Heteroaggregates of Polystyrene Nanospheres and Organic Matter: Preparation, Characterization and Evaluation of Their Toxicity to Algae in Environmentally Relevant Conditions
Abstract
1. Introduction
2. Materials and Methods
2.1. Material
2.2. Preparation of Heteroaggregates and Homoaggregates
2.3. Size and zeta Potential Measurements
2.4. Organisms and Cultures
2.5. Growth Assays
2.6. Photosynthetic activity assays
2.7. Statistical Analyses for Biological Assays
3. Results
3.1. Model Heteroaggregate Preparation and Characterization
3.2. Stability in situ of the Model Nanospheres and Heteroaggregates
3.3. Effect of Nanoplastics at Environmental Concentrations
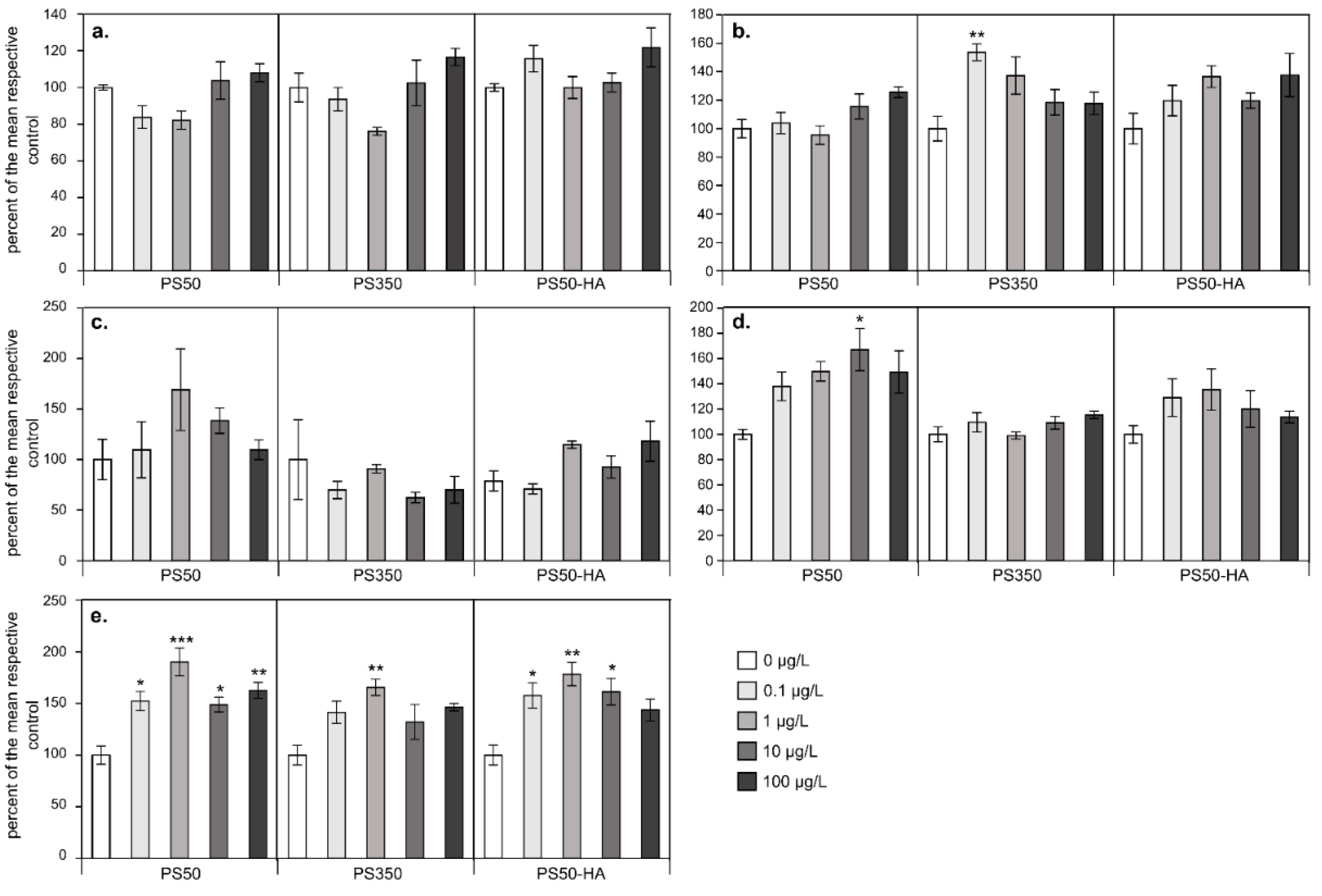
3.3.1. Effects of Nanoplastics on Algal Growth
3.3.2. Effects of Nanoplastics on Algal Photosynthesis
4. Discussion
- (i)
- PS50 acts as a well-dispersed nanoplastic. It would be very unlikely to find PS50 alone dispersed in natural media, as it would rapidly heteroaggregate with other species to form larger and more stable colloids.
