Thermoelectric Characteristics of A Single-Crystalline Topological Insulator Bi2Se3 Nanowire
Abstract
1. Introduction
2. Materials and Methods
3. Results and Discussion
3.1. Characterization of Materials
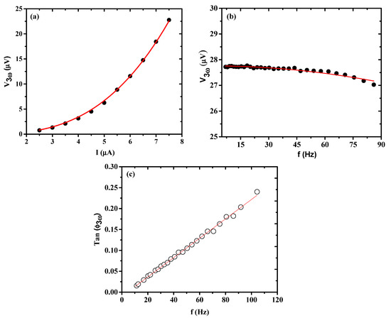
3.2. Characterization of Thermoelectric Properties
4. Conclusions
Supplementary Materials
Author Contributions
Funding
Data Availability Statement
Acknowledgments
Conflicts of Interest
References
- Boukai, A.I.; Bunimovich, Y.; Tahir-Kheli, J.; Yu, J.K.; Goddard, W.A.; Heath, J.R. Silicon nanowires as efficient thermoelectric materials. Nature 2008, 451, 168–171. [Google Scholar] [CrossRef]
- Bubnova, O.; Khan, Z.U.; Malti, A.; Braun, S.; Fahlman, M.; Berggren, M.; Crispin, X. Optimization of the thermoelectric figure of merit in the conducting polymer poly(3,4-ethylenedioxythiophene). Nat. Mater. 2011, 10, 429–433. [Google Scholar] [CrossRef]
- Hochbaum, A.I.; Chen, R.; Delgado, R.D.; Liang, W.; Garnett, E.C.; Najarian, M.; Majumdar, A.; Yang, P. Enhanced thermoelectric performance of rough silicon nanowires. Nature 2008, 451, 163–167. [Google Scholar] [CrossRef]
- Minnich, A.J.; Dresselhaus, M.S.; Ren, Z.F.; Chen, G. Bulk nanostructured thermoelectric materials: Current research and future prospects. Energy Environ. Sci. 2009, 2, 466–479. [Google Scholar] [CrossRef]
- Zhao, H.; Pokheral, M.; Zhu, G.; Chen, S.; Lukas, K.; Jie, Q.; Opeil, C.; Chen, G.; Ren, Z. Dramatic thermal conductivity reduction by nanostructures for large increase in thermoelectric figure-of-merit of FeSb2. Appl. Phys. Lett. 2011, 99, 2012–2015. [Google Scholar] [CrossRef]
- Snyder, G.J.; Toberer, E.S. Complex thermoelectric materials. Mater. Sustain. Energy Collect. Peer Rev. Res. Rev. Artic. Nat. Publ. Group 2010, 7, 101–110. [Google Scholar]
- Tritt, T.M.; Subramanian, M.A. Thermoelectric Materials, Phenomena and Applications: A Bird’s Eye View. MRS bulletin 2006, 31, 188–198. [Google Scholar] [CrossRef]
- Disalvo, F.J. Thermoelectric cooling and power generation. Science 1999, 285, 703–706. [Google Scholar] [CrossRef]
- Tritt, T.M. Thermoelectric materials:Holey and Unholey Semiconductors. Science 1999, 283, 804–805. [Google Scholar] [CrossRef]
- Rowe, D.M. CRC Handbook of Thermoelectrics; CRC Press: Danvers, MA, USA, 1995; ISBN 0849301467. [Google Scholar]
- Dresselhaus, M.S.; Chen, G.; Tang, M.Y.; Yang, R.; Lee, H.; Wang, D.; Ren, Z.; Fleurial, J.P.; Gogna, P. New directions for low-dimensional thermoelectric materials. Adv. Mater. 2007, 19, 1043–1053. [Google Scholar] [CrossRef]
- Mahan, G.D.; Sofo, J.O. The best thermoelectric. Proc. Natl. Acad. Sci. USA 1996, 93, 7436–7439. [Google Scholar] [CrossRef]
- Lin, Y.M.; Sun, X.; Dresselhaus, M. Theoretical investigation of thermoelectric transport properties of cylindrical Bi nanowires. Phys. Rev. B 2000, 62, 4610–4623. [Google Scholar] [CrossRef]
- Hicks, L.; Dresselhaus, M.S. Effect of quantum-well structures on the thermoelectric figure of merit. Phys. Rev. B 1993, 47, 12727. [Google Scholar] [CrossRef]
- Boukai, A.; Xu, K.; Heath, J.R. Size-dependent transport and thermoelectric properties of individual polycrystalline bismuth nanowires. Adv. Mater. 2006, 18, 864–869. [Google Scholar] [CrossRef]
