Assessing Surface Coverage of Aminophenyl Bonding Sites on Diazotised Glassy Carbon Electrodes for Optimised Electrochemical Biosensor Performance
Abstract
1. Introduction
2. Materials and Methods
2.1. Electrochemical Measurements
2.2. Characterisation Techniques
3. Results and Discussion
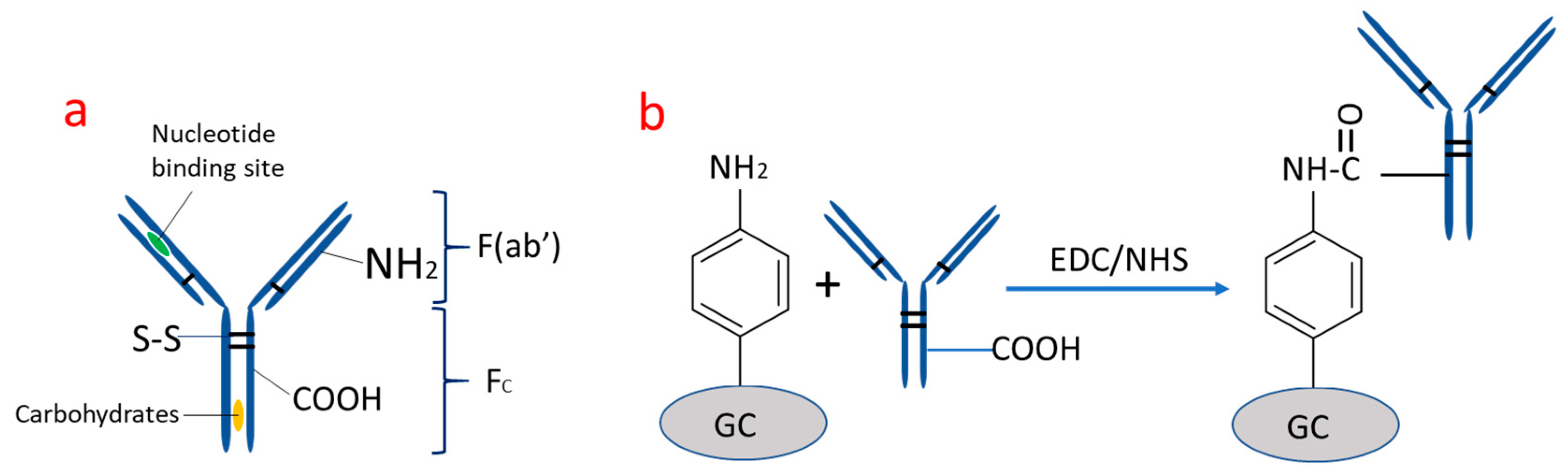
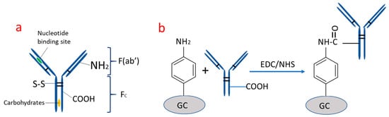
3.1. Surface Functionalisation of Glassy Carbon via Diazotisation
3.2. Electrochemical Reduction of 4-Nitrophenyl Layers on Glassy Carbon
3.3. Quantification of Surface Amine Groups
3.4. Electrochemical Sensing via Analysis of the Electrodes
3.5. Characterisation of Surface Morphology Electrode
4. Conclusions
Author Contributions
Funding
Data Availability Statement
Conflicts of Interest
References
- Asal, M.; Özen, Ö.; Şahinler, M.; Baysal, H.T.; Polatoğlu, İ. An overview of biomolecules, immobilization methods and support materials of biosensors. Sens. Rev. 2019, 39, 377–386. [Google Scholar] [CrossRef]
- Sonawane, M.D.; Nimse, S.B. Surface modification chemistries of materials used in diagnostic platforms with biomolecules. J. Chem. 2016, 2016, 1–20. [Google Scholar] [CrossRef]
- Booth, M.A.; Kannappan, K.; Hosseini, A.; Partridge, A. In-depth electrochemical investigation of surface attachment chemistry via carbodiimide coupling. Langmuir 2015, 31, 8033–8041. [Google Scholar] [CrossRef]
- Revenga-Parra, M.; Villa-Manso, M.A.; Briones, M.; Mateo-Martí, E.; Martínez-Periñán, E.; Lorenzo, E.; Pariente, F. Bioelectrocatalytic platforms based on chemically modified nanodiamonds by diazonium salt chemistry. Electrochim. Acta 2020, 357, 136876. [Google Scholar] [CrossRef]
- Pichereau, L.; López, I.; Cesbron, M.; Dabos-Seignon, S.; Gautier, C.; Breton, T. Controlled diazonium electrografting driven by overpotential reduction: A general strategy to prepare ultrathin layers. Chem. Commun. 2019, 55, 455–457. [Google Scholar] [CrossRef]
- Cesbron, M.; Dabos-Seignon, S.; Christelle, G.; Breton, T. Enhanced electrocatalytic activity on TEMPO mixed film grafted by diazonium reduction. Electrochim. Acta 2020, 345, 136190. [Google Scholar] [CrossRef]
- Delamar, M.; Hitmi, R.; Pinson, J.; Saveant, J.M. Covalent modification of carbon surfaces by grafting of functionalized aryl radicals produced from electrochemical reduction of diazonium salts. J. Am. Chem. Soc. 1992, 114, 5883–5884. [Google Scholar] [CrossRef]
- Downard, A.J. Electrochemically assisted covalent modification of carbon electrodes. Electroanalysis 2000, 12, 1085–1096. [Google Scholar] [CrossRef]
- Pinson, J.; Podvorica, F. Attachment of organic layers to conductive or semiconductive surfaces by reduction of diazonium salts. Chem. Soc. Rev. 2005, 34, 429–439. [Google Scholar] [CrossRef]
- McCreery, R.L. Advanced carbon electrode materials for molecular electrochemistry. Chem. Rev. 2008, 108, 2646–2687. [Google Scholar] [CrossRef]