- (ii)
- PS50-HA hetero-association was controlled in the laboratory in order to present a polydisperse nanoscale size distribution, an aqueous stability and a heterogeneous composition, which are the principal parameters to define a representative model of nanoplastics in environmental media.
- (iii)
- PS350 has an average size distribution that corresponds to those of nanoplastics characterized in the environment [11], but is made with plastic only. By comparison with PS50-HA, it gives the opportunity to investigate the possible effects of particles with different compositions at constant size.
5. Conclusions
Supplementary Materials
Author Contributions
Funding
Institutional Review Board Statement
Informed Consent Statement
Data Availability Statement
Conflicts of Interest
References
- Eerkes-Medrano, D.; Thompson, R.C. Microplastics in freshwater systems: A review of the emerging threats, identification of knowledge gaps and prioritisation of research needs. Water Res. 2015, 75, 63–82. [Google Scholar] [CrossRef] [PubMed]
- Free, C.M.; Jensen, O.P.; Mason, S.A.; Eriksen, M.; Williamson, N.J.; Boldgiv, B. High-levels of microplastic pollution in a large, remote, mountain lake. Mar. Pollut. Bull. 2014, 85, 156–163. [Google Scholar] [CrossRef] [PubMed]
- Gasperi, J.; Dris, R.; Bonin, T.; Rocher, V.; Tassin, B. Assessment of floating plastic debris in surface water along the Seine River. Environ. Pollut. 2014, 195, 163–166. [Google Scholar] [CrossRef]
- Mani, T.; Hauk, A.; Walter, U.; Burkhardt-Holm, P. Microplastics profile along the Rhine River. Sci. Rep. 2015, 5. [Google Scholar] [CrossRef] [PubMed]
- Sadri, S.S.; Thompson, R.C. On the quantity and composition of floating plastic debris entering and leaving the Tamar Estuary, Southwest England. Mar. Pollut. Bull. 2014, 81, 55–60. [Google Scholar] [CrossRef] [PubMed]
- Lebreton, L.C.M.; van der Zwet, J.; Damsteeg, J.-W.; Slat, B.; Andrady, A.; Reisser, J. River plastic emissions to the world’s oceans. Nat. Commun. 2017, 8. [Google Scholar] [CrossRef] [PubMed]
- Thompson, R.C. Lost at Sea: Where Is All the Plastic? Science 2004, 304, 838. [Google Scholar] [CrossRef]
- Gigault, J.; Pedrono, B.; Maxit, B.; Halle, A.T. Marine plastic litter: The unanalyzed nano-fraction. Environ. Sci. Nano 2016, 3, 346–350. [Google Scholar] [CrossRef]
- Lambert, S.; Wagner, M. Characterisation of nanoplastics during the degradation of polystyrene. Chemosphere 2016, 145, 265–268. [Google Scholar] [CrossRef]
- Lambert, S.; Wagner, M. Formation of microscopic particles during the degradation of different polymers. Chemosphere 2016, 161, 510–517. [Google Scholar] [CrossRef]
- Gigault, J.; Halle, A.t.; Baudrimont, M.; Pascal, P.; Gauffre, F.; Phi, T.; Hadri, H.; Grassl, B.; Reynaud, S. Current opinion: What is a nanoplastic? Environ. Pollut. 2018, 235, 1030–1034. [Google Scholar] [CrossRef] [PubMed]
- Halle, A.T.; Ladirat, L.; Martignac, M.; Mingotaud, A.F.; Boyron, O.; Perez, E. To what extent are microplastics from the open ocean weathered? Environ. Pollut. 2017, 227, 167–174. [Google Scholar] [CrossRef] [PubMed]