- Slack, G. New Materials and Performance Limits for Thermoelectric Cooling. In CRC Handbok Thermoelectrics; CRC Press: Danvers, MA, USA, 1995. [Google Scholar]
- Mishra, S.K.; Satpathy, S.; Jepsen, O. Electronic structure and thermoelectric properties of bismuth telluride and bismuth selenide. J. Phys. Condens. Matter 1997, 9, 461–470. [Google Scholar] [CrossRef]
- Al Bayaz, A.; Giani, A.; Foucaran, A.; Pascal-Delannoy, F.; Boyer, A. Electrical and thermoelectrical properties of Bi2Se3 grown by metal organic chemical vapour deposition technique. Thin Solid Films 2003, 441, 1–5. [Google Scholar] [CrossRef]
- Gooth, J.; Gluschke, J.G.; Zierold, R.; Leijnse, M.; Linke, H.; Nielsch, K. Thermoelectric performance of classical topological insulator nanowires. Semicond. Sci. Technol. 2015, 30, 015015. [Google Scholar] [CrossRef]
- Watanabe, K.; Sato, N.; Miyaoka, S. New optical recording material for video disc system. J. Appl. Phys. 1983, 54, 1256–1260. [Google Scholar] [CrossRef]
- Waters, J.; Crouch, D.; Raftery, J.; O’Brien, P. Deposition of bismuth chalcogenide thin films using novel single-source precursors by metal-organic chemical vapor deposition. Chem. Mater. 2004, 16, 3289–3298. [Google Scholar] [CrossRef]
- Venkatasubramanian, R.; Siivola, E.; Colpitts, T.; O’Quinn, B. Thin-film thermoelectric devices with high room-temperature figures of merit. Nature 2001, 413, 597–602. [Google Scholar] [CrossRef] [PubMed]
- Xu, H.; Chen, G.; Jin, R.; Pei, J.; Wang, Y.; Chen, D. Hierarchical Bi2Se3 microrods: Microwave-assisted synthesis, growth mechanism and their related properties. Cryst. Eng. Comm. 2013, 15, 1618–1625. [Google Scholar] [CrossRef]
- Xu, H.; Chen, G.; Jin, R.; Chen, D.; Wang, Y.; Pei, J.; Zhang, Y.; Yan, C.; Qiu, Z. Microwave-assisted synthesis of Bi2Se3 ultrathin nanosheets and its electrical conductivities. Cryst. Eng. Comm. 2014, 16, 3965–3970. [Google Scholar] [CrossRef]
- Lin, Y.F.; Chang, H.W.; Lu, S.Y.; Liu, C.W. Preparation, characterization, and electrophysical properties of nanostructured BiPO4 and Bi2Se3 derived from a structurally characterized, single-source precursor Bi[Se2P(OiPr)2]3. J. Phys. Chem. C 2007, 111, 18538–18544. [Google Scholar] [CrossRef]
- Bai, T.; Li, C.; Liang, D.; Li, F.; Jin, D.; Shi, Z.; Feng, S. Synthesis of various metal selenide nanostructures using the novel selenium precursor 1,5-bis(3-methylimidazole-2-selone)pentane. Cryst. Eng. Comm. 2013, 15, 6483–6490. [Google Scholar] [CrossRef]
- Manjare, S.T.; Yadav, S.; Singh, H.B.; Butcher, R.J. Redox reaction between main-group elements (Te, Sn, Bi) and N-Heterocyclic-carbene-derived selenium halides: A facile method for the preparation of monomeric halides. Eur. J. Inorg. Chem. 2013, 2013, 5344–5357. [Google Scholar] [CrossRef]
- Kadel, K.; Kumari, L.; Li, W.Z.; Huang, J.Y.; Provencio, P.P. Synthesis and thermoelectric properties of Bi2Se3 nanostructures. Nanoscale Res. Lett. 2011, 6, 57. [Google Scholar] [CrossRef] [PubMed]
- Min, Y.; Roh, J.W.; Yang, H.; Park, M.; Kim, S.I.; Hwang, S.; Lee, S.M.; Lee, K.H.; Jeong, U. Surfactant-free scalable synthesis of Bi2Te3 and Bi2Se3 nanoflakes and enhanced thermoelectric properties of their nanocomposites. Adv. Mater. 2013, 25, 1425–1429. [Google Scholar] [CrossRef] [PubMed]
