Anisotropy of the In-Plane and Out-of-Plane Resistivity and the Hall Effect in the Normal State of Vicinal-Grown YBa2Cu3O7−δ Thin Films
Abstract
1. Introduction
2. Materials and Methods
2.1. Sample Preparation
2.2. Transport Measurements
2.3. Calculation of the Anisotropic Transport Properties
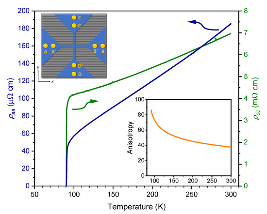
2.3.1. Evaluation of Diagonal Resistivity Tensor Elements
2.3.2. Evaluation of Off-Diagonal (Hall) Tensor Elements
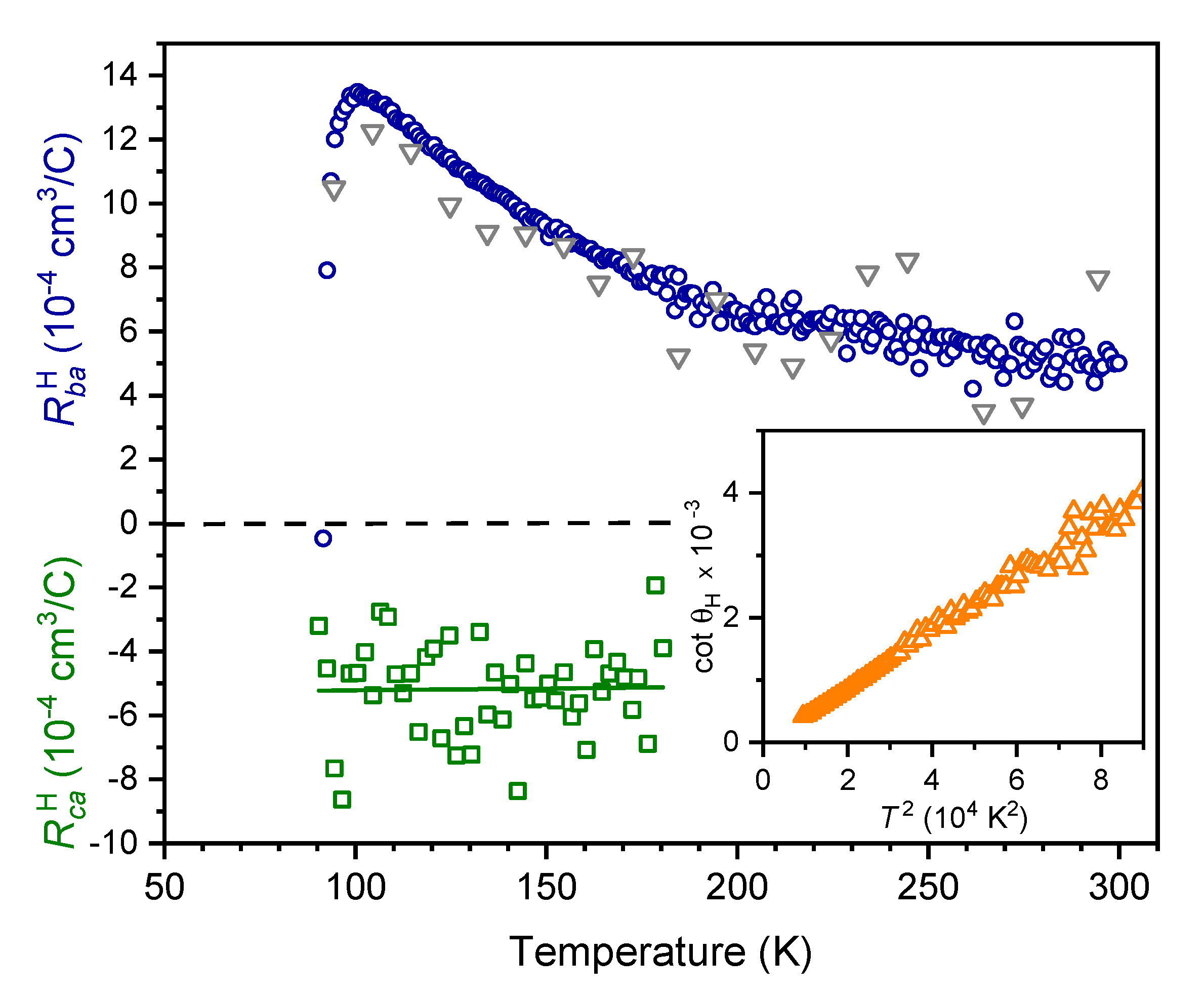
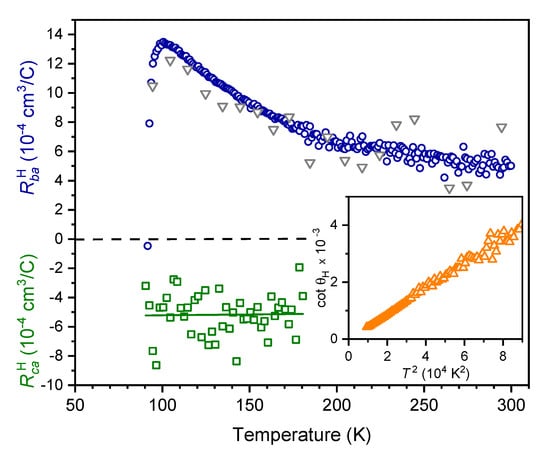
3. Results and Discussion
4. Conclusions
Author Contributions
Funding
Data Availability Statement
Conflicts of Interest
References
- Tozer, S.W.; Penney, T.; Kaiser, D.; Holtzberg, F. Measurement of Anisotropic Resistivity and Hall Constant for Single-Crystal YBa2Cu3O7−x. Phys. Rev. Lett. 1987, 59, 1768–1771. [Google Scholar] [CrossRef]
- Harris, J.M.; Yan, Y.F.; Ong, N.P. Experimental Test of the T2 Law for the Hall Angle from Tc to 500 K in Oxygen-Reduced YBa2Cu3O6+x Crystals. Phys. Rev. B 1992, 46, 14293–14296. [Google Scholar] [CrossRef] [PubMed]
- Montgomery, H.C. Method for Measuring Electrical Resistivity of Anisotropic Materials. J. Appl. Phys. 1971, 42, 2971–2975. [Google Scholar] [CrossRef]
- Lengfellner, H.; Kremb, G.; Schnellbögl, A.; Betz, J.; Renk, K.F.; Prettl, W. Giant Voltages Upon Surface Heating in Normal YBa2Cu3O7−δ Films Suggesting an Atomic Layer Thermopile. Appl. Phys. Lett. 1992, 60, 501–503. [Google Scholar] [CrossRef]
- Lengfellner, H.; Zeuner, S.; Prettl, W.; Renk, K.F. Thermoelectric Effect in Normal-State YBa2Cu3O7−δ Films. Europhys. Lett. 1994, 25, 375–378. [Google Scholar] [CrossRef]
- Haage, T.; Zegenhagen, J.; Li, J.Q.; Habermeier, H.U.; Cardona, M.; Warthmann, J.R.; Forkl, A.; Kronmüller, H. Transport properties and flux pinning by self-organization in YBa2Cu3O7−δ films on vicinal SrTiO3 (001). Phys. Rev. B 1997, 56, 8404–8418. [Google Scholar] [CrossRef]
- Méchin, L.; Berghuis, P.; Evetts, J.E. Properties of YBa2Cu3O7−δ thin films grown on vicinal SrTiO3 (001) substrates. Phys. C 1998, 302, 102–112. [Google Scholar] [CrossRef]
- Maurice, J.L.; Briático, J.; Crété, D.G.; Contour, J.P.; Durand, O. Effects of surface miscuts on the epitaxy of YBa2Cu3O7−δ and NdBa2Cu3O7−γ on SrTiO3 (001). Phys. Rev. B 2003, 68, 115429. [Google Scholar] [CrossRef]
