Design of Hybrid PAH Nanoadsorbents by Surface Functionalization of ZrO2 Nanoparticles with Phosphonic Acids
Abstract
1. Introduction
2. Materials and Methods
2.1. Chemicals and Reagents
2.2. Syntheses of Surface Modified ZrO2 Nanoparticules by Phosphonic Acid
2.3. PAHs Batch Adsorption Test Procedure
2.4. Equipment and Characterization
2.5. Adsorption Kinetics
2.5.1. Pseudo-First-Order Kinetic Equation
2.5.2. Pseudo-Second-Order Equation
2.6. Adsorption Isotherm
3. Results
3.1. Characterization
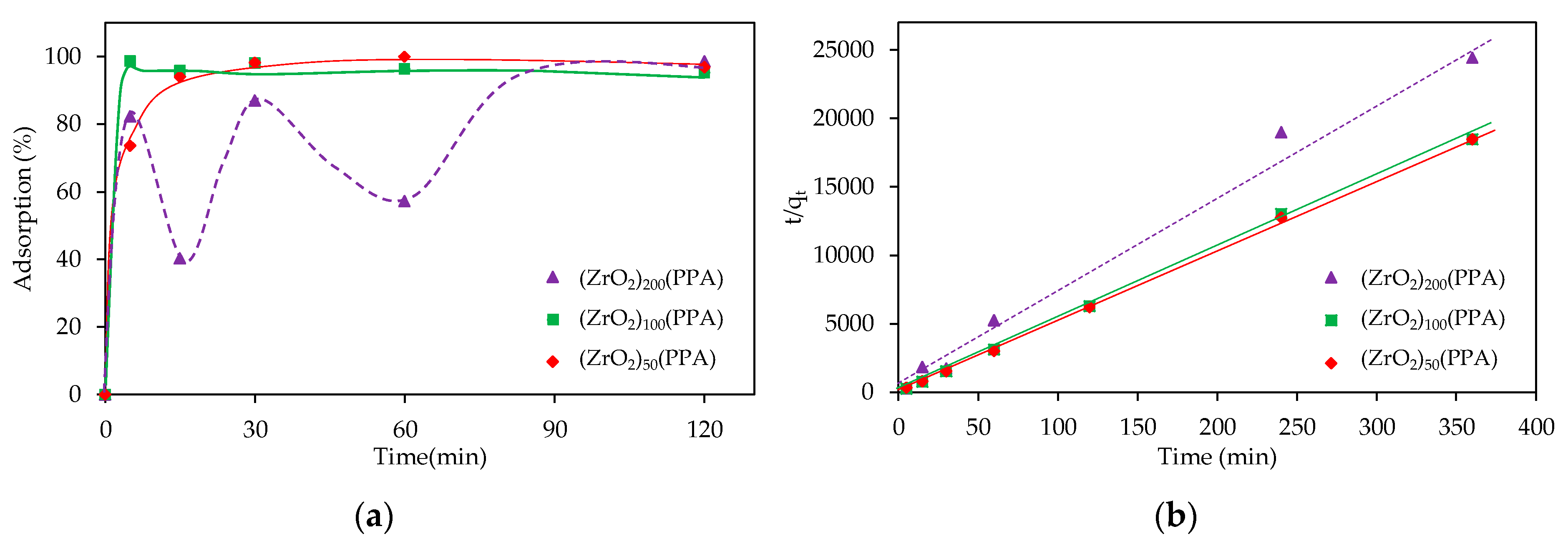
3.2. Adsorption Efficiency and Kinetic Study
4. Discussion
5. Conclusions
Author Contributions
Funding
Institutional Review Board Statement
Informed Consent Statement
Data Availability Statement
Acknowledgments
Conflicts of Interest
Appendix A







| Adsorbent | SBET (m2 g−1) |
|---|---|
| ZrO2 | 58 |
| (ZrO2)200(VPA) | 57 |
| (ZrO2)100(VPA) | 51 |
| (ZrO2)50(VPA) | 50 |
| (ZrO2)25(VPA) | 56 |
| (ZrO2)200(PPA) | 58 |
| (ZrO2)100(PPA) | 57 |
| (ZrO2)50(PPA) | 56 |
| (ZrO2)25(PPA) | 53 |
| PAH | Log Kow * | ZrO2 | (ZrO2)50(PPA) | ||||
|---|---|---|---|---|---|---|---|
| qe (mg.g−1) | k2 (g.mg−1 min−1) | R² | qe (mg.g−1) | k2 (g.mg−1 min−1) | R² | ||
| Naphtalene | 3.37 | 0.0087 | 35.8 | 0.9961 | 0.0077 | 38.5 | 0.9991 |
| Acenaphtylene | 4 | 0.0073 | 55.1 | 0.9903 | 0.0066 | 87.4 | 0.9996 |
| Acenaphtene | 3.92 | 0.0082 | 59.9 | 0.9954 | 0.0075 | 102.8 | 0.9997 |
| Fluorene | 4.18 | 0.0081 | 83.2 | 0.9957 | 0.0076 | 179.0 | 0.9997 |
| Anthracene | 4.54 | 0.0083 | 139.2 | 0.9967 | 0.0079 | 362.6 | 0.9998 |
| Phenantrene | 4.57 | 0.0088 | 264.4 | 0.9991 | 0.0087 | 450.9 | 0.9999 |
| Fluoranthene | 5.22 | 0.0088 | 258.8 | 0.9991 | 0.0087 | 330.7 | 0.9997 |
| Pyrene | 5.18 | 0.0088 | 255.0 | 0.9992 | 0.0086 | 258.6 | 0.9995 |
| Benz(a)anthracene | 5.91 | 0.0095 | 192.4 | 0.9999 | 0.0096 | 697.4 | 0.9999 |
| Chrysene | 5.91 | 0.0094 | 375.2 | 0.9999 | 0.0095 | 576.1 | 0.9999 |
| Benzo(a)pyrene | 5.91 | 0.0093 | 253.1 | 0.9999 | 0.0100 | 661.5 | 0.9999 |
| Benzo(b)fluoranthene | 5.8 | 0.0094 | 449.4 | 1.0000 | 0.0098 | 869.9 | 0.9999 |
| Benzo(k)fluoranthene | 6 | 0.0095 | 279.1 | 1.0000 | 0.0095 | 860.1 | 0.9999 |
| Benzo(ghi)perylene | 6.5 | 0.0095 | 161.1 | 0.9997 | 0.0098 | 1008.1 | 0.9999 |
| Indeno(1.2.3-cd)pyrene | 6.5 | 0.0093 | 396.9 | 0.9999 | 0.0098 | 1008.1 | 0.9999 |