- Wahl, A.; Juge, C.L.; Davranche, M.; Hadri, H.E.; Grassl, B.; Reynaud, S.; Gigault, J. Nanoplastic occurrence in a soil amended with plastic debris. Chemosphere 2021, 262, 127784. [Google Scholar] [CrossRef] [PubMed]
- Da Costa, J.P.; Santos, P.S.M.; Duarte, A.C.; Rocha-Santos, T. (Nano)plastics in the environment—Sources, fates and effects. Sci. Total Environ. 2016, 15–26. [Google Scholar] [CrossRef] [PubMed]
- Koelmans, A.A.; Besseling, E.; Shim, W.J. Marine Anthropogenic Litter; Springer International Publishing: Berlin/Heidelberg, Germany, 2015. [Google Scholar]
- Heinlaan, M.; Kasemets, K.; Aruoja, V.; Blinova, I.; Bondarenko, O.; Lukjanova, A.; Khosrovyan, A.; Kurvet, I.; Pullerits, M.; Sihtmäe, M.; et al. Hazard evaluation of polystyrene nanoplastic with nine bioassays did not show particle-specific acute toxicity. Sci. Total Environ. 2020, 707, 136073. [Google Scholar] [CrossRef] [PubMed]
- Liu, G.; Jiang, R.; You, J.; Muir, D.C.G.; Zeng, E.Y. Microplastic Impacts on Microalgae Growth: Effects of Size and Humic Acid. Environ. Sci. Technol. 2020, 54, 1782–1789. [Google Scholar] [CrossRef] [PubMed]
- Zettler, E.R.; Mincer, T.J.; Amaral-Zettler, L.A. Life in the “Plastisphere”: Microbial Communities on Plastic Marine Debris. Environ. Sci. Technol. 2013, 47, 7137–7146. [Google Scholar] [CrossRef]
- Bergami, E.; Pugnalini, S.; Vannuccini, M.L.; Manfra, L.; Faleri, C.; Savorelli, F.; Dawson, K.A.; Corsi, I. Long-term toxicity of surface-charged polystyrene nanoplastics to marine planktonic species Dunaliella tertiolecta and Artemia franciscana. Aquat. Toxicol. 2017, 189, 159–169. [Google Scholar] [CrossRef]
- Chen, Q.; Gundlach, M.; Yang, S.; Jiang, J.; Velki, M.; Yin, D.; Hollert, H. Quantitative investigation of the mechanisms of microplastics and nanoplastics toward zebrafish larvae locomotor activity. Sci. Total Environ. 2017, 584–585. [Google Scholar] [CrossRef] [PubMed]
- Rist, S.; Baun, A.; Hartmann, N.B. Ingestion of micro- and nanoplastics in Daphnia magna—Quantification of body burdens and assessment of feeding rates and reproduction. Environ. Pollut. 2017, 228, 398–407. [Google Scholar] [CrossRef] [PubMed]
- Wegner, A.; Besseling, E.; Foekema, E.M.; Kamermans, P.; Koelmans, A.A. Effects of nanopolystyrene on the feeding behavior of the blue mussel (Mytilus edulis L.). Environ. Toxicol. Chem. 2012, 31, 2490–2497. [Google Scholar] [CrossRef]
- Saavedra, J.; Stoll, S.; Slaveykova, V.I. Influence of nanoplastic surface charge on eco-corona formation, aggregation and toxicity to freshwater zooplankton. Environ. Pollut. 2019, 252, 715–722. [Google Scholar] [CrossRef]
- Oriekhova, O.; Stoll, S. Heteroaggregation of nanoplastic particles in the presence of inorganic colloids and natural organic matter. Environ. Sci. Nano 2018, 5, 792–799. [Google Scholar] [CrossRef]
- Wu, J.; Jiang, R.; Lin, W.; Ouyang, G. Effect of salinity and humic acid on the aggregation and toxicity of polystyrene nanoplastics with different functional groups and charges. Environ. Pollut. 2019, 245, 836–843. [Google Scholar] [CrossRef] [PubMed]