- Sun, Z.; Liufu, S.; Chen, L. Synthesis and characterization of nanostructured bismuth selenide thin films. Dalt. Trans. 2010, 39, 10883–10887. [Google Scholar] [CrossRef] [PubMed]
- Giani, A.; Al Bayaz, A.; Foucaran, A.; Pascal-Delannoy, F.; Boyer, A. Elaboration of Bi2Se3 by metalorganic chemical vapour deposition. J. Cryst. Growth 2002, 236, 217–220. [Google Scholar] [CrossRef]
- Alegria, L.D.; Schroer, M.D.; Chatterjee, A.; Poirier, G.R.; Pretko, M.; Patel, S.K.; Petta, J.R. Structural and electrical characterization of Bi 2Se 3 nanostructures grown by metal-organic chemical vapor deposition. Nano Lett. 2012, 12, 4711–4714. [Google Scholar] [CrossRef]
- Sun, Y.; Cheng, H.; Gao, S.; Liu, Q.; Sun, Z.; Xiao, C.; Wu, C.; Wei, S.; Xie, Y. Atomically thick bismuth selenide freestanding single layers achieving enhanced thermoelectric energy harvesting. J. Am. Chem. Soc. 2012, 134, 20294–20297. [Google Scholar] [CrossRef]
- Checkelsky, J.G.; Hor, Y.S.; Cava, R.J.; Ong, N.P. Bulk band gap and surface state conduction observed in voltage-tuned crystals of the topological insulator Bi2Se3. Phys. Rev. Lett. 2011, 106, 4–7. [Google Scholar] [CrossRef] [PubMed]
- Hong, S.S.; Kundhikanjana, W.; Cha, J.J.; Lai, K.; Kong, D.; Meister, S.; Kelly, M.A.; Shen, Z.X.; Cui, Y. Ultrathin topological insulator Bi2Se3 nanoribbons exfoliated by atomic force microscopy. Nano Lett. 2010, 10, 3118–3122. [Google Scholar] [CrossRef]
- Janíček, P.; Drašar, Č.; Beneš, L.; Lošták, P. Thermoelectric properties of Tl-doped Bi2Se3 single crystals. Cryst. Res. Technol. 2009, 44, 505–510. [Google Scholar] [CrossRef]
- King, M.D.; Blanton, T.N.; Misture, S.T.; Korter, T.M. Prediction of the unknown crystal structure of creatine using fully quantum mechanical methods. Cryst. Growth Des. 2011, 11, 5733–5740. [Google Scholar] [CrossRef]
- Kašparová, J.; Drašar, Č.; Krejčová, A.; Beneš, L.; Lošt’ák, P.; Chen, W.; Zhou, Z.; Uher, C. n-type to p-type crossover in quaternary Bi xSb yPb zSe 3 single crystals. J. Appl. Phys. 2005, 97, 103720. [Google Scholar] [CrossRef]
- Hor, Y.S.; Richardella, A.; Roushan, P.; Xia, Y.; Checkelsky, J.G.; Yazdani, A.; Hasan, M.Z.; Ong, N.P.; Cava, R.J. P-type Bi2Se3 for topological insulator and low-temperature thermoelectric applications. Phys. Rev. B 2009, 79, 195208. [Google Scholar] [CrossRef]
- Qiu, X.; Austin, L.N.; Muscarella, P.A.; Dyck, J.S.; Burda, C. Nanostructured Bi2Se3 films and their thermoelectric transport properties. Angew. Chem. Int. Ed. 2006, 45, 5656–5659. [Google Scholar] [CrossRef]
- Navrátil, J.; Horák, J.; Plecháček, T.; Kamba, S.; Lošt’ák, P.; Dyck, J.S.; Chen, W.; Uher, C. Conduction band splitting and transport properties of Bi2Se3. J. Solid State Chem. 2004, 177, 1704–1712. [Google Scholar] [CrossRef]
- Dedi; Lee, P.C.; Chien, C.H.; Dong, G.P.; Huang, W.C.; Chen, C.L.; Tseng, C.M.; Harutyunyan, S.R.; Lee, C.H.; Chen, Y.Y. Stress-induced growth of single-crystalline lead telluride nanowires and their thermoelectric transport properties. Appl. Phys. Lett. 2013, 103, 1–6. [Google Scholar] [CrossRef]
- Dedi; Chien, C.H.; Hsiung, T.C.; Chen, Y.C.; Huang, Y.C.; Lee, P.C.; Lee, C.H.; Chen, Y.Y. Structural, electronic transport and magnetoresistance of a 142nm lead telluride nanowire synthesized using stress-induced growth. AIP Adv. 2014, 4, 1–7. [Google Scholar] [CrossRef]
