Cellulose intercrystalline structure. Ind. Eng. Chem. 1947, 39, 1507–1512. [Google Scholar] [CrossRef]
- Wu, Q.; Meng, Y.; Wang, S.; Li, Y.; Fu, S.; Ma, L.; Harper, D. Rheological behavior of cellulose nanocrystal suspension: Influence of concentration and aspect ratio. J. Appl. Polym. Sci. 2014, 131. [Google Scholar] [CrossRef]
- Viet, D.; Beck-Candanedo, S.; Gray, D.G. Dispersion of cellulose nanocrystals in polar organic solvents. Cellulose 2007, 14, 109–113. [Google Scholar] [CrossRef]
- Revol, J.-F.; Bradford, H.; Giasson, J.; Marchessault, R.; Gray, D. Helicoidal self-ordering of cellulose microfibrils in aqueous suspension. Int. J. Biol. Macromol. 1992, 14, 170–172. [Google Scholar] [CrossRef]
- Roman, M. Toxicity of cellulose nanocrystals: A review. Ind. Biotechnol. 2015, 11, 25–33. [Google Scholar] [CrossRef]
- Favier, V.; Chanzy, H.; Cavaillé, J. Polymer nanocomposites reinforced by cellulose whiskers. Macromolecules 1995, 28, 6365–6367. [Google Scholar] [CrossRef]
- Liew, S.Y.; Thielemans, W.; Walsh, D.A. Electrochemical capacitance of nanocomposite polypyrrole/cellulose films. J. Phys. Chem. C 2010, 114, 17926–17933. [Google Scholar] [CrossRef]
- Jackson, J.K.; Letchford, K.; Wasserman, B.Z.; Ye, L.; Hamad, W.Y.; Burt, H.M. The use of nanocrystalline cellulose for the binding and controlled release of drugs. Int. J. Nanomed. 2011, 6, 321. [Google Scholar]
- Frka-Petesic, B.; Guidetti, G.; Kamita, G.; Vignolini, S. Controlling the photonic properties of cholesteric cellulose nanocrystal films with magnets. Adv. Mater. 2017, 29, 1701469. [Google Scholar] [CrossRef]
- Habibi, Y.; Lucia, L.A.; Rojas, O.J. Cellulose Nanocrystals: Chemistry, Self-Assembly, and Applications. Chem. Rev. 2010, 110, 3479–3500. [Google Scholar] [CrossRef]
- Moon, R.J.; Martini, A.; Nairn, J.; Simonsen, J.; Youngblood, J. Cellulose nanomaterials review: Structure, properties and nanocomposites. Chem. Soc. Rev. 2011, 40. [Google Scholar] [CrossRef] [PubMed]
- Klemm, D.; Kramer, F.; Moritz, S.; Lindström, T.; Ankerfors, M.; Gray, D.; Dorris, A. Nanocelluloses: A New Family of Nature-Based Materials. Angew. Chem. Int. Ed. 2011, 50, 5438–5466. [Google Scholar] [CrossRef] [PubMed]
- Lam, E.; Male, K.B.; Chong, J.H.; Leung, A.C.W.; Luong, J.H.T. Applications of functionalized and nanoparticle-modified nanocrystalline cellulose. Trends Biotechnol. 2012, 30, 283–290. [Google Scholar] [CrossRef]
- Sunasee, R.; Hemraz, U.D.; Ckless, K. Cellulose nanocrystals: A versatile nanoplatform for emerging biomedical applications. Expert Opin. Drug Deliv. 2016, 13, 1243–1256. [Google Scholar] [CrossRef]
- Vanderfleet, O.M.; Cranston, E.D. Production routes to tailor the performance of cellulose nanocrystals. Nat. Rev. Mater. 2020. [Google Scholar] [CrossRef]
- Sunasee, R. Nanocellulose: Preparation, Functionalization and Applications. In Reference Module in Chemistry, Molecular Sciences and Chemical Engineering; Elsevier: Amsterdam, The Netherlands, 2020. [Google Scholar]
- Lu, P.; Hsieh, Y.-L. Preparation and properties of cellulose nanocrystals: Rods, spheres, and network. Carbohydr. Polym. 2010, 82, 329–336. [Google Scholar] [CrossRef]
- Mukherjee, S.; Woods, H. X-ray and electron microscope studies of the degradation of cellulose by sulphuric acid. Biochim. Biophys. Acta 1953, 10, 499–511. [Google Scholar] [CrossRef]
- Filson, P.B.; Dawson-Andoh, B.E.; Schwegler-Berry, D. Enzymatic-mediated production of cellulose nanocrystals from recycled pulp. Green Chem. 2009, 11, 1808–1814. [Google Scholar] [CrossRef]
- Leung, A.C.; Hrapovic, S.; Lam, E.; Liu, Y.; Male, K.B.; Mahmoud, K.A.; Luong, J.H. Characteristics and properties of carboxylated cellulose nanocrystals prepared from a novel one-step procedure. Small 2011, 7, 302–305. [Google Scholar] [CrossRef] [Green Version]
- Andrews, M.P.; Morse, T. Method for producing functionalized nanocrystalline cellulose and functionalized nanocrystalline cellulose thereby produced. Patent EP3174905A1, 27 November 2011. [Google Scholar]
- Montanari, S.; Roumani, M.; Heux, L.; Vignon, M.R. Topochemistry of carboxylated cellulose nanocrystals resulting from TEMPO-mediated oxidation. Macromolecules 2005, 38, 1665–1671. [Google Scholar] [CrossRef]
- Kang, X.; Kuga, S.; Wang, C.; Zhao, Y.; Wu, M.; Huang, Y. Green preparation of cellulose nanocrystal and its application. Acs Sustain. Chem. Eng. 2018, 6, 2954–2960. [Google Scholar] [CrossRef]