| Dibenz(a.h)anthracene | 6.75 | 0.0094 | 493.4 | 0.9999 | 0.0099 | 1543.9 | 0.9999 |
| PAH | Molecular weight (g/mol) | ZrO2 | (ZrO2)50(PPA) | ||||
|---|---|---|---|---|---|---|---|
| R2 | KF | nF | R2 | KF | nF | ||
| Naphtalene | 128 | 0.996 | 2.94 | 0.92 | 0.961 | 4.68 | 0.33 |
| Acenaphtylene | 152 | 0.986 | 2.39 | 0.87 | 0.976 | 3.01 | 0.44 |
| Acenaphtene | 154 | 0.989 | 3.00 | 0.88 | 0.977 | 2.99 | 0.57 |
| Fluorene | 166 | 0.965 | 2.98 | 0.63 | 0.965 | 2.98 | 0.63 |
| Anthracene | 178 | 0.995 | 5.40 | 0.71 | 0.996 | 5.57 | 0.53 |
| Phenantrene | 178 | 0.997 | 4.72 | 0.69 | 0.971 | 4.21 | 0.59 |
| Fluoranthene | 202 | 0.999 | 4.75 | 0.76 | 0.946 | 5.42 | 0.52 |
| Pyrene | 202 | 0.999 | 5.37 | 0.72 | 0.986 | 6.25 | 0.53 |
| Benz(a)anthracene | 228 | 0.999 | 2.06 | 1.28 | 0.995 | 1.47 | 1.02 |
| Chrysene | 228 | 0.991 | 1.46 | 1.61 | 0.974 | 1.79 | 0.51 |
| Benzo(a)pyrene | 252 | 0.996 | 1.78 | 1.35 | 0.980 | 1.66 | 0.56 |
| Benzo(b)fluoranthene | 252 | 0.981 | 3.04 | 1.53 | 0.993 | 3.00 | 0.93 |
| Benzo(k)fluoranthene | 252 | 0.999 | 1.12 | 2.19 | 0.987 | 2.03 | 0.67 |
| Benzo(ghi)perylene | 276 | 0.955 | 1.31 | 1.55 | 0.985 | 1.52 | 0.75 |
| Indeno(1.2.3-cd)pyrene | 276 | 0.999 | 1.54 | 1.93 | 0.978 | 1.58 | 0.99 |
| Dibenz(a.h)anthracene | 278 | 0.941 | 1.84 | 1.00 | 0.941 | 2.29 | 0.48 |
References
- Grimmer, G. Environmental Carcinogens: Polycyclic Aromatic Hydrocarbons, 1st ed.; CRC Press: Boca Raton, FL, USA, 2018. [Google Scholar]
- Menzie, C.A.; Potocki, B.B.; Santodonato, J. Exposure to carcinogenic PAHs in the environment. Environ. Sci. Technol. 1992, 26, 1278–1284. [Google Scholar] [CrossRef]
- U.S. EPA (US Environmental Protection Agency). Polycyclic Aromatic Hydrocarbons (PAHs)-EPA Fact Sheet; US Environmental Protection Agency: Washington, DC, USA, 2008.
- Keith, L.H. The Source of U.S. EPA’s Sixteen PAH Priority Pollutants. Polycycl. Aromat. Compd. 2015, 35, 147–160. [Google Scholar] [CrossRef]
- U.S. EPA (US Environmental Protection Agency). Guidelines for Carcinogen Risk Assessment; US Environmental Protection Agency: Washington, DC, USA, 2005; 630/P-03/001F.
- Abdel-Shafy, H.I.; Mansour, M.S.M. A review on polycyclic aromatic hydrocarbons: Source, environmental impact, effect on human health and remediation. Egypt. J. Pet. 2016, 25, 107–123. [Google Scholar] [CrossRef]