- Cheng, Y.T.; Weiner, A.M.; Wong, C.A.; Balogh, M.P.; Lukitsch, M.J. Stress-induced growth of bismuth nanowires. Appl. Phys. Lett. 2002, 81, 3248–3250. [Google Scholar] [CrossRef]
- Shim, W.; Ham, J.; Lee, K.; Jeung, W.Y.; Johnson, M.; Lee, W. On-film formation of Bi nanowires with extraordinary electron mobility. Nano Lett. 2009, 9, 18–22. [Google Scholar] [CrossRef]
- Chen, X.; Zhou, H.D.; Kiswandhi, A.; Miotkowski, I.; Chen, Y.P.; Sharma, P.A.; Lima Sharma, A.L.; Hekmaty, M.A.; Smirnov, D.; Jiang, Z. Thermal expansion coefficients of Bi2Se3 and Sb2Te3 crystals from 10 K to 270 K. Appl. Phys. Lett. 2011, 99, 12–15. [Google Scholar] [CrossRef]
- Kong, D.; Randel, J.C.; Peng, H.; Cha, J.J.; Meister, S.; Lai, K.; Chen, Y.; Shen, Z.X.; Manoharan, H.C.; Cui, Y. Topological insulator nanowires and nanoribbons. Nano Lett. 2010, 10, 329–333. [Google Scholar] [CrossRef] [PubMed]
- Wang, D.; Sheriff, B.A.; Heath, J.R. Complementary symmetry silicon nanowire logic: Power-efficient inverters with gain. Small 2006, 2, 1153–1158. [Google Scholar] [CrossRef] [PubMed]
- Partin, D.L. Growth and characterization of epitaxial bismuth films. J. Vac. Sci. Technol. B Microelectron. Nanom. Struct. 1989, 7, 348. [Google Scholar] [CrossRef]
- De Kuijper, A.H.; Bisschop, J. Temperature dependence of concentrations and mobilities in thin bismuth films. Thin Solid Films 1983, 110, 99–106. [Google Scholar] [CrossRef]
- Nolas, G.S.; Sharp, J.; Goldsmid, J. Thermoelectrics: Basic Principles and New Materials Developments; Springer-Verlag: Berlin/Heidelberg, Germany, 2013; Volume 45, ISBN 9781461257080. [Google Scholar]
- Greenaway, D.L.; Harbeke, G. Band structure of bismuth telluride, bismuth selenide and their respective alloys. J. Phys. Chem. Solids 1965, 26, 1585–1604. [Google Scholar] [CrossRef]
- Dedi; Idayanti, N.; Lee, P.-C.; Lee, C.-H.; Chen, Y.-Y. Thermoelectric power of single crystalline lead telluride nanowire. J. Phys. Conf. Ser. 2016, 776, 012046. [Google Scholar] [CrossRef]
- Kim, D.; Syers, P.; Butch, N.P.; Paglione, J.; Fuhrer, M.S. Ambipolar surface state thermoelectric power of topological insulator Bi2Se3. Nano Lett. 2014, 14, 1701–1706. [Google Scholar] [CrossRef] [PubMed]
- Cutler, M.; Mott, N.F. Observation of anderson localization in an electron gas. Phys. Rev. 1969, 181, 1336–1340. [Google Scholar] [CrossRef]
- Wang, Z.; Lin, T.; Wei, P.; Liu, X.; Dumas, R.; Liu, K.; Shi, J. Tuning carrier type and density in Bi2Se3 by Ca-doping. Appl. Phys. Lett. 2010, 97, 2012–2015. [Google Scholar] [CrossRef]
- Horák, J.; Navrátil, J.; Starý, Z. Lattice point defects and free-carrier concentration in Bi2+xTe3 and Bi2+xSe3 crystals. J. Phys. Chem. Solids 1992, 53, 1067–1072. [Google Scholar] [CrossRef]
- Lee, C.H.; Yi, G.C.; Zuev, Y.M.; Kim, P. Thermoelectric power measurements of wide band gap semiconducting nanowires. Appl. Phys. Lett. 2009, 94, 1–4. [Google Scholar] [CrossRef]
- Wolpert, D.; Ampadu, P. Managing Temperature Effects in Nanoscale Adaptive Systems; Hardcover; Springer-Verlag: New York, NY, USA, 2012; Volume XXII, pp. 1–174. ISBN 978-1-4614-0747-8. [Google Scholar]