- Liu, Y.; Wang, Z.; Wang, S.; Fang, H.; Ye, N.; Wang, D. Ecotoxicological effects on Scenedesmus obliquus and Danio rerio Co-exposed to polystyrene nano-plastic particles and natural acidic organic polymer. Environ. Toxicol. Pharmacol. 2019, 67, 21–28. [Google Scholar] [CrossRef] [PubMed]
- Galloway, T.S.; Cole, M.; Lewis, C. Interactions of microplastic debris throughout the marine ecosystem. Nat. Ecol. Evol. 2017, 1. [Google Scholar] [CrossRef] [PubMed]
- Sullivan, G.L.; Gallardo, J.D.; Jones, E.W.; Hollliman, P.J.; Watson, T.M.; Sarp, S. Detection of trace sub-micron (nano) plastics in water samples using pyrolysis-gas chromatography time of flight mass spectrometry (PY-GCToF). Chemosphere 2020, 249, 126179. [Google Scholar] [CrossRef]
- Rosi-Marshall, E.J.; Wallace, J.B. Invertebrate food webs along a stream resource gradient. Freshw. Biol. 2002, 47, 129–141. [Google Scholar] [CrossRef]
- Lawrence, J.R.; Kopf, G.; Headley, J.V.; Neu, T.R. Sorption and metabolism of selected herbicides in river biofilm communities. Can. J. Microbiol. 2011. [Google Scholar] [CrossRef] [PubMed]
- Vercraene-Eairmal, M.; Lauga, B.; Laurent, S.S.; Mazzella, N.; Boutry, S.; Simon, M.; Karama, S.; Delmas, F.; Duran, R. Diuron biotransformation and its effects on biofilm bacterial community structure. Chemosphere 2010, 81, 837–843. [Google Scholar] [CrossRef]
- Coutaud, M.; Méheut, M.; Glatzel, P.; Pokrovski, G.S.; Viers, J.; Rols, J.-L.; Pokrovsky, O.S. Small changes in Cu redox state and speciation generate large isotope fractionation during adsorption and incorporation of Cu by a phototrophic biofilm. Geochim. Cosmochim. Acta 2018, 220, 1–18. [Google Scholar] [CrossRef]
- Meylan, S.; Behra, R.; Sigg, L. Accumulation of Copper and Zinc in Periphyton in Response to Dynamic Variations of Metal Speciation in Freshwater. Environ. Sci. Technol. 2003, 37, 5204–5212. [Google Scholar] [CrossRef] [PubMed]
- Kilham, S.S.; Kreeger, D.A.; Lynn, S.G.; Goulden, C.E.; Herrera, L. COMBO: A defined freshwater culture medium for algae and zooplankton. Hydrobiologia 1998, 377, 147–159. [Google Scholar] [CrossRef]
- Stanier, R.Y.; Kunisawa, R.; Mandel, M.; Cohen-Bazire, G. Purification and properties of unicellular blue-green algae (order Chroococcales). Bacteriol. Rev. 1971, 35, 171–205. [Google Scholar] [CrossRef] [PubMed]
- Baker, N.R. Chlorophyll Fluorescence: A Probe of Photosynthesis In Vivo. Annu. Rev. Plant Biol. 2008, 59, 89–113. [Google Scholar] [CrossRef]
- Barthès, A.; Ten-Hage, L.; Lamy, A.; Rols, J.-L.; Leflaive, J. Resilience of Aggregated Microbial Communities Subjected to Drought—Small-Scale Studies. Microb. Ecol. 2015, 70, 9–20. [Google Scholar] [CrossRef] [PubMed]
- Roháček, K.; Barták, M. Technique of the Modulated Chlorophyll Fluorescence: Basic Concepts, Useful Parameters, and Some Applications. Photosynthetica 1999, 37, 339. [Google Scholar] [CrossRef]
- Ivanov, S.; Tyrtyshnikov, A.; Lebedev, I. NMenshutina, Comparison of DLA and RLA Silica-Based Aerogel Structure Modelling Methods. In Computer Aided Chemical Engineering; Espuña, A., Graells, M., Puigjaner, E.L., Eds.; Elsevier: Amsterdam, The Netherlands, 2017; Volume 40, pp. 271–276. [Google Scholar]