- Rubio-Clemente, A.; Torres-Palma, R.A.; Peñuela, G.A. Removal of polycyclic aromatic hydrocarbons in aqueous environment by chemical treatments: A review. Sci. Total Environ. 2014, 478, 201–225. [Google Scholar] [CrossRef]
- Adeola, A.O.; Forbes, P.B.C. Advances in water treatment technologies for removal of polycyclic aromatic hydrocarbons: Existing concepts, emerging trends, and future prospects. Water Environ. Res. 2020. [Google Scholar] [CrossRef]
- Manousi, N.; Zachariadis, G.A. Recent advances in the extraction of polycyclic aromatic hydrocarbons from environmental samples. Molecules 2020, 25, 2182. [Google Scholar] [CrossRef]
- Lamichhane, S.; Bal Krishna, K.C.; Sarukkalige, R. Polycyclic aromatic hydrocarbons (PAHs) removal by sorption: A review. Chemosphere 2016, 148, 336–353. [Google Scholar] [CrossRef]
- Mahgoub, H.A. Nanoparticles used for extraction of polycyclic aromatic hydrocarbons. J. Chem. 2019, 2019. [Google Scholar] [CrossRef]
- Akbari, A.; Arsalani, N. Organic inaorganic condensed polyhedral oligomeric silsesquioxane-based nanohybrid: Synthesis, characterization and dye removal properties. Polym. Plast. Technol. Eng. 2016, 55, 1586–1594. [Google Scholar] [CrossRef]
- Farrokhzadeh, S.; Razmi, H.; Jannat, B. Application of marble powder as a potential green adsorbent for miniaturized solid phase extraction of polycyclic aromatic hydrocarbons from water samples. Sep. Sci. Technol. 2020, 55, 2737–2745. [Google Scholar] [CrossRef]
- Hedayati, M.S.; Li, L.Y. Removal of polycyclic aromatic hydrocarbons from aqueous media using modified clinoptilolite. J. Environ. Manag. 2020, 273, 111113. [Google Scholar] [CrossRef]
- Li, C.; Sun, M.; Ji, X.; Han, S.; Feng, J.; Guo, W.; Feng, J. Triazine-based organic polymers@SiO2 nanospheres for sensitive solid-phase microextraction of polycyclic aromatic hydrocarbons. J. Sep. Sci. 2020, 43, 622–630. [Google Scholar] [CrossRef]
- Gupta, P.K.; Khan, Z.H.; Solanski, P.R. Prospects of nanostructured ZrO2 as a point-of-care-diagnostic. In Recent Trends in Nanomaterials: Synthesis and Properties; Springer: Singapore, 2017; Volume 83, pp. 285–305. ISBN 978-981-10-3842-6. [Google Scholar]
- Petit, M.; Monot, J. Functionalization of Zirconium Oxide Surfaces. Chemistry of Organo-Hybrids; John Wiley & Sons, Ltd.: Hoboken, NJ, USA, 2015; pp. 168–199. [Google Scholar] [CrossRef]