- Picot, M.; Lapinsonnière, L.; Rothballer, M.; Barrière, F. Graphite anode surface modification with controlled reduction of specific aryl diazonium salts for improved microbial fuel cells power output. Biosens. Bioelectron. 2011, 28, 181–188. [Google Scholar] [CrossRef]
- Leroux, Y.R.; Hui, F.; Noël, J.-M.; Roux, C.; Downard, A.J.; Hapiot, P. Design of robust binary film onto carbon surface using diazonium electrochemistry. Langmuir 2011, 27, 11222–11228. [Google Scholar] [CrossRef]
- Hetemi, D.; Combellas, C.; Kanoufi, F.; Pinson, J.; Podvorica, F.I. Surface modification by electrochemical reduction of alkyldiazonium salts. Electrochem. Commun. 2016, 68, 5–9. [Google Scholar] [CrossRef]
- Zen, F.; Angione, M.D.; Behan, J.A.; Cullen, R.J.; Duff, T.; Vasconcelos, J.M.; Scanlan, E.M.; Colavita, P.E. Modulation of protein fouling and interfacial properties at carbon surfaces via immobilization of glycans using aryldiazonium chemistry. Sci. Rep. 2016, 6, 24840. [Google Scholar] [CrossRef]
- Guy, O.J.; Burwell, G.; Tehrani, Z.; Castaing, A.; Walker, K.A.; Doak, S.H. Graphene nano-biosensors for detection of cancer risk. Mater. Sci. Forum 2012, 711, 246–252. [Google Scholar] [CrossRef]
- Guy, O.J.; Castaing, A.; Tehrani, Z.; Doak, S.H. Fabrication of ultrasensitive graphene nanobiosensors. Proc. IEEE Sens. 2010, 711, 907–912. [Google Scholar] [CrossRef]
- Tehrani, Z.; Burwell, G.; Azmi, M.A.M.; Castaing, A.; Rickman, R.H.; Almarashi, J.; Dunstan, P.R.; Beigi, A.M.; Doak, S.H.; Guy, O.J. Generic epitaxial graphene biosensors for ultrasensitive detection of cancer risk biomarker. 2D Mater. 2014, 1, 025004. [Google Scholar] [CrossRef]
- Tehrani, Z.; Thomas, D.J.; Guy, O.J. Electrochemical biofunctionalization of highly oriented pyrolytic graphite for immunosensor applications. e-J. Surf. Sci. Nanotechnol. 2016, 14, 193–197. [Google Scholar] [CrossRef][Green Version]
- Gui, A.L.; Liu, G.; Chockalingam, M.; Le Saux, G.; Luais, E.; Harper, J.B.; Gooding, J.J. A Comparative study of electrochemical reduction of 4-nitrophenyl covalently grafted on gold and carbon. Electroanalysis 2010, 22, 1824–1830. [Google Scholar] [CrossRef]
- Mahmoud, A.M.; Bergren, A.J.; Pekas, N.; McCreery, R.L. Towards integrated molecular electronic devices: Characterization of molecular layer integrity during fabrication processes. Adv. Funct. Mater. 2011, 21, 2273–2281. [Google Scholar] [CrossRef]
- Lud, S.Q.; Steenackers, M.; Jordan, R.; Bruno, P.; Gruen, D.M.; Feulner, P.; Garrido, J.A.; Stutzmann, M. Chemical grafting of biphenyl self-assembled monolayers on ultrananocrystalline diamond. J. Am. Chem. Soc. 2006, 128, 16884–16891. [Google Scholar] [CrossRef]
- Bekyarova, E.; Itkis, M.E.; Ramesh, P.; Berger, C.; Sprinkle, M.; De Heer, W.A.; Haddon, R.C. Chemical modification of epitaxial graphene: Spontaneous grafting of aryl groups. J. Am. Chem. Soc. 2009, 131, 1336–1337. [Google Scholar] [CrossRef] [PubMed]