- Zhou, Y.; Saito, T.; Bergström, L.; Isogai, A. Acid-free preparation of cellulose nanocrystals by TEMPO oxidation and subsequent cavitation. Biomacromolecules 2018, 19, 633–639. [Google Scholar] [CrossRef] [PubMed]
- Qin, Z.-Y.; Tong, G.; Chin, Y.F.; Zhou, J.-C. Preparation of ultrasonic-assisted high carboxylate content cellulose nanocrystals by TEMPO oxidation. BioResources 2011, 6, 1136–1146. [Google Scholar]
- Vanderfleet, O.M.; Reid, M.S.; Bras, J.; Heux, L.; Godoy-Vargas, J.; Panga, M.K.; Cranston, E.D. Insight into thermal stability of cellulose nanocrystals from new hydrolysis methods with acid blends. Cellulose 2019, 26, 507–528. [Google Scholar] [CrossRef]
- Cherhal, F.; Cousin, F.; Capron, I. Influence of charge density and ionic strength on the aggregation process of cellulose nanocrystals in aqueous suspension, as revealed by small-angle neutron scattering. Langmuir 2015, 31, 5596–5602. [Google Scholar] [CrossRef]
- Yu, H.; Qin, Z.; Liang, B.; Liu, N.; Zhou, Z.; Chen, L. Facile extraction of thermally stable cellulose nanocrystals with a high yield of 93% through hydrochloric acid hydrolysis under hydrothermal conditions. J. Mater. Chem. A 2013, 1, 3938–3944. [Google Scholar] [CrossRef]
- Camarero Espinosa, S.; Kuhnt, T.; Foster, E.J.; Weder, C. Isolation of thermally stable cellulose nanocrystals by phosphoric acid hydrolysis. Biomacromolecules 2013, 14, 1223–1230. [Google Scholar] [CrossRef] [PubMed]
- De Nooy, A.E.J.; Besemer, A.C.; van Bekkum, H. Highly selective tempo mediated oxidation of primary alcohol groups in polysaccharides. Recl. Des. Trav. Chim. Des. Pays-Bas 1994, 113, 165–166. [Google Scholar] [CrossRef]
- Habibi, Y.; Chanzy, H.; Vignon, M.R. TEMPO-mediated surface oxidation of cellulose whiskers. Cellulose 2006, 13, 679–687. [Google Scholar] [CrossRef] [Green Version]
- Noronha, V.T.; Camargos, C.H.M.; Jackson, J.C.; Souza Filho, A.G.; Paula, A.J.; Rezende, C.A.; Faria, A.F. Physical Membrane-Stress-Mediated Antimicrobial Properties of Cellulose Nanocrystals. ACS Sustain. Chem. Eng. 2021, 9, 3203–3212. [Google Scholar] [CrossRef]
- Jackson, J.C.; Camargos, C.H.M.; Noronha, V.T.; Paula, A.J.; Rezende, C.A.; Faria, A.F. Sustainable Cellulose Nanocrystals for Improved Antimicrobial Properties of Thin Film Composite Membranes. ACS Sustain. Chem. Eng. 2021, 9, 6534–6540. [Google Scholar] [CrossRef]
- Salajková, M.; Berglund, L.A.; Zhou, Q. Hydrophobic cellulose nanocrystals modified with quaternary ammonium salts. J. Mater. Chem. 2012, 22, 19798–19805. [Google Scholar] [CrossRef]
- Saito, T.; Nishiyama, Y.; Putaux, J.-L.; Vignon, M.; Isogai, A. Homogeneous Suspensions of Individualized Microfibrils from TEMPO-Catalyzed Oxidation of Native Cellulose. Biomacromolecules 2006, 7, 1687–1691. [Google Scholar] [CrossRef] [PubMed]
- Lam, E.; Leung, A.C.; Liu, Y.; Majid, E.; Hrapovic, S.; Male, K.B.; Luong, J.H. Green strategy guided by Raman spectroscopy for the synthesis of ammonium carboxylated nanocrystalline cellulose and the recovery of byproducts. ACS Sustain. Chem. Eng. 2013, 1, 278–283. [Google Scholar] [CrossRef]
- Liu, Y.; Liu, L.; Wang, K.; Zhang, H.; Yuan, Y.; Wei, H.; Wang, X.; Duan, Y.; Zhou, L.; Zhang, J. Modified ammonium persulfate oxidations for efficient preparation of carboxylated cellulose nanocrystals. Carbohydr. Polym. 2020, 229, 115572. [Google Scholar] [CrossRef]
- Feng, X.D.; Guo, X.Q.; Qiu, K.Y. Study of the initiation mechanism of the vinyl polymerization with the system persulfate/N, N, N′, N′-tetramethylethylenediamine. Die Makromol. Chem. Macromol. Chem. Phys. 1988, 189, 77–83. [Google Scholar] [CrossRef]
- Amoroso, L.; Muratore, G.; Ortenzi, M.A.; Gazzotti, S.; Limbo, S.; Piergiovanni, L. Fast Production of Cellulose Nanocrystals by Hydrolytic-Oxidative Microwave-Assisted Treatment. Polymers 2020, 12, 68. [Google Scholar] [CrossRef] [Green Version]
- Jiang, Q.; Xing, X.; Jing, Y.; Han, Y. Preparation of cellulose nanocrystals based on waste paper via different systems. Int. J. Biol. Macromol. 2020, 149, 1318–1322. [Google Scholar] [CrossRef]
- Zhang, H.; Chen, Y.; Wang, S.; Ma, L.; Yu, Y.; Dai, H.; Zhang, Y. Extraction and comparison of cellulose nanocrystals from lemon (Citrus limon) seeds using sulfuric acid hydrolysis and oxidation methods. Carbohydr. Polym. 2020, 238, 116180. [Google Scholar] [CrossRef]