- Catauro, M.; Barrino, F.; Dal Poggetto, G.; Milazzo, M.; Blanco, I.; Vecchio Ciprioti, S. Structure, drug absorption, bioactive and anti bacterial properties of sol-gel SiO2/ZrO2 materials. Ceram. Int. 2020, 46, 29459–29465. [Google Scholar] [CrossRef]
- Mingalyov, P.G.; Lisichkin, G.V. Chemical modification of oxide surfaces with organophosphorus(V) acids and their esters. Russ. Chem. Rev. 2006, 75, 541. [Google Scholar] [CrossRef]
- Mutin, P.H.; Guerrero, G.; Vioux, A. Hybrid materials from organophosphorus coupling molecules. J. Mater. Chem. 2005, 15, 3761–3768. [Google Scholar] [CrossRef]
- Guerrero, G.; Alauzun, J.G.; Granier, M.; Laurencin, D.; Mutin, P.H. Phosphonate coupling molecules for the control of surface/interface properties and the synthesis of nanomaterials. Dalton Trans. 2013, 42, 12569–12585. [Google Scholar] [CrossRef]
- Lomoschitz, C.J.; Feichtenschlager, B.; Moszner, N.; Puchberger, M.; Müller, K.; Abele, M.; Kickelbick, G. Directing Alkyl Chain Ordering of Functional Phosphorus Coupling Agents on ZrO2. Langmuir 2011, 27, 3534–3540. [Google Scholar] [CrossRef] [PubMed]
- Bou Orm, N.; Trieu, Q.A.; Daniele, S. TiO2-Based Hybrid Nanocomposites Modified by Phosphonate Molecules as Selective PAH Adsorbents. Molecules 2018, 23, 3046. [Google Scholar] [CrossRef] [PubMed]
- Trieu, Q.A.; Pellet-Rostaing, S.; Arrachart, G.; Traore, Y.; Kimbel, S.; Daniele, S. Interfacial study of surface modified ZrO2 nanoparticles with thioctic acid for the selective recovery of palladium and gold from electronic industrial wastewater. Sep. Purif. Technol. 2020, 237, 116353. [Google Scholar] [CrossRef]
- Domínguez, I.; Javier Arrebola, F.; Martínez Vidal, J.L.; Garrido Frenich, A. Assement of wastewater pollution by gas chromatography and high resolution Orbitrap mass spectrometry. J. Chromatogr. A 2020, 1619, 460964. [Google Scholar] [CrossRef]
- Yang, L.; Wang, S.; Peng, X.; Zheng, M.; Yang, Y.; Xiao, K.; Liu, G. Gas chromatography-Orbitrap mass spectrometry screening of organic chemicals in fly ash samples from industrial sources and implications for understanding the formation mechanisms of unintentional persistent organic pollutants. Sci. Total Environ. 2019, 664, 107–115. [Google Scholar] [CrossRef]
- Ezzati, R. Derivation of Pseudo-First-Order, Pseudo-Second-Order and Modified Pseudo-First-Order rate equations from Langmuir and Freundlich isotherms for adsorption. Chem. Eng. J. 2020, 392, 123705. [Google Scholar] [CrossRef]