- Zhong, Y.L.; Midya, A.; Ng, Z.; Chen, Z.-K.; Daenen, M.; Nesládek, M.; Loh, K.P. Diamond-based molecular platform for photoelectrochemistry. J. Am. Chem. Soc. 2008, 130, 17218–17219. [Google Scholar] [CrossRef]
- Abrahamson, J.T.; Song, C.; Hu, J.H.; Forman, J.M.; Mahajan, S.G.; Nair, N.; Choi, W.; Lee, E.-J.; Strano, M.S. Synthesis and energy release of nitrobenzene-functionalized single-walled carbon nanotubes. Chem. Mater. 2011, 23, 4557–4562. [Google Scholar] [CrossRef]
- Atmane, Y.A.; Sicard, L.; Lamouri, A.; Pinson, J.; Sicard, M.; Masson, C.; Nowak, S.; DeCorse, P.; Piquemal, J.-Y.; Galtayries, A.; et al. Functionalization of aluminum nanoparticles using a combination of aryl diazonium salt chemistry and iniferter method. J. Phys. Chem. C 2013, 117, 26000–26006. [Google Scholar] [CrossRef]
- Nguyen, V.Q.; Ai, Y.; Martin, P.; Lacroix, J.-C. Plasmon-induced nanolocalized reduction of diazonium salts. ACS Omega 2017, 2, 1947–1955. [Google Scholar] [CrossRef] [PubMed]
- Ahmad, R.; Boubekeur-Lecaque, L.; Nguyen, M.; Lau-Truong, S.; Lamouri, A.; DeCorse, P.; Galtayries, A.; Pinson, J.; Felidj, N.; Mangeney, C. Tailoring the surface chemistry of gold nanorods through Au–C/Ag–C covalent bonds using aryl diazonium salts. J. Phys. Chem. C 2014, 118, 19098–19105. [Google Scholar] [CrossRef]
- Griffete, N.; Lamouri, A.; Herbst, F.; Félidj, N.; Ammar, S.; Mangeney, C. Synthesis of highly soluble polymer-coated magnetic nanoparticles using a combination of diazonium salt chemistry and the iniferter method. RSC Adv. 2011, 2, 826–830. [Google Scholar] [CrossRef]
- Griffete, N.; Herbst, F.; Pinson, J.; Ammar, S.; Mangeney, C. Preparation of water-soluble magnetic nanocrystals using aryl diazonium salt chemistry. J. Am. Chem. Soc. 2011, 133, 1646–1649. [Google Scholar] [CrossRef]
- Maldonado, S.; Smith, T.J.; Williams, R.D.; Morin, S.; Barton, E.; Stevenson, K.J. Surface modification of indium tin oxide via electrochemical reduction of aryldiazonium cations. Langmuir 2006, 22, 2884–2891. [Google Scholar] [CrossRef]
- Gam-Derouich, S.; Pinson, J.; DeCorse, P.; Luo, Y.; Herbaut, R.; Royon, L.; Mangeney, C. Diazonium salt chemistry for the design of nano-textured anti-icing surfaces. Chem. Commun. 2018, 54, 8983–8986. [Google Scholar] [CrossRef] [PubMed]
- Liu, Y.; McCreery, R.L. Reactions of organic monolayers on carbon surfaces observed with unenhanced raman spectroscopy. J. Am. Chem. Soc. 1995, 117, 11254–11259. [Google Scholar] [CrossRef]
- Saby, C.; Ortiz, B.; Champagne, G.Y.; Bélanger, D. Electrochemical modification of glassy carbon electrode using aromatic diazonium salts. 1. Blocking effect of 4-nitrophenyl and 4-carboxyphenyl groups. Langmuir 1997, 13, 6805–6813. [Google Scholar] [CrossRef]