- Hu, Y.; Tang, L.; Lu, Q.; Wang, S.; Chen, X.; Huang, B. Preparation of cellulose nanocrystals and carboxylated cellulose nanocrystals from borer powder of bamboo. Cellulose 2014, 21, 1611–1618. [Google Scholar] [CrossRef]
- Lu, P.; Hsieh, Y.-L. Cellulose isolation and core–shell nanostructures of cellulose nanocrystals from chardonnay grape skins. Carbohydr. Polym. 2012, 87, 2546–2553. [Google Scholar] [CrossRef]
- He, J.; Bian, K.; Piao, G. Self-assembly properties of carboxylated tunicate cellulose nanocrystals prepared by ammonium persulfate oxidation and subsequent ultrasonication. Carbohydr. Polym. 2020, 249, 116835. [Google Scholar] [CrossRef] [PubMed]
- Li, N.; Bian, H.; Zhu, J.Y.; Ciesielski, P.N.; Pan, X. Tailorable cellulose II nanocrystals (CNC II) prepared in mildly acidic lithium bromide trihydrate (MALBTH). Green Chem. 2021, 23, 2778–2791. [Google Scholar] [CrossRef]
- Khanjanzadeh, H.; Park, B.-D. Optimum oxidation for direct and efficient extraction of carboxylated cellulose nanocrystals from recycled MDF fibers by ammonium persulfate. Carbohydr. Polym. 2021, 251. [Google Scholar] [CrossRef] [PubMed]
- Culsum, N.T.U.; Melinda, C.; Leman, I.; Wibowo, A.; Budhi, Y.W. Isolation and characterization of cellulose nanocrystals (CNCs) from industrial denim waste using ammonium persulfate. Mater. Today Commun. 2021, 26. [Google Scholar] [CrossRef]
- Marwanto, M.; Maulana, M.I.; Febrianto, F.; Wistara, N.J.; Nikmatin, S.; Masruchin, N.; Zaini, L.H.; Lee, S.-H.; Kim, N.-H. Effect of Oxidation Time on the Properties of Cellulose Nanocrystals Prepared from Balsa and Kapok Fibers Using Ammonium Persulfate. Polymers 2021, 13, 1894. [Google Scholar] [CrossRef]
- Mcalpine, S.; Nakoneshny, J. Production of crystalline cellulose. Patent WO2017127938A1, 8 March 2017. [Google Scholar]
- Available online: https://umaine.edu/pdc/nanocellulose/2021/ (accessed on 24 May 2021).
- Zhou, L.; Li, N.; Shu, J.; Liu, Y.; Wang, K.; Cui, X.; Yuan, Y.; Ding, B.; Geng, Y.; Wang, Z.; et al. One-Pot Preparation of Carboxylated Cellulose Nanocrystals and Their Liquid Crystalline Behaviors. ACS Sustain. Chem. Eng. 2018, 6, 12403–12410. [Google Scholar] [CrossRef]
- Cheng, M.; Qin, Z.; Hu, J.; Liu, Q.; Wei, T.; Li, W.; Ling, Y.; Liu, B. Facile and rapid one–step extraction of carboxylated cellulose nanocrystals by H2SO4/HNO3 mixed acid hydrolysis. Carbohydr. Polym. 2020, 231, 115701. [Google Scholar] [CrossRef]
- Chen, L.; Zhu, J.; Baez, C.; Kitin, P.; Elder, T. Highly thermal-stable and functional cellulose nanocrystals and nanofibrils produced using fully recyclable organic acids. Green Chem. 2016, 18, 3835–3843. [Google Scholar] [CrossRef]
- Li, B.; Xu, W.; Kronlund, D.; Määttänen, A.; Liu, J.; Smått, J.-H.; Peltonen, J.; Willför, S.; Mu, X.; Xu, C. Cellulose nanocrystals prepared via formic acid hydrolysis followed by TEMPO-mediated oxidation. Carbohydr. Polym. 2015, 133, 605–612. [Google Scholar] [CrossRef]
- Ji, H.; Xiang, Z.; Qi, H.; Han, T.; Pranovich, A.; Song, T. Strategy towards one-step preparation of carboxylic cellulose nanocrystals and nanofibrils with high yield, carboxylation and highly stable dispersibility using innocuous citric acid. Green Chem. 2019, 21, 1956–1964. [Google Scholar] [CrossRef]
- Yu, H.; Abdalkarim, S.Y.H.; Zhang, H.; Wang, C.; Tam, K.C. Simple Process to Produce High-Yield Cellulose Nanocrystals Using Recyclable Citric/Hydrochloric Acids. ACS Sustain. Chem. Eng. 2019, 7, 4912–4923. [Google Scholar] [CrossRef]
- Lu, J.; Jin, R.-N.; Liu, C.; Wang, Y.-F.; Ouyang, X.-k. Magnetic carboxylated cellulose nanocrystals as adsorbent for the removal of Pb(II) from aqueous solution. Int. J. Biol. Macromol. 2016, 93, 547–556. [Google Scholar] [CrossRef]
- Kassab, Z.; Syafri, E.; Tamraoui, Y.; Hannache, H.; Qaiss, A.E.K.; El Achaby, M. Characteristics of sulfated and carboxylated cellulose nanocrystals extracted from Juncus plant stems. Int. J. Biol. Macromol. 2020, 154, 1419–1425. [Google Scholar] [CrossRef]
- Kassab, Z.; Kassem, I.; Hannache, H.; Bouhfid, R.; El Achaby, M. Tomato plant residue as new renewable source for cellulose production: Extraction of cellulose nanocrystals with different surface functionalities. Cellulose 2020, 27, 1–17. [Google Scholar] [CrossRef]