- Lin, M.Y.; Lindsay, H.M.; Weitz, D.A.; Ball, R.C.; Klein, R.; Meakin, P. Universality in colloid aggregation. Nature 1989, 339, 6223. [Google Scholar] [CrossRef]
- Lin, M.Y.; Lindsay, H.M.; Weitz, D.A.; Ball, R.C.; Klein, R.; Meakin, P. Universal reaction-limited colloid aggregation. Phys. Rev. A 1990, 41, 2005–2020. [Google Scholar] [CrossRef]
- Dorigo, U.; Leboulanger, C. A pulse-amplitude modulated fluorescence-based method for assessing the effects of photosystem II herbicides on freshwater periphyton. J. Appl. Phycol. 2001, 13, 509–515. [Google Scholar] [CrossRef]
- Sjollema, S.B.; Redondo-Hasselerharm, P.; Leslie, H.A.; Kraak, M.H.S.; Vethaak, A.D. Do plastic particles affect microalgal photosynthesis and growth? Aquat. Toxicol. 2016, 170, 259–261. [Google Scholar] [CrossRef]
- Bhattacharya, P.; Lin, S.; Turner, J.P.; Ke, P.C. Physical Adsorption of Charged Plastic Nanoparticles Affects Algal Photosynthesis. J. Phys. Chem. C 2010, 114, 16556–16561. [Google Scholar] [CrossRef]
- Verneuil, L.; Silvestre, J.; Mouchet, F.; Flahaut, E.; Boutonnet, J.C.; Bourdiol, F.; Bortolamiol, T.; Baqué, D.; Gauthier, L.; Pinelli, E. Multi-walled carbon nanotubes, natural organic matter, and the benthic diatom Nitzschia palea: “A sticky story”. Nanotoxicology 2015, 9, 219–229. [Google Scholar] [CrossRef] [PubMed]
- Canniff, P.M.; Hoang, T.C. Microplastic ingestion by Daphnia magna and its enhancement on algal growth. Sci. Total Environ. 2018, 633, 500–507. [Google Scholar] [CrossRef] [PubMed]
- Mao, Y.; Ai, H.; Chen, Y.; Zhang, Z.; Zeng, P.; Kang, L.; Li, W.; Gu, W.; He, Q.; Li, H. Phytoplankton response to polystyrene microplastics: Perspective from an entire growth period. Chemosphere 2018, 208, 59–68. [Google Scholar] [CrossRef]
- Pessoni, L.; Veclin, C.; Hadri, H.E.; Cugnet, C.; Reynaud, S. Soap- and metal-free polystyrene latex particles as a nanoplastic model. Environ. Sci. Nano 2019, 6, 2253–2258. [Google Scholar] [CrossRef]
- Venâncio, C.; Ferreira, I.; Martins, M.A.; Soares, A.M.V.M.; Lopes, I.; Oliveira, M. The effects of nanoplastics on marine plankton: A case study with polymethylmethacrylate. Ecotoxicol. Environ. Saf. 2019, 184, 109632. [Google Scholar] [CrossRef] [PubMed]
- Besseling, E.; Wang, B.; Lürling, M.; Koelmans, A.A. Nanoplastic affects growth of S. obliquus and reproduction of D. magna, Environ. Sci. Technol. 2014, 48, 12336–12343. [Google Scholar] [CrossRef] [PubMed]
- Yang, Y.; Guo, Y.; O’Brien, A.M.; Lins, T.F.; Rochman, C.M.; Sinton, D. Biological Responses to Climate Change and Nanoplastics Are Altered in Concert: Full-Factor Screening Reveals Effects of Multiple Stressors on Primary Producers. Environ. Sci. Technol. 2020, 54, 2401–2410. [Google Scholar] [CrossRef]
- Casado-Gavalda, M.; Macken, A.; Byrne, H. Ecotoxicological Assessment of Silica and Polystyrene Nanoparticles Assessed by a Multitrophic Test Battery. Articles 2013. [Google Scholar] [CrossRef]