- Langmuir, I. Modelisation of adsorption. Phys. Rev. 1915, 6, 79–80. [Google Scholar]
- Freundlich, H.M.F. Over the adsorption in solution. J. Phys. Chem. 1906, 57, 385–471. [Google Scholar]
- Thommes, M.; Kaneko, K.; Neimark, A.V.; Olivier, J.P.; Rodriguez-Reinoso, F.; Rouquerol, J.; Sing, K.S.W. Physisorption of gases, with special reference to the evaluation of surface area and pore size distribution (IUPAC Technical Report. Pure Appl. Chem. 2015, 87, 1051–1069. [Google Scholar] [CrossRef]
- Al-Ghouti, M.A.; Da’ana, D.A. Guidelines for the use and interpretation of adsorption isotherm models: A review. J. Hazard. Mater. 2020, 393, 122383. [Google Scholar] [CrossRef] [PubMed]
- Lin-Vien, D.; Colthup, N.B.; Fateley, W.G.; Grasselli, J.G. Organophosphorus coumponds. In The Handbook of Infrared and Raman Characteristic Frequencies of Organic Molecules; Elsevier: Amsterdam, The Netherlands, 1991; pp. 263–276. ISBN 978-0-12-451160-6. [Google Scholar]
- Bou Orm, N. Nano-Materiaux Hybrides pour L’elimination de Micro-Polluants Organiques (HAP) dans les Effluents Aqueux. Ph.D. Thesis, University of Lyon, Lyon, France, 2012. [Google Scholar]
- Sheikh, J.A.; Bakhmutov, V.I.; Clearfield, A. Layered metal(IV) phosphonate materials: Solid-state 1H, 13C, 31P NMR spectra and NMR relaxation. Magn. Reson. Chem. 2018, 56, 276–284. [Google Scholar] [CrossRef]
- Wagstaffe, M.; Thomas, A.G.; Jackman, M.J.; Torres-Molina, M.; Syres, K.L.; Handrup, K. An Experimental Investigation of the Adsorption of a Phosphonic Acid on the Anatase TiO2 (101) Surface. J. Phys. Chem. C 2016, 120, 1693–1700. [Google Scholar] [CrossRef]
- Glover, C.F.; Williams, G. Inhibition of corrosion-driven organic coating delamination and filiform corrosion on iron by phenyl phosphonic acid. Prog. Org. Coat. 2017, 102, 44–52. [Google Scholar] [CrossRef]
- Glover, C.F.; Williams, G. Inhibition of Localized Corrosion of Hot Dip Galvanized Steel by Phenylphosphonic Acid. J. Electrochem. Soc. 2017, 164, C407–C417. [Google Scholar] [CrossRef]
- Sangster, J. Octanol-water partition coefficients of simple organic compounds. J. Phys. Chem. Ref. Data. 1989, 18, 1111–1229. [Google Scholar] [CrossRef]








| Elemental Chemical Analysis | XPS | |||||
|---|---|---|---|---|---|---|
| Adsorbent | Atomic Ratio Zr/P | Measured P (wt%) | PO3- | PO2(OH) | ∑P | |