- Liu, W.; Du, H.; Liu, H.; Xie, H.; Xu, T.; Zhao, X.; Liu, Y.; Zhang, X.; Si, C. Highly Efficient and Sustainable Preparation of Carboxylic and Thermostable Cellulose Nanocrystals via FeCl3-Catalyzed Innocuous Citric Acid Hydrolysis. Acs Sustain. Chem. Eng. 2020, 8, 16691–16700. [Google Scholar] [CrossRef]
- Yang, H.; Alam, M.N.; van de Ven, T.G.M. Highly charged nanocrystalline cellulose and dicarboxylated cellulose from periodate and chlorite oxidized cellulose fibers. Cellulose 2013, 20, 1865–1875. [Google Scholar] [CrossRef]
- Huang, B.; He, H.; Liu, H.; Zhang, Y.; Peng, X.; Wang, B. Multi-type cellulose nanocrystals from sugarcane bagasse and their nanohybrids constructed with polyhedral oligomeric silsesquioxane. Carbohydr. Polym. 2020, 227, 115368. [Google Scholar] [CrossRef]
- Hieta, K.; Kuga, S.; Usuda, M. Electron staining of reducing ends evidences a parallel-chain structure in Valonia cellulose. Biopolymers 1984, 23, 1807–1810. [Google Scholar] [CrossRef]
- Arcot, L.R.; Lundahl, M.; Rojas, O.J.; Laine, J. Asymmetric cellulose nanocrystals: Thiolation of reducing end groups via NHS–EDC coupling. Cellulose 2014, 21, 4209–4218. [Google Scholar] [CrossRef]
- Wu, J.; Andrews, M.P. Carboxylated Cellulose Nanocrystal Microbeads for Removal of Organic Dyes from Wastewater: Effects of Kinetics and Diffusion on Binding and Release. ACS Appl. Nano Mater. 2020, 3, 11217–11228. [Google Scholar] [CrossRef]
- Koshani, R.; van de Ven, T.G. Carboxylated Cellulose Nanocrystals Developed by Cu-Assisted H2O2 Oxidation as Green Nanocarriers for Efficient Lysozyme Immobilization. J. Agric. Food Chem. 2020, 68, 5938–5950. [Google Scholar] [CrossRef] [PubMed]
- Reiner, R.S.; Rudie, A.W. Process Scale-Up of Cellulose Nanocrystal Production to 25 kg per Batch at the Forest Products Laboratory. In Production and Applications of Cellulose Nanomaterial; Postek, M.T., Moon, R.J., Rudie, A.W., Bilodeau, M.A., Eds.; TAPPI: Atlanta, GA, USA, 2013; pp. 21–24. [Google Scholar]
- Bulpitt, P.; Aeschlimann, D. New strategy for chemical modification of hyaluronic acid: Preparation of functionalized derivatives and their use in the formation of novel biocompatible hydrogels. J. Biomed. Mater. Res. 1999, 47, 152–169. [Google Scholar] [CrossRef]
- Follain, N.; Marais, M.-F.; Montanari, S.; Vignon, M.R. Coupling onto surface carboxylated cellulose nanocrystals. Polymer 2010, 51, 5332–5344. [Google Scholar] [CrossRef]
- Filpponen, I.; Argyropoulos, D.S. Regular Linking of Cellulose Nanocrystals via Click Chemistry: Synthesis and Formation of Cellulose Nanoplatelet Gels. Biomacromolecules 2010, 11, 1060–1066. [Google Scholar] [CrossRef] [PubMed]
- Filpponen, I.; Sadeghifar, H.; Argyropoulos, D.S. Photoresponsive Cellulose Nanocrystals. Nanomater. Nanotechnol. 2011, 1. [Google Scholar] [CrossRef]
- Hemraz, U.D.; Boluk, Y.; Sunasee, R. Amine-decorated nanocrystalline cellulose surfaces: Synthesis, characterization, and surface properties. Can. J. Chem. 2013, 91, 974–981. [Google Scholar] [CrossRef]
- Wang, Y.; Lu, Q. Dendrimer functionalized nanocrystalline cellulose for Cu(II) removal. Cellulose 2019, 27, 2173–2187. [Google Scholar] [CrossRef]
- Le Gars, M.; Delvart, A.; Roger, P.; Belgacem, M.N.; Bras, J. Amidation of TEMPO-oxidized cellulose nanocrystals using aromatic aminated molecules. Colloid Polym. Sci. 2020, 298, 603–617. [Google Scholar] [CrossRef]
- Azzam, F.; Heux, L.; Putaux, J.-L.; Jean, B. Preparation by Grafting Onto, Characterization, and Properties of Thermally Responsive Polymer-Decorated Cellulose Nanocrystals. Biomacromolecules 2010, 11, 3652–3659. [Google Scholar] [CrossRef] [PubMed]
- Gicquel, E.; Martin, C.; Heux, L.; Jean, B.; Bras, J. Adsorption versus grafting of poly(N-Isopropylacrylamide) in aqueous conditions on the surface of cellulose nanocrystals. Carbohydr. Polym. 2019, 210, 100–109. [Google Scholar] [CrossRef]
- Wu, W.; Song, R.; Xu, Z.; Jing, Y.; Dai, H.; Fang, G. Fluorescent cellulose nanocrystals with responsiveness to solvent polarity and ionic strength. Sens. Actuators B Chem. 2018, 275, 490–498. [Google Scholar] [CrossRef]
- Guo, J.; Liu, D.; Filpponen, I.; Johansson, L.-S.; Malho, J.-M.; Quraishi, S.; Liebner, F.; Santos, H.A.; Rojas, O.J. Photoluminescent Hybrids of Cellulose Nanocrystals and Carbon Quantum Dots as Cytocompatible Probes for in Vitro Bioimaging. Biomacromolecules 2017, 18, 2045–2055. [Google Scholar] [CrossRef]