- Bellingeri, A.; Bergami, E.; Grassi, G.; Faleri, C.; Redondo-Hasselerharm, P.; Koelmans, A.A.; Corsi, I. Combined effects of nanoplastics and copper on the freshwater alga Raphidocelis subcapitata. Aquat. Toxicol. 2019, 210, 179–187. [Google Scholar] [CrossRef] [PubMed]
- Zhang, Q.; Qu, Q.; Lu, T.; Ke, M.; Zhu, Y.; Zhang, M.; Zhang, Z.; Du, B.; Pan, X.; Sun, L. The combined toxicity effect of nanoplastics and glyphosate on Microcystis aeruginosa growth. Environ. Pollut. 2018, 243, 1106–1112. [Google Scholar] [CrossRef]



| Size Type | Medium | Organism | pH | PS50 dzH (nm) | PS350 dzH (nm) | PS50-HA dzH (nm) |
|---|---|---|---|---|---|---|
| Size in water | MilliQ water | - | 7.00 | 45 ± 1 | 349 ± 3 | 300–500 * |
| Size in fresh media | COMBO | - | 7.88 | 49 ± 1 | 409 ± 14 | 383 ± 44 |
| Size in aged media | COMBO | G. parvulum | 8.24 | 54 ± 2 | 393 ± 5 | 499 ± 28 |
| Size in aged media | COMBO | N. palea | 9.03 | 56 ± 2 | 397 ± 5 | 537 ± 10 |
| Size in aged media | COMBO | S. obliquus | 9.13 | 362 ± 5 | 387 ± 1 | 384 ± 32 |
| Size in fresh media | BG11 | - | 7.68 | 48 ± 0 | 442 ± 6 | 479 ± 13 |
| Size in aged media | BG11 | Nostoc sp. | 8.37 | 51 ± 2 | 387 ± 6 | 363 ± 15 |
| Size in aged media | BG11 | Komvophoron sp. | 8.59 | 52 ± 2 | 391 ± 7 | 395 ± 23 |
| Nanoplastic | Organism | Reference | |||||
|---|---|---|---|---|---|---|---|
| Type | Size (nm) | Concentration (mg·L−1) | Name | Environment | Exposure | Effect | |
| PMMA | 40 | 0.09–304 | Tetraselmis chuii (green alga), Nannochloropsis gaditana (ochrophyte), Isochrysis galbana and Thalassiosira weissflogii (diatoms) | marine, plankton | 96 h | growth inhibition with EC50 between 83 and 132.5 mg·L−1 | Venancio et al., 2019 [49] |
| PS | 50; 500 | 25; 250 | Dunaliella tertiolecta (green alga) | marine, plankton | 72 h | no effect on photosynthesis growth inhibition (45 and 10% at 250 mg·L−1) | Sjollema et al., 2016 [43] |
| PS-COOH | 500 | 25; 250 | Dunaliella tertiolecta (green alga), Thalassiosira pseudonana (diatom), Chlorella vulgaris (green alga) | marine and freshwater, plankton | 72 h | no effect on photosynthetic activity | Sjollema et al., 2016 [43] |
| PS PS-NH2 + HA | 100; 500 | 5–250 | Scenedesmus obliquus (green alga) | freshwater, plankton | 24; 48 h | growth inhibition with EC50 7.5 and 61 mg·L−1 effects on photosynthetic activity at 250 mg·L−1 | Liu et al., 2020 [17] |
| PS | 70 | 44–1100 | Scenedesmus obliquus (green alga) | freshwater, plankton | 72 h | low growth inhibition at 1000 mg·L−1 (2.5%) small reduction in chlorophyll a concentration | Besseling et al., 2014 [50] |
| PS | 100 | 100–1000 | Scenedesmus obliquus (green alga | freshwater, plankton | 24; 72 h | low growth inhibition at 100 mg·L−1 (8%) | Yang et al., 2020 [51] |
| PS-NPL | 26; 102 | 0–100 | Raphidocelis subcapitata (green alga) | freshwater, plankton | 72 h | low growth inhibition (EC50 > 100 mg·L−1) | Heinlaan et al., 2020 [16] |
| PS-PEI | 55; 100 | 0.1–1 | Raphidocelis subcapitata (green alga) | freshwater, plankton | 72 h | growth inhibition (EC50 = 0.58 and 0.54 mg·L−1) | Casado et al. 2013 [52] |