| Theoretical | Measured | |||||
| (ZrO2)200(PPA) | 200 | *** | *** | 1.72 | 0.07 | 1.79 |
| (ZrO2)100(PPA) | 100 | 300 | 0.08 | 2.39 | 0.72 | 3.11 |
| (ZrO2)50(PPA) | 50 | 122 | 0.19 | 3.63 | 1.41 | 5.04 |
| (ZrO2)25(PPA) | 25 | *** | *** | 4.10 | 1.48 | 5.58 |
| (ZrO2)100(VPA) | 100 | 77 | 0.31 | *** | *** | *** |
| (ZrO2)50(VPA) | 50 | 47 | 0.5 | *** | *** | *** |
| Adsorbent | (ZrO2)xVPA | (ZrO2)xPPA | |||||
|---|---|---|---|---|---|---|---|
| Zr/P Ratio | PAH Pollutant | qe | k2 | R2 | qe | k2 | R2 |
| 50 | Naphtalene | 15.5 | 5 | 0.9971 | 17.5 | 6 | 0.9976 |
| 100 | 16.4 | 5 | 0.9902 | 16.8 | 15 | 0.9941 | |
| 200 | 17.2 | 6 | 0.9902 | 18.5 | 2 | 0.9977 | |
| 50 | Acenaphthylene | 14.7 | 10 | 0.9992 | 17.2 | 8 | 0.9968 |
| 100 | 15.7 | 8 | 0.9949 | 16.4 | 21 | 0.9961 | |
| 200 | 17.2 | 7 | 0.9979 | 17.2 | 5 | 0.9903 | |
| 50 | Acenaphthene | 17.5 | 11 | 0.9996 | 18.8 | 10 | 0.9952 |
| 100 | 17.9 | 11 | 0.9978 | 18.2 | 26 | 0.9981 | |
| 200 | 18.7 | 7 | 0.9971 | 19.2 | 3 | 0.9954 | |
| 50 | Fluorene | 17.4 | 16 | 0.9996 | 18.8 | 12 | 0.9966 |
| 100 | 18.1 | 6 | 0.9965 | 18.3 | 34 | 0.9991 | |
| 200 | 18.7 | 9 | 0.9979 | 19 | 5 | 0.9973 | |
| 50 | Phenanthrene | 17.2 | 29 | 0.9995 | 18.4 | 20 | 0.9979 |
| 100 | 17.6 | 13 | 0.9991 | 18 | 57 | 0.9994 | |
| 200 | 18.4 | 12 | 0.9986 | 18.6 | 7 | 0.9982 | |
| 50 | Anthracene | 18.3 | 33 | 0.9996 | 18.3 | 13 | 0.9971 |
| 100 | 17.2 | 12 | 0.9982 | 18.4 | 60 | 0.9997 | |
| 200 | 18.6 | 12 | 0.9975 | 18.6 | 12 | 0.9992 | |
| 50 | Pyrene | 17.9 | 67 | 0.9999 | 18.3 | 46 | 0.9993 |
| 100 | 18 | 27 | 0.9998 | 18.5 | 154 | 0.9999 | |
| 200 | 18.5 | 25 | 0.9995 | 18.4 | 20 | 0.9996 | |
| 50 | Fluoranthene | 17.7 | 51 | 0.9997 | 18.1 | 42 | 0.9992 |
| 100 | 17.8 | 25 | 0.9998 | 18.4 | 129 | 0.9998 | |
| 200 | 18.4 | 21 | 0.9993 | 18.3 | 17 | 0.9993 | |
| 50 | Benz(a)anthracene | 19.1 | 7 | 0.9971 | 18.9 | 59 | 0.9996 |
| 100 | 18.9 | 7 | 0.9966 | 19 | 136 | 0.9995 | |
| 200 | 19.5 | 20 | 0.9999 | 15.5 | 9 | 0.9905 | |
| 50 | Chrysene | 19.4 | 6 | 0.9961 | 19.1 | 148 | 0.9996 |
| 100 | 19.2 | 9 | 0.9941 | 19 | 81 | 0.9989 | |
| 200 | 19.7 | 16 | 0.9999 | 13.5 | 10 | 0.9976 | |
| 50 | Benzo(b)fluoranthene | 18.7 | 15 | 0.9992 | 18.8 | 118 | 0.9999 |
| 100 | 18.6 | 26 | 0.9996 | 18.6 | 228 | 0.9998 | |
| 200 | 18.8 | 73 | 0.9953 | 16.9 | 35 | 0.9971 | |