- Zhou, J.; Butchosa, N.; Jayawardena, H.S.; Park, J.; Zhou, Q.; Yan, M.; Ramstrom, O. Synthesis of multifunctional cellulose nanocrystals for lectin recognition and bacterial imaging. Biomacromolecules 2015, 16, 1426–1432. [Google Scholar] [CrossRef]
- Zhao, L.; Li, W.; Plog, A.; Xu, Y.; Buntkowsky, G.; Gutmann, T.; Zhang, K. Multi-responsive cellulose nanocrystal–rhodamine conjugates: An advanced structure study by solid-state dynamic nuclear polarization (DNP) NMR. Phys. Chem. Chem. Phys. 2014, 16, 26322–26329. [Google Scholar] [CrossRef]
- Abouhmad, A.; Dishisha, T.; Amin, M.A.; Hatti-Kaul, R. Immobilization to Positively Charged Cellulose Nanocrystals Enhances the Antibacterial Activity and Stability of Hen Egg White and T4 Lysozyme. Biomacromolecules 2017, 18, 1600–1608. [Google Scholar] [CrossRef]
- De Castro, D.O.; Tabary, N.; Martel, B.; Gandini, A.; Belgacem, N.; Bras, J. Controlled release of carvacrol and curcumin: Bio-based food packaging by synergism action of TEMPO-oxidized cellulose nanocrystals and cyclodextrin. Cellulose 2018, 25, 1249–1263. [Google Scholar] [CrossRef]
- Favier, V.; Canova, G.R.; Cavaillé, J.Y.; Chanzy, H.; Dufresne, A.; Gauthier, C. Nanocomposite materials from latex and cellulose whiskers. Polym. Adv. Technol. 1995, 6, 351–355. [Google Scholar] [CrossRef]
- Cordes, D.B.; Lickiss, P.D.; Rataboul, F. Recent Developments in the Chemistry of Cubic Polyhedral Oligosilsesquioxanes. Chem. Rev. 2010, 110, 2081–2173. [Google Scholar] [CrossRef]
- Risteen, B.; Delepierre, G.; Srinivasarao, M.; Weder, C.; Russo, P.; Reichmanis, E.; Zoppe, J. Thermally Switchable Liquid Crystals Based on Cellulose Nanocrystals with Patchy Polymer Grafts. Small 2018, 14. [Google Scholar] [CrossRef]
- Lin, F.; Cousin, F.; Putaux, J.-L.; Jean, B. Temperature-Controlled Star-Shaped Cellulose Nanocrystal Assemblies Resulting from Asymmetric Polymer Grafting. ACS Macro Lett. 2019, 8, 345–351. [Google Scholar] [CrossRef]
- Musino, D.; Rivard, C.; Landrot, G.; Novales, B.; Rabilloud, T.; Capron, I. Hydroxyl groups on cellulose nanocrystal surfaces form nucleation points for silver nanoparticles of varying shapes and sizes. J. Colloid Interface Sci. 2021, 584, 360–371. [Google Scholar] [CrossRef] [PubMed]
- Sharma, V.K.; Yngard, R.A.; Lin, Y. Silver nanoparticles: Green synthesis and their antimicrobial activities. Adv. Colloid Interface Sci. 2009, 145, 83–96. [Google Scholar] [CrossRef] [PubMed]
- Matsuhisa, N.; Chen, X.; Bao, Z.; Someya, T. Materials and structural designs of stretchable conductors. Chem. Soc. Rev. 2019, 48, 2946–2966. [Google Scholar] [CrossRef] [PubMed]
- Jing, X.; Li, H.; Mi, H.-Y.; Liu, Y.-J.; Feng, P.-Y.; Tan, Y.-M.; Turng, L.-S. Highly transparent, stretchable, and rapid self-healing polyvinyl alcohol/cellulose nanofibril hydrogel sensors for sensitive pressure sensing and human motion detection. Sens. Actuators B Chem. 2019, 295, 159–167. [Google Scholar] [CrossRef]
- Chen, Y.; Zhu, J.; Yu, H.-Y.; Li, Y. Fabricating robust soft-hard network of self-healable polyvinyl alcohol composite films with functionalized cellulose nanocrystals. Compos. Sci. Technol. 2020, 194, 108165. [Google Scholar] [CrossRef]
- Zhang, Y.; Shang, Z.; Shen, M.; Chowdhury, S.P.; Ignaszak, A.; Sun, S.; Ni, Y. Cellulose nanofibers/reduced graphene oxide/polypyrrole aerogel electrodes for high-capacitance flexible all-solid-state supercapacitors. ACS Sustain. Chem. Eng. 2019, 7, 11175–11185. [Google Scholar] [CrossRef]
- Cao, L.; Liu, W.; Wang, L. Developing a green and edible film from Cassia gum: The effects of glycerol and sorbitol. J. Clean. Prod. 2018, 175, 276–282. [Google Scholar] [CrossRef]
- Cao, L.; Ge, T.; Meng, F.; Xu, S.; Li, J.; Wang, L. An edible oil packaging film with improved barrier properties and heat sealability from cassia gum incorporating carboxylated cellulose nano crystal whisker. Food Hydrocoll. 2020, 98, 105251. [Google Scholar] [CrossRef]
- Chu, Y.; Song, R.; Zhang, L.; Dai, H.; Wu, W. Water-dispersible, biocompatible and fluorescent poly (ethylene glycol)-grafted cellulose nanocrystals. Int. J. Biol. Macromol. 2020, 153, 46–54. [Google Scholar] [CrossRef]
- Guvendiren, M.; Molde, J.; Soares, R.M.; Kohn, J. Designing biomaterials for 3D printing. ACS Biomater. Sci. Eng. 2016, 2, 1679–1693. [Google Scholar] [CrossRef] [PubMed]