| PS-COOH | 80–90 | 0.5–50 | Raphidocelis subcapitata (green alga) | freshwater, plankton | 72 h; 7 d | low growth inhibition (6% at 10 mg·L−1) morphological alterations (10 mg·L−1) | Bellingeri et al., 2019 [53] |
| PS-COOH | 110 | 1–100 | Raphidocelis subcapitata (green alga) | freshwater, plankton | 72 h | low growth inhibition (EC50 > 100 mg·L−1) | |
| PS | 100 | 10–100 | Chlorella pyrenoidosa (green alga) | freshwater, plankton | 30 d | growth inhibition (21% at 10 mg·L−1) only transitory (higher final cell density at 100 mg·L−1) transitory reduced photosynthetic activity | Mao et al. 2018 [47] |
| PS-NH2 | 200 | 1–15 | Microcystis aeruginosa (cyanobacteria) | freshwater, plankton | 96 h | low growth inhibition (11% at 10 mg·L−1) | Zhang et al., 2018 [54] |
| PS PS + HA | 50; 350 | 0.0001–1 | Scenedesmus obliquus (green alga), Nitzschia palea and Gomphonema parvulum (diatom), Nostoc sp. and Komvophoron sp. (cyanobacteria) | freshwater, biofilm and plankton | 96 h | positive effects on growth for S.o. and G.p. at 0.0001 mg·L−1 and at 0.01 for K. sp. low negative effects on photosynthetic activity (<9%) | This study |
Publisher’s Note: MDPI stays neutral with regard to jurisdictional claims in published maps and institutional affiliations. |
© 2021 by the authors. Licensee MDPI, Basel, Switzerland. This article is an open access article distributed under the terms and conditions of the Creative Commons Attribution (CC BY) license (http://creativecommons.org/licenses/by/4.0/).
Share and Cite
Rowenczyk, L.; Leflaive, J.; Clergeaud, F.; Minet, A.; Ferriol, J.; Gauthier, L.; Gigault, J.; Mouchet, F.; Ory, D.; Pinelli, E.; et al. Heteroaggregates of Polystyrene Nanospheres and Organic Matter: Preparation, Characterization and Evaluation of Their Toxicity to Algae in Environmentally Relevant Conditions. Nanomaterials 2021, 11, 482. https://doi.org/10.3390/nano11020482
Rowenczyk L, Leflaive J, Clergeaud F, Minet A, Ferriol J, Gauthier L, Gigault J, Mouchet F, Ory D, Pinelli E, et al. Heteroaggregates of Polystyrene Nanospheres and Organic Matter: Preparation, Characterization and Evaluation of Their Toxicity to Algae in Environmentally Relevant Conditions. Nanomaterials. 2021; 11(2):482. https://doi.org/10.3390/nano11020482
Chicago/Turabian StyleRowenczyk, Laura, Joséphine Leflaive, Fanny Clergeaud, Antoine Minet, Jessica Ferriol, Laury Gauthier, Julien Gigault, Florence Mouchet, David Ory, Eric Pinelli, and et al. 2021. "Heteroaggregates of Polystyrene Nanospheres and Organic Matter: Preparation, Characterization and Evaluation of Their Toxicity to Algae in Environmentally Relevant Conditions" Nanomaterials 11, no. 2: 482. https://doi.org/10.3390/nano11020482
APA StyleRowenczyk, L., Leflaive, J., Clergeaud, F., Minet, A., Ferriol, J., Gauthier, L., Gigault, J., Mouchet, F., Ory, D., Pinelli, E., Albignac, M., Roux, C., Mingotaud, A. F., Silvestre, J., Ten-Hage, L., & ter Halle, A. (2021). Heteroaggregates of Polystyrene Nanospheres and Organic Matter: Preparation, Characterization and Evaluation of Their Toxicity to Algae in Environmentally Relevant Conditions. Nanomaterials, 11(2), 482. https://doi.org/10.3390/nano11020482