- Ortiz, B.; Saby, C.; Champagne, G.; Bélanger, D. Electrochemical modification of a carbon electrode using aromatic diazonium salts. 2. Electrochemistry of 4-nitrophenyl modified glassy carbon electrodes in aqueous media. J. Electroanal. Chem. 1998, 455, 75–81. [Google Scholar] [CrossRef]
- Downard, A.J. Potential-dependence of self-limited films formed by reduction of aryldiazonium salts at glassy carbon electrodes. Langmuir 2000, 16, 9680–9682. [Google Scholar] [CrossRef]
- Shin, D.; Tokuda, N.; Rezek, B.; Nebel, C. Periodically arranged benzene-linker molecules on boron-doped single-crystalline diamond films for DNA sensing. Electrochem. Commun. 2006, 8, 844–850. [Google Scholar] [CrossRef]
- Welch, N.G.; Scoble, J.A.; Muir, B.W.; Pigram, P.J. Orientation and characterization of immobilized antibodies for improved immunoassays (Review). Biointerphases 2017, 12, 02D301. [Google Scholar] [CrossRef]
- Yen, Y.-K.; Huang, C.-Y.; Chen, C.-H.; Hung, C.-M.; Wu, K.; Lee, C.-K.; Chang, J.-S.; Lin, S.; Huang, L.-S. A novel, electrically protein-manipulated microcantilever biosensor for enhancement of capture antibody immobilization. Sens. Actuators B Chem. 2009, 141, 498–505. [Google Scholar] [CrossRef]
- Ferreira, N.S.; Sales, M.G.F. Disposable immunosensor using a simple method for oriented antibody immobilization for label-free real-time detection of an oxidative stress biomarker implicated in cancer diseases. Biosens. Bioelectron. 2014, 53, 193–199. [Google Scholar] [CrossRef]
- Devadoss, A.; Forsyth, R.; Bigham, R.; Abbasi, H.; Ali, M.M.; Tehrani, Z.; Liu, Y.; Guy, O.J. Ultrathin functional polymer modified graphene for enhanced enzymatic electrochemical sensing. Biosensors 2019, 9, 16. [Google Scholar] [CrossRef]
- Walters, F.; Ali, M.M.; Burwell, G.; Rozhko, S.; Tehrani, Z.; Daghigh Ahmadi, E.; Evans, J.E.; Abbasi, H.; Bigham, R.; Mitchell, J.J.; et al. A facile method for the non-covalent amine functionalization of carbon-based surfaces for use in biosensor development. Nanomaterials 2020, 10, 1808. [Google Scholar] [CrossRef] [PubMed]
- Azmi, M.M.; Tehrani, Z.; Lewis, R.; Walker, K.-A.; Jones, D.; Daniels, D.; Doak, S.; Guy, O. Highly sensitive covalently functionalised integrated silicon nanowire biosensor devices for detection of cancer risk biomarker. Biosens. Bioelectron. 2014, 52, 216–224. [Google Scholar] [CrossRef] [PubMed]
- House, E.; Collingwood, J.; Khan, A.; Korchazkina, O.; Berthon, G.; Exley, C. Aluminium, iron, zinc and copper influence the in vitro formation of amyloid fibrils of Aβ42 in a manner which may have consequences for metal chelation therapy in Alzheimer’s disease. J. Alzheimer’s Dis. 2004, 6, 291–301. [Google Scholar] [CrossRef]
- Thermo fisher Scientific Website. Available online: https://www.thermofisher.com/order/catalog/product/77149#/7714917 (accessed on 15 January 2021).