- Parak, A.; Pradeep, P.; du Toit, L.C.; Kumar, P.; Choonara, Y.E.; Pillay, V. Functionalizing bioinks for 3D bioprinting applications. Drug Discov. Today 2019, 24, 198–205. [Google Scholar] [CrossRef] [PubMed]
- Kumar, A.; Matari, I.A.I.; Han, S.S. 3D printable carboxylated cellulose nanocrystal-reinforced hydrogel inks for tissue engineering. Biofabrication 2020, 12, 025029. [Google Scholar] [CrossRef] [PubMed]
- Pickering, S.U. CXCVI.—Emulsions. J. Chem. Soc. Trans. 1907, 91, 2001–2021. [Google Scholar] [CrossRef] [Green Version]
- Yang, Y.; Fang, Z.; Chen, X.; Zhang, W.; Xie, Y.; Chen, Y.; Liu, Z.; Yuan, W. An overview of Pickering emulsions: Solid-particle materials, classification, morphology, and applications. Front. Pharmacol. 2017, 8, 287. [Google Scholar] [CrossRef] [Green Version]
- Saidane, D.; Perrin, E.; Cherhal, F.; Guellec, F.; Capron, I. Some modification of cellulose nanocrystals for functional Pickering emulsions. Philos. Trans. R. Soc. A Math. Phys. Eng. Sci. 2016, 374. [Google Scholar] [CrossRef]
- Mikulcová, V.; Bordes, R.; Minařík, A.; Kašpárková, V. Pickering oil-in-water emulsions stabilized by carboxylated cellulose nanocrystals—Effect of the pH. Food Hydrocoll. 2018, 80, 60–67. [Google Scholar] [CrossRef]
- Koshani, R.; van de Ven, T.G.M.; Madadlou, A. Characterization of Carboxylated Cellulose Nanocrytals Isolated through Catalyst-Assisted H2O2 Oxidation in a One-Step Procedure. J. Agric. Food Chem. 2018, 66, 7692–7700. [Google Scholar] [CrossRef]
- Kaushik, M.; Moores, A. Nanocelluloses as versatile supports for metal nanoparticles and their applications in catalysis. Green Chem. 2016, 18, 622–637. [Google Scholar] [CrossRef] [Green Version]
- Lam, E.; Hrapovic, S.; Majid, E.; Chong, J.H.; Luong, J.H. Catalysis using gold nanoparticles decorated on nanocrystalline cellulose. Nanoscale 2012, 4, 997–1002. [Google Scholar] [CrossRef]
- Chen, L.; Cao, W.; Quinlan, P.J.; Berry, R.M.; Tam, K.C. Sustainable catalysts from gold-loaded polyamidoamine dendrimer-cellulose nanocrystals. ACS Sustain. Chem. Eng. 2015, 3, 978–985. [Google Scholar] [CrossRef]
- Wang, Y.; He, X.; Lu, Q. Polyamidoamine dendrimer functionalized cellulose nanocrystals for CO2 capture. Cellulose 2021, 28, 4241–4251. [Google Scholar] [CrossRef]
- Liu, J.; Plog, A.; Groszewicz, P.; Zhao, L.; Xu, Y.; Breitzke, H.; Stark, A.; Hoffmann, R.; Gutmann, T.; Zhang, K. Design of a Heterogeneous Catalyst Based on Cellulose Nanocrystals for Cyclopropanation: Synthesis and Solid-State NMR Characterization. Chem. A Eur. J. 2015, 21, 12414–12420. [Google Scholar] [CrossRef]
- Hu, L.; Xie, Q.; Tang, J.; Pan, C.; Yu, G.; Tam, K.C. Co (III)-Salen immobilized cellulose nanocrystals for efficient catalytic CO2 fixation into cyclic carbonates under mild conditions. Carbohydr. Polym. 2021, 256, 117558. [Google Scholar] [CrossRef]
- Ellebracht, N.C.; Jones, C.W. Amine functionalization of cellulose nanocrystals for acid–base organocatalysis: Surface chemistry, cross-linking, and solvent effects. Cellulose 2018, 25, 6495–6512. [Google Scholar] [CrossRef]
- Ellebracht, N.C.; Jones, C.W. Optimized cellulose nanocrystal organocatalysts outperform silica-supported analogues: Cooperativity, selectivity, and bifunctionality in acid–base aldol condensation reactions. ACS Catal. 2019, 9, 3266–3277. [Google Scholar] [CrossRef]
- Pinto, A.H.; Taylor, J.K.; Chandradat, R.; Lam, E.; Liu, Y.; Leung, A.C.; Keating, M.; Sunasee, R. Wood-based cellulose nanocrystals as adsorbent of cationic toxic dye, Auramine O, for water treatment. J. Environ. Chem. Eng. 2020, 8, 104187. [Google Scholar] [CrossRef]
- Samadder, R.; Akter, N.; Roy, A.C.; Uddin, M.M.; Hossen, M.J.; Azam, M.S. Magnetic nanocomposite based on polyacrylic acid and carboxylated cellulose nanocrystal for the removal of cationic dye. RSC Adv. 2020, 10, 11945–11956. [Google Scholar] [CrossRef] [Green Version]
- He, X.; Male, K.B.; Nesterenko, P.N.; Brabazon, D.; Paull, B.; Luong, J.H.T. Adsorption and Desorption of Methylene Blue on Porous Carbon Monoliths and Nanocrystalline Cellulose. ACS Appl. Mater. Interfaces 2013, 5, 8796–8804. [Google Scholar] [CrossRef] [Green Version]
- Batmaz, R.; Mohammed, N.; Zaman, M.; Minhas, G.; Berry, R.M.; Tam, K.C. Cellulose nanocrystals as promising adsorbents for the removal of cationic dyes. Cellulose 2014, 21, 1655–1665. [Google Scholar] [CrossRef]