- Pedarnig, J.D.; Rössler, R.; Delamare, M.P.; Lang, W.; Bäuerle, D.; Köhler, A.; Zandbergen, H.W. Electrical properties, texture, and microstructure of vicinal YBa2Cu3O7−δ thin films. Appl. Phys. Lett. 2002, 81, 2587–2589. [Google Scholar] [CrossRef]
- Jooss, C.; Warthmann, R.; Kronmüller, H.; Haage, T.; Habermeier, H.U.; Zegenhagen, J. Vortex pinning due to strong quasiparticle scattering at antiphase boundaries in YBa2Cu3O7−δ. Phys. Rev. Lett. 1999, 82, 632–635. [Google Scholar] [CrossRef]
- Emergo, R.L.S.; Wu, J.Z.; Aytug, T.; Christen, D.K. Thickness dependence of superconducting critical current density in vicinal YBa2Cu3O7−δ thick films. Appl. Phys. Lett. 2004, 85, 618–620. [Google Scholar] [CrossRef]
- Durrell, J.H.; Burnell, G.; Tsaneva, V.N.; Barber, Z.H.; Blamire, M.G.; Evetts, J.E. Critical currents in vicinal YBa2Cu3O7−δ films. Phys. Rev. B 2004, 70, 214508. [Google Scholar] [CrossRef]
- Berghuis, P.; Di Bartolomeo, E.; Wagner, G.A.; Evetts, J.E. Intrinsic channeling of vortices along the ab plane in vicinal YBa2Cu3O7−δ films. Phys. Rev. Lett. 1997, 79, 2332–2335. [Google Scholar] [CrossRef]
- Markowitsch, W.; Stockinger, C.; Lang, W.; Bierleutgeb, K.; Pedarnig, J.D.; Bäuerle, D. Photoinduced enhancement of the c-axis conductivity in oxygen-deficient YBa2Cu3O7−δ thin films. Appl. Phys. Lett. 1997, 71, 1246–1248. [Google Scholar] [CrossRef]
- Lang, W.; Richter, H.; Marksteiner, M.; Siraj, K.; Bodea, M.A.; Pedarnig, J.D.; Grigoropoulos, C.; Bäuerle, D.; Hasenfuss, C.; Palmetshofer, L.; et al. Masked ion beam irradiation of high-temperature superconductors: Patterning of nano-size regions with high point-defect density. Int. J. Nanotechnol. 2009, 6, 704–714. [Google Scholar] [CrossRef]
- Heine, G.; Lang, W.; Rössler, R.; Pedarnig, J.D.; Bäuerle, D. Sign change of the out-of-plane magnetoresistance in oxygen-deficient YBCO. J. Low Temp. Phys. 1999, 117, 1265–1269. [Google Scholar] [CrossRef]
- Li, S.; Ritzer, A.; Arenholz, E.; Bäuerle, D.; Huber, W.; Lengfellner, H.; Prettl, W. Step-like growth of Bi2Sr2CaCu2O8 films on off-axis oriented (001) SrTiO3. Appl. Phys. A 1996, 63, 427–429. [Google Scholar] [CrossRef]
- Yun, S.H.; Pedarnig, J.D.; Rössler, R.; Bäuerle, D.; Obradors, X. In-plane and out-of-plane resistivities of vicinal Hg-1212 thin films. Appl. Phys. Lett. 2000, 77, 1369–1371. [Google Scholar] [CrossRef]
- Bryja, H.; Hühne, R.; Iida, K.; Molatta, S.; Sala, A.; Putti, M.; Schultz, L.; Nielsch, K.; Hänisch, J. Deposition and properties of Fe(Se,Te) thin films on vicinal CaF2 substrates. Supercond. Sci. Technol. 2017, 30, 115008. [Google Scholar] [CrossRef]