| 50 | Benzo(k)fluoranthene | 19.1 | 5 | 0.9949 | 18.8 | 98 | 0.9997 |
| 100 | 19.1 | 8 | 0.9901 | 18.8 | 54 | 0.9991 | |
| 200 | 19.3 | 16 | 0.9999 | 14.3 | 10 | 0.9944 | |
| 50 | Benzo(a)pyrene | 19.6 | 5 | 0.9944 | 19.3 | 139 | 0.9969 |
| 100 | 19.4 | 9 | 0.9935 | 19.2 | 78 | 0.9991 | |
| 200 | 19.9 | 16 | 0.9999 | 14.3 | 10 | 0.9944 | |
| 50 | Dibenz(a,h)anththracene | 19.8 | 4 | 0.9975 | 19.5 | 72 | 0.9983 |
| 100 | 18.9 | 10 | 0.9987 | 19.6 | 53 | 0.9965 | |
| 200 | 20.3 | 9 | 0.9998 | 10.1 | 10 | 0.9157 | |
| 50 | Indeno(1,2,3-cd)pyrene | 18.1 | 8 | 0.9978 | 17.8 | 140 | 0.9996 |
| 100 | 17.7 | 9 | 0.9994 | 17.9 | 89 | 0.9994 | |
| 200 | 19.7 | 10 | 0.9979 | 15 | 21 | 0.9946 | |
| 50 | Benzo(ghi)perylene | 18.6 | 5 | 0.9931 | 17.9 | 189 | 0.9997 |
| 100 | 18.4 | 15 | 0.9927 | 18.4 | 38 | 0.9987 | |
| 200 | 18.9 | 18 | 0.9998 | 11.5 | 23 | 0.9618 | |
Publisher’s Note: MDPI stays neutral with regard to jurisdictional claims in published maps and institutional affiliations. |
© 2021 by the authors. Licensee MDPI, Basel, Switzerland. This article is an open access article distributed under the terms and conditions of the Creative Commons Attribution (CC BY) license (https://creativecommons.org/licenses/by/4.0/).
Share and Cite
Bou Orm, N.; Gréa, T.; Hamandi, M.; Lambert, A.; Lafay, F.; Vulliet, E.; Daniele, S. Design of Hybrid PAH Nanoadsorbents by Surface Functionalization of ZrO2 Nanoparticles with Phosphonic Acids. Nanomaterials 2021, 11, 952. https://doi.org/10.3390/nano11040952
Bou Orm N, Gréa T, Hamandi M, Lambert A, Lafay F, Vulliet E, Daniele S. Design of Hybrid PAH Nanoadsorbents by Surface Functionalization of ZrO2 Nanoparticles with Phosphonic Acids. Nanomaterials. 2021; 11(4):952. https://doi.org/10.3390/nano11040952
Chicago/Turabian StyleBou Orm, Nadine, Thomas Gréa, Marwa Hamandi, Alexandre Lambert, Florent Lafay, Emmanuelle Vulliet, and Stéphane Daniele. 2021. "Design of Hybrid PAH Nanoadsorbents by Surface Functionalization of ZrO2 Nanoparticles with Phosphonic Acids" Nanomaterials 11, no. 4: 952. https://doi.org/10.3390/nano11040952
APA StyleBou Orm, N., Gréa, T., Hamandi, M., Lambert, A., Lafay, F., Vulliet, E., & Daniele, S. (2021). Design of Hybrid PAH Nanoadsorbents by Surface Functionalization of ZrO2 Nanoparticles with Phosphonic Acids. Nanomaterials, 11(4), 952. https://doi.org/10.3390/nano11040952