- Hang, Y.; Liu, G.; Huang, K.; Jin, W. Mechanical properties and interfacial adhesion of composite membranes probed by in-situ nano-indentation/scratch technique. J. Membr. Sci. 2015, 494, 205–215. [Google Scholar] [CrossRef]
- Wang, J.-J.; Yang, H.-C.; Wu, M.-B.; Zhang, X.; Xu, Z.-K. Nanofiltration membranes with cellulose nanocrystals as an interlayer for unprecedented performance. J. Mater. Chem. A 2017, 5, 16289–16295. [Google Scholar] [CrossRef]
- Liu, Y.; Bai, L.; Zhu, X.; Xu, D.; Li, G.; Liang, H.; Wiesner, M.R. The role of carboxylated cellulose nanocrystals placement in the performance of thin-film composite (TFC) membrane. J. Membr. Sci. 2021, 617, 118581. [Google Scholar] [CrossRef]
- Yu, X.; Tong, S.; Ge, M.; Wu, L.; Zuo, J.; Cao, C.; Song, W. Adsorption of heavy metal ions from aqueous solution by carboxylated cellulose nanocrystals. J. Environ. Sci. 2013, 25, 933–943. [Google Scholar] [CrossRef]
- Yu, H.-Y.; Zhang, D.-Z.; Lu, F.-F.; Yao, J. New Approach for Single-Step Extraction of Carboxylated Cellulose Nanocrystals for Their Use as Adsorbents and Flocculants. ACS Sustain. Chem. Eng. 2016, 4, 2632–2643. [Google Scholar] [CrossRef]
- Guan, Y.; Yu, H.-Y.; Abdalkarim, S.Y.H.; Wang, C.; Tang, F.; Marek, J.; Chen, W.-L.; Militky, J.; Yao, J.-M. Green one-step synthesis of ZnO/cellulose nanocrystal hybrids with modulated morphologies and superfast absorption of cationic dyes. Int. J. Biol. Macromol. 2019, 132, 51–62. [Google Scholar] [CrossRef] [PubMed]
- Awang, N.; Ramasamy, D.; Kadirgama, K.; Najafi, G.; Sidik, N.A.C. Study on friction and wear of Cellulose Nanocrystal (CNC) nanoparticle as lubricating additive in engine oil. Int. J. Heat Mass Transf. 2019, 131, 1196–1204. [Google Scholar] [CrossRef]
- Samylingam, L.; Anamalai, K.; Kadirgama, K.; Samykano, M.; Ramasamy, D.; Noor, M.; Najafi, G.; Rahman, M.; Xian, H.W.; Sidik, N.A.C. Thermal analysis of cellulose nanocrystal-ethylene glycol nanofluid coolant. Int. J. Heat Mass Transf. 2018, 127, 173–181. [Google Scholar] [CrossRef]
- Li, M.-C.; Ren, S.; Zhang, X.; Dong, L.; Lei, T.; Lee, S.; Wu, Q. Surface-chemistry-tuned cellulose nanocrystals in a bentonite suspension for water-based drilling fluids. ACS Appl. Nano Mater. 2018, 1, 7039–7051. [Google Scholar] [CrossRef]
- Wu, Q.; Li, M. Modified Cellulose Nanocrystals and Their Use in Drilling Fluids. U.S. Patent US20190127625A1, 2 May 2019. [Google Scholar]
- Li, M.-C.; Wu, Q.; Lei, T.; Mei, C.; Xu, X.; Lee, S.; Gwon, J. Thermothickening Drilling Fluids Containing Bentonite and Dual-Functionalized Cellulose Nanocrystals. Energy Fuels 2020, 34, 8206–8215. [Google Scholar] [CrossRef]
- Sahoo, K.; Bergman, R.; Alanya-Rosenbaum, S.; Gu, H.; Liang, S. Life cycle assessment of forest-based products: A review. Sustainability 2019, 11, 4722. [Google Scholar] [CrossRef] [Green Version]













| Feedstock | Method | Length (nm) | Width (nm) | CrI (%) | Yield (%) | Carboxyl Content (mmol/g) | Ref. |
|---|---|---|---|---|---|---|---|
| Cotton linters | HCl, TEMPO | n.r. | 4–5 | 75 | 81 | 0.15 (DO) | [22] |
| Sugar beet pulp | HCl, TEMPO | n.r. | 3–4 | 52 | 63 | 0.23 (DO) | [22] |
| Softwood-bleached kraft pulp | TEMPO, cavitation | 155–244 | 3.6 | 81 | 94 | 1.57 | [24] |
| MCC | TEMPO, cavitation | 163–192 | 4.3 | 88 | 70 | 1.12 | [24] |
| Flax fibers | APS | 144 ± 5 | 3.8 ± 0.1 | 75 | 28 | 0.18 (DO) | [20] |
| Flax shives | APS | 296 ± 16 | 5.1 ± 0.1 | 64 | 22 | 0.19 (DO) | [20] |
| Hemp fibers | APS | 148 ± 3 | 5.8 ± 0.1 | 73 | 36 | 0.17 (DO) | [20] |
| Triticale straw extract | APS | 134 ± 5 | 4.2 ± 0.1 | 73 | 31 | 0.11 (DO) | [20] |
| MCC | APS | 128 ± 4 | 5.5 ± 0.1 | 83 | 65 | 0.19 (DO) | [20] |
| Whatman CF1 | APS | 121 ± 3 | 6.7 ± 0.3 | 91 | 81 | 0.12 (DO) | [20] |
| Wood pulp | APS | 124 ± 6 | 6.0 ± 0.2 | 81 | 36 | 0.19 (DO) | [20] |
| Bacterial cellulose | APS | 88 ± 5 | 6.5 ± 0.2 | 70 | 14 | 0.14 (DO) | [20] |
| Black spruce dissolving pulp | H2O2 | 170 | 10 | n.r. | n.r. | 0.15 | [21,65] |
| Dissolving pulp | NaOCl, transition metal catalyzed | 100–150 | 9–14 | 80 | n.r. | 0.15 | [49] |
| Lemon seed | APS | 140–160 | 10–20 | 74 | 13 | n.r. | [41] |
| Lemon seed | TEMPO | 340–380 | 26–42 | 66 | 52 | n.r. | [41] |
| Juncus plant | Citric acid/HCl | 352 ± 79 | 6.1 ± 2.8 | 83 | n.r. | n.r. | [58] |