- Le, P.H.; Liao, C.N.; Luo, C.W.; Lin, J.Y.; Leu, J. Thermoelectric properties of bismuth-selenide films with controlled morphology and texture grown using pulsed laser deposition. Appl. Surf. Sci. 2013, 285, 657–663. [Google Scholar] [CrossRef]
- Sze, S.M.; Ng, K.K. Physics of Semiconductor Devices, 3rd ed.; Wiley: Danvers, MA, USA, 2007; ISBN 978-0-471-14323-9. [Google Scholar]
- Lu, L.; Yi, W.; Zhang, D.L. 3 Ω method for specific heat and thermal conductivity measurements. Rev. Sci. Instrum. 2001, 72, 2996–3003. [Google Scholar] [CrossRef]
- Dedi; Primadona, I.; Lee, P.C.; Chien, C.H.; Chen, Y.Y. Structural and Thermoelectric Properties Characterization of Individual Single-Crystalline Nanowire. In Impact of Thermal Conductivity on Energy Technologies; Shahzad, A., Ed.; IntechOpen: London, UK, 2018; pp. 149–166. ISBN 978-1-78923-673-6. [Google Scholar]
- Li, G.; Liang, D.; Qiu, R.L.J.; Gao, X.P.A. Thermal conductivity measurement of individual Bi2Se3 nano-ribbon by self-heating three-ω method. Appl. Phys. Lett. 2013, 102, 043104. [Google Scholar] [CrossRef]
- Callaway, J. Model for lattice thermal conductivity at low temperatures. Phys. Rev. 1959, 113, 1046–1051. [Google Scholar] [CrossRef]
- Zhou, J.; Jin, C.; Seol, J.H.; Li, X.; Shi, L. Thermoelectric properties of individual electrodeposited bismuth telluride nanowires. Appl. Phys. Lett. 2005, 87, 133109. [Google Scholar] [CrossRef]
- Li, D.; Wu, Y.; Kim, P.; Shi, L.; Yang, P.; Majumdar, A. Thermal conductivity of individual silicon nanowires. Appl. Phys. Lett. 2003, 83, 2934–2936. [Google Scholar] [CrossRef]






| Sample * | S [µV K−1] | Σ [S m−1] | PF [10−5 W m−1K−2] | κ W m−1K−1 | ZT | Ref. |
|---|---|---|---|---|---|---|
| Bi2Se3 | −53 | 38678 | 10.70 | 0.78 | 0.04 | [26] |
| Bi2Se3 | −115 | 212 | 2.80 | 0.75 | 0.01 | [28] |
| Bi2Se2.83 | −60 | 25000 | 9 | 0.55 | 0.05 | [29] |
| Bi2Se3 Nanowire SC (φ = 200 nm) | −51 | 150767 | 39.32 | 2.05 | 0.06 | Our Work |
| Bi2Se3 Bulk SC | −62.10 | 259998 | 100 | 1.55 | 0.19 | Our Work |
| Bi2Se3 Bulk SC | −190 | 47619 | 172 | 2.96 | 0.17 | [39] |
| Bi2Se3 Bulk SC | −59 | 275500 | 95.90 | 3.1 | 0.09 | [41] |
Publisher’s Note: MDPI stays neutral with regard to jurisdictional claims in published maps and institutional affiliations. |
© 2021 by the authors. Licensee MDPI, Basel, Switzerland. This article is an open access article distributed under the terms and conditions of the Creative Commons Attribution (CC BY) license (http://creativecommons.org/licenses/by/4.0/).
Share and Cite
Dedi; Lee, P.-C.; Wei, P.-C.; Chen, Y.-Y. Thermoelectric Characteristics of A Single-Crystalline Topological Insulator Bi2Se3 Nanowire. Nanomaterials 2021, 11, 819. https://doi.org/10.3390/nano11030819
Dedi, Lee P-C, Wei P-C, Chen Y-Y. Thermoelectric Characteristics of A Single-Crystalline Topological Insulator Bi2Se3 Nanowire. Nanomaterials. 2021; 11(3):819. https://doi.org/10.3390/nano11030819
Chicago/Turabian StyleDedi, Ping-Chung Lee, Pai-Chun Wei, and Yang-Yuan Chen. 2021. "Thermoelectric Characteristics of A Single-Crystalline Topological Insulator Bi2Se3 Nanowire" Nanomaterials 11, no. 3: 819. https://doi.org/10.3390/nano11030819
APA StyleDedi, Lee, P.-C., Wei, P.-C., & Chen, Y.-Y. (2021). Thermoelectric Characteristics of A Single-Crystalline Topological Insulator Bi2Se3 Nanowire. Nanomaterials, 11(3), 819. https://doi.org/10.3390/nano11030819