- Iida, K.; Matsumoto, T.; Kondo, K.; Hatano, T.; Ikuta, H. Anisotropy of the transport properties of NdFeAs(O,F) thin films grown on vicinal substrates. Supercond. Sci. Technol. 2020, 33, 044016. [Google Scholar] [CrossRef]
- Heine, G.; Lang, W. Magnetoresistance of the new ceramic ‘Cernox’ thermometer from 4.2 K to 300 K in magnetic fields up to 13 T. Cryogenics 1998, 38, 377–379. [Google Scholar] [CrossRef]
- Onsager, L. Reciprocal relations in irreversible processes. II. Phys. Rev. 1931, 38, 2265–2279. [Google Scholar] [CrossRef]
- Tachiki, M.; Takahashi, S. Strong Vortex Pinning Intrinsic in High-Tc Oxide Superconductors. Solid State Commun. 1989, 70, 291–295. [Google Scholar] [CrossRef]
- Feinberg, D.; Villard, C. Intrinsic Pinning and Lock-in Transition of Flux Lines in Layered Type-II Superconductors. Phys. Rev. Lett. 1990, 65, 919–922. [Google Scholar] [CrossRef] [PubMed]
- Lang, W.; Heine, G.; Schwab, P.; Wang, X.Z.; Bäuerle, D. Paraconductivity and Excess Hall Effect in Epitaxial YBa2Cu3O7 Films Induced by Superconducting Fluctuations. Phys. Rev. B 1994, 49, 4209–4217. [Google Scholar] [CrossRef]
- Ito, T.; Takagi, H.; Ishibashi, S.; Ido, T.; Uchida, S. Normal-State Conductivity Between CuO2 Planes in Copper Oxide Superconductors. Nature 1991, 350, 596–598. [Google Scholar] [CrossRef]
- Heine, G.; Lang, W.; Wang, X.L.; Dou, S.X. Positive in-plane and negative out-of-plane magnetoresistance in the overdoped high-temperature superconductor Bi2Sr2CaCu2O8+x. Phys. Rev. B 1999, 59, 11179–11182. [Google Scholar] [CrossRef]
- Winzer, K.; Kumm, G. Fluctuation-Enhanced Conductivity and Magnetoconductivity of High-Quality YBa2Cu3O7−δ Crystals. Z. Phys. B 1991, 82, 317–321. [Google Scholar] [CrossRef]
- Rice, J.; Giapintzakis, J.; Ginsberg, D.; Mochel, J. Hall Effect Above Tc in Untwinned Single-Crystal YBa2Cu3O7−x: Normal-State Behavior and Superconducting Fluctuations. Phys. Rev. B 1991, 44, 10158–10166. [Google Scholar] [CrossRef]
- Chien, T.R.; Wang, Z.Z.; Ong, N.P. Effect of Zn Impurities on the Normal-State Hall Angle in Single-Crystal YBa2Cu3−xZnxO7−δ. Phys. Rev. Lett. 1991, 67, 2088–2091. [Google Scholar] [CrossRef] [PubMed]
- Wang, X.Z.; Hellebrand, B.; Bäuerle, D.; Strecker, M.; Wortmann, G.; Lang, W. Oxygen ordering and superconductivity in GdBaSrCu3O7−x. Physica C 1995, 242, 55–62. [Google Scholar] [CrossRef]