- Wang, W.; Ge, L.; Sun, X.; Hou, T.; Li, F. Graphene-assisted label-free homogeneous electrochemical biosensing strategy based on aptamer-switched bidirectional DNA polymerization. ACS Appl. Mater. Interfaces. 2015, 7, 28566–28575. [Google Scholar] [CrossRef]
- Wu, C.-C.; Ku, B.-C.; Ko, C.-H.; Chiu, C.-C.; Wang, G.-J.; Yang, Y.-H.; Wu, S.-J. Electrochemical impedance spectroscopy analysis of A-beta (1-42) peptide using a nanostructured biochip. Electrochim. Acta 2014, 134, 249–257. [Google Scholar] [CrossRef]
- Sethi, J.; Van Bulck, M.; Suhail, A.; Safarzadeh, M.; Perez-Castillo, A.; Pan, G. A label-free biosensor based on graphene and reduced graphene oxide dual-layer for electrochemical determination of beta-amyloid biomarkers. Microchim. Acta 2020, 187, 1–10. [Google Scholar] [CrossRef]
- Shihommatsu, K.; Takahashi, J.; Momiuchi, Y.; Hoshi, Y.; Kato, H.; Homma, Y. Formation mechanism of secondary electron contrast of graphene layers on a metal substrate. ACS Omega 2017, 2, 7831–7836. [Google Scholar] [CrossRef]











| Substrate | Potential (V) | Surface Coverage (mol/cm2) × l0−10 | Conditions | Ref. |
|---|---|---|---|---|
| GC | 14 | 4 min electrolysis | [3] | |
| GC | 6.5 ± 0.5 | 10 min electrolysis | [32] | |
| GC | 18 | 4 min electrolysis | [33] | |
| GC | 5.6 | 4 min electrolysis | [34] | |
| GC | −1.06 | 19 ± 1 | t = 10 and 100 min | [35] |
| SD | −1.17 | 1.3 | N2 purged Glove box | [36] |
| EG | 16.6 | RT, argon atm. 20 h | [18] | |
| GC | −0.8 | 22 | Argon (oxygen free) | [5] |
| GC | −0.6 | 8.02 ± 0.2 | Air (atmospheric), 1 min, RT | This work |
Publisher’s Note: MDPI stays neutral with regard to jurisdictional claims in published maps and institutional affiliations. |
© 2021 by the authors. Licensee MDPI, Basel, Switzerland. This article is an open access article distributed under the terms and conditions of the Creative Commons Attribution (CC BY) license (http://creativecommons.org/licenses/by/4.0/).
Share and Cite
Tehrani, Z.; Abbasi, H.Y.; Devadoss, A.; Evans, J.E.; Guy, O.J. Assessing Surface Coverage of Aminophenyl Bonding Sites on Diazotised Glassy Carbon Electrodes for Optimised Electrochemical Biosensor Performance. Nanomaterials 2021, 11, 416. https://doi.org/10.3390/nano11020416
Tehrani Z, Abbasi HY, Devadoss A, Evans JE, Guy OJ. Assessing Surface Coverage of Aminophenyl Bonding Sites on Diazotised Glassy Carbon Electrodes for Optimised Electrochemical Biosensor Performance. Nanomaterials. 2021; 11(2):416. https://doi.org/10.3390/nano11020416
Chicago/Turabian StyleTehrani, Zari, Hina Yaqub Abbasi, Anitha Devadoss, Jonathan Edward Evans, and Owen James Guy. 2021. "Assessing Surface Coverage of Aminophenyl Bonding Sites on Diazotised Glassy Carbon Electrodes for Optimised Electrochemical Biosensor Performance" Nanomaterials 11, no. 2: 416. https://doi.org/10.3390/nano11020416
APA StyleTehrani, Z., Abbasi, H. Y., Devadoss, A., Evans, J. E., & Guy, O. J. (2021). Assessing Surface Coverage of Aminophenyl Bonding Sites on Diazotised Glassy Carbon Electrodes for Optimised Electrochemical Biosensor Performance. Nanomaterials, 11(2), 416. https://doi.org/10.3390/nano11020416