| Tomato plant residues | Citric acid/HCl | 514 ± 131 | 4.7 ± 1.4 | 78 | n.r. | n.r. | [59] |
| Bamboo borer powder | APS | 20–50 (spheres) | - | 63 | n.r. | n.r. | [42] |
| Recycled paper | APS | 130 ± 15 | 4.7 ± 2.5 | 72 | 22 | 0.57 | [40] |
| Tunicate | APS | 383 ± 164 | 10.9 ± 2.3 | 86 | n.r. | 0.07 (DO) | [44] |
| Cotton powder | APS, microwave | 80–400 | 7 | n.r. | 46 | n.r. | [39] |
| Softwood pulp | TEMPO | 103 ± 29 | 21 ± 7 | n.r. | 12 | 0.7 | [66] |
| Softwood pulp | Cu2SO4/H2O2 | 247 ± 58 | 6 ± 2 | n.r. | 51 | 0.9 | [66] |
| Cotton pulp | APS/TMEDA | 80–350 | 3–12 | 91 | 63 | 1.38 | [37] |
| Cotton pulp | H2SO4, KMnO4/oxalic acid | 150–300 | 10–22 | 89 | 68 | 1.58 | [51] |
| MCC | H2SO4, HNO3 | 186 ± 13 | 9 ± 3 | 91 | 24 | 0.11 | [52] |
| Sugarcane bagasse | Citric acid, ultrasonication | 251 ± 52 | 21 ± 6 | 77 | 32 | 0.60 | [55] |
| MCC | Citric acid, HCl | 231.8 ± 23.2 | 15.8 ± 3.0 | 83 | 88 | 1.40 | [56] |
| Bleached eucalyptus kraft pulp | Citric acid, FeCl3 | 100–250 | 6–12 | 80 | 80 | 0.90 | [60] |
| Bleached eucalyptus kraft pulp | Oxalic acid | 278 | 19 | 81 | 25 | 0.19 | [53] |
| Softwood pulp | Sodium periodate, sodium chlorite | 120–200 | 13 | 91 | n.r. | 6.6 | [61] |
| Bleached kraft pulp | H2SO4, sodium chlorite, 4% hypochlorite | 150–200 | 5–20 | n.r | 50 | n.r | [67] |
| Elephant grass | TEMPO, ultrasonication | 174 ± 73 | 5.2 ± 1.4 | n.r | n.r | n.r. | [32,33] |
| Bleached kraft pulp | LiBr/H2SO4, APS | 57 ± 24 | 9.3 ± 3.1 | 96 | 52 | 0.44 | [45] |
| Recycled medium-density fiberboard | APS | 170–365 | 13–17 | 63 | 55 | 0.10 (DO) | [46] |
| Denim waste | NaOH, APS | 81.5 ± 20.5 | 18.4 ± 2.5 | 27 | 79 | n.r. | [47] |
| Balsa fibers | APS | 95.5 | 6.5 | n.r. | 57.7 | n.r. | [48] |
| Kapok fibers | APS | 112.1 | 5.8 | n.r. | 60.7 | n.r. | [48] |
![]() | Reaction Conditions | Dispersion | DO of Ccnc a | Application | Reference |
|---|---|---|---|---|---|
![]() | EDC, NHS, pH 7.5–8 24 h, 50 °C | CHCl3, THF, toluene | 0.21 | Nanocomposites | [69] |
![]() | EDC, NHS, MES pH 4, 24 h, RT | Ionic liquid | 0.2–0.28 | Click chemistry Nanoplatelet gels | [70] |
![]() | EDC, NHS, MES pH 4, 24 h, RT | Ionic liquid | 0.2–0.28 | Click chemistry Nanoplatelet gels | [70,71] |
![]() | EDC, NHS, MES pH 5, 24 h, RT | Aqueous | 0.25 | Conjugation | [72] |
![]() | EDC, NHS, pH 8–8.5 72 h, RT | Acetone CH2Cl2 | 0.22 | Nanocomposites | [74] |
![]() | EDC, NHS, pH 7.5–8 24 h, RT | DMF/aqueous | 0.2 | Thermo-responsive materials | [75] |
![]() | EDC, NHS, pH 7.5–8 48 h, RT | Aqueous | 0.25 | Thermo-responsive materials | [76] |
![]() | EDC, NHS, pH 7.2, PBS, DMF16 h, RT | DMF/aqueous | 1.52 b | Nanosensors | [77] |
| Quantum Dots-NH2 | EDC, NHS, pH 5, overnight, RT | Aqueous | 0.24 | Bioimaging | [78] |
| Amino-functionalized sugars | EDC, NHS, MES pH 7.5–8.5 16 h, RT | Aqueous | 1.56 b | Biorecognition | [79] |
| Fluorescent quinoline dye | EDC, NHS, MES pH 7.5–8.5 16 h, RT | Aqueous | 1.56 b | Bioimaging | [79] |
| Aminoethyl rhodamine dye | CDI, DMF, 20 h, 60 °C | DMF/aqueous | 1.102 b | Molecular switching, imaging | [80] |
| Lysozyme-NH2 | EDC, NHS, MES pH 5.7, 3 h, RT | Aqueous | - | Antibacterial | [81] |
| Lysozyme-NH2 | DMTMM, 1 h, 37 °C | Aqueous | 0.7–0.9 b | Emulsifier | [66] |
Publisher’s Note: MDPI stays neutral with regard to jurisdictional claims in published maps and institutional affiliations. |
© 2021 by the authors. Licensee MDPI, Basel, Switzerland. This article is an open access article distributed under the terms and conditions of the Creative Commons Attribution (CC BY) license (https://creativecommons.org/licenses/by/4.0/).
Share and Cite
Lam, E.; Hemraz, U.D. Preparation and Surface Functionalization of Carboxylated Cellulose Nanocrystals. Nanomaterials 2021, 11, 1641. https://doi.org/10.3390/nano11071641
Lam E, Hemraz UD. Preparation and Surface Functionalization of Carboxylated Cellulose Nanocrystals. Nanomaterials. 2021; 11(7):1641. https://doi.org/10.3390/nano11071641
Chicago/Turabian StyleLam, Edmond, and Usha D. Hemraz. 2021. "Preparation and Surface Functionalization of Carboxylated Cellulose Nanocrystals" Nanomaterials 11, no. 7: 1641. https://doi.org/10.3390/nano11071641
APA StyleLam, E., & Hemraz, U. D. (2021). Preparation and Surface Functionalization of Carboxylated Cellulose Nanocrystals. Nanomaterials, 11(7), 1641. https://doi.org/10.3390/nano11071641