- Lang, W.; Pedarnig, J.D. Ion Irradiation of High-Temperature Superconductors and Its Application for Nanopatterning. In Nanoscience and Engineering in Superconductivity; Moshchalkov, V.V., Wördenweber, R., Lang, W., Eds.; Springer: Berlin/Heidelberg, Germany, 2010; pp. 81–104. [Google Scholar] [CrossRef]
- Holm, W.; Andersson, M.; Rapp, Ö.; Kulikov, M.A.; Makarenko, I.N. Anisotropic Fluctuation Magnetoconductivity in a YBa2Cu3O7−δ Single Crystal Above Tc. Phys. Rev. B 1993, 48, 4227–4230. [Google Scholar] [CrossRef] [PubMed]
- Penney, T.; von Mólnar, S.; Kaiser, D.; Holtzberg, F.; Kleinsasser, A.W. Strongly Anisotropic Electrical Properties of Single-Crystal YBa2Cu3O7−x. Phys. Rev. B 1988, 38, 2918. [Google Scholar] [CrossRef]
- Anderson, P.W. Hall effect in the two-dimensional Luttinger liquid. Phys. Rev. Lett. 1991, 67, 2092–2094. [Google Scholar] [CrossRef] [PubMed]
- Eltsev, Y.; Rapp, Ö. Out-of-plane Hall effect in YBa2Cu3O7−δ: Vortex-glass behavior and scaling of c-axis and Hall resistivities. Phys. Rev. B 1998, 57, R3237–R3240. [Google Scholar] [CrossRef]




Publisher’s Note: MDPI stays neutral with regard to jurisdictional claims in published maps and institutional affiliations. |
© 2021 by the authors. Licensee MDPI, Basel, Switzerland. This article is an open access article distributed under the terms and conditions of the Creative Commons Attribution (CC BY) license (http://creativecommons.org/licenses/by/4.0/).
Share and Cite
Heine, G.; Lang, W.; Rössler, R.; Pedarnig, J.D. Anisotropy of the In-Plane and Out-of-Plane Resistivity and the Hall Effect in the Normal State of Vicinal-Grown YBa2Cu3O7−δ Thin Films. Nanomaterials 2021, 11, 675. https://doi.org/10.3390/nano11030675
Heine G, Lang W, Rössler R, Pedarnig JD. Anisotropy of the In-Plane and Out-of-Plane Resistivity and the Hall Effect in the Normal State of Vicinal-Grown YBa2Cu3O7−δ Thin Films. Nanomaterials. 2021; 11(3):675. https://doi.org/10.3390/nano11030675
Chicago/Turabian StyleHeine, Gernot, Wolfgang Lang, Roman Rössler, and Johannes D. Pedarnig. 2021. "Anisotropy of the In-Plane and Out-of-Plane Resistivity and the Hall Effect in the Normal State of Vicinal-Grown YBa2Cu3O7−δ Thin Films" Nanomaterials 11, no. 3: 675. https://doi.org/10.3390/nano11030675
APA StyleHeine, G., Lang, W., Rössler, R., & Pedarnig, J. D. (2021). Anisotropy of the In-Plane and Out-of-Plane Resistivity and the Hall Effect in the Normal State of Vicinal-Grown YBa2Cu3O7−δ Thin Films. Nanomaterials, 11(3), 675. https://doi.org/10.3390/nano11030675

