Preparation and Application of Fe-N Co-Doped GNR@CNT Cathode Oxygen Reduction Reaction Catalyst in Microbial Fuel Cells
Abstract
1. Introduction
2. Materials and Methods
2.1. Synthesis of Fe-N/GNR@CNT Electrocatalysts
2.2. MFC Construction and Setup
2.3. Analysis and Measures
3. Results
3.1. The Identification of GNR@CNT
3.2. The Performance of the Fe-N/C Materials with Different Fe-Doping Contents
3.3. The Performance of the Fe-N/C Materials with Different N-Doping Contents
3.3.1. The Performance of Fe-N/C Catalysts with Different N-Doping Amounts
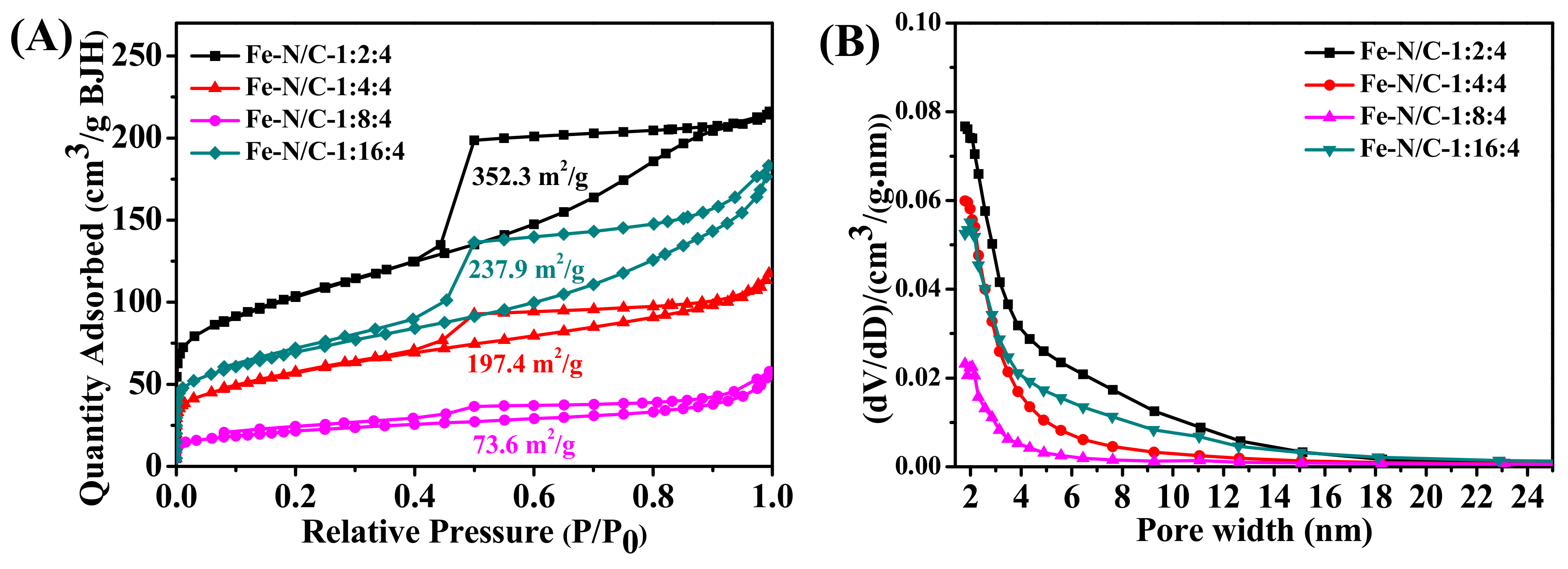
3.3.2. XPS and BET Specific Surface Area Analysis
3.3.3. RDE Tests
4. Discussion
Supplementary Materials
Author Contributions
Funding
Conflicts of Interest
References
- Tao, Y.; Liu, Q.; Chen, J.; Wang, B.; Wang, Y.; Liu, K.; Li, M.; Jiang, H.; Zhentan, L.; Wang, D.; et al. Hierarchically three-dimensional nanofiber based textile with high con-ductivity and biocompatibility as a microbial fuel cell anode. Environ. Sci. Technol. 2016, 50, 7889–7895. [Google Scholar] [CrossRef] [PubMed]
- Wu, S.; Li, H.; Zhou, X.; Liang, P.; Zhang, X.; Jiang, Y.; Huang, X. A novel pilot-scale stacked microbial fuel cell for efficient electricity gener-ation and wastewater treatment. Water Res. 2016, 98, 396–403. [Google Scholar] [CrossRef] [PubMed]
- Yang, Y.; Liu, T.; Liao, Q.; Ye, D.; Zhu, X.; Li, J.; Zhang, P.; Peng, Y.; Chen, S.; Li, Y. A three-dimensional nitrogen-doped graphene aerogel-activated carbon composite catalyst that enables low-cost microfluidic microbial fuel cells with superior performance. J. Mater. Chem. A 2016, 4, 15913–15919. [Google Scholar] [CrossRef]
- Khan, N.; Anwer, A.H.; Ahmad, A.; Sabir, S.; Sevda, S.; Khan, M.D. Investigation of CNT/PPy-modified carbon paper electrodes under anaerobic and aerobic conditions for phenol bioremediation in microbial fuel cells. ACS Omega 2019, 5, 471–480. [Google Scholar] [CrossRef] [PubMed]
- Liu, D.; Chang, Q.; Gao, Y.; Huang, W.; Sun, Z.; Yan, M.; Guo, C. High performance of microbial fuel cell afforded by metallic tungsten carbide decorated carbon cloth anode. Electrochim. Acta 2020, 330, 135243. [Google Scholar] [CrossRef]
- Li, M.; Ci, S.; Ding, Y.; Wen, Z. Almond shell derived porous carbon for a high-performance anode of microbial fuel cells. Sustain. Energy Fuels 2019, 3, 3415–3421. [Google Scholar] [CrossRef]
- Dessì, P.; Chatterjee, P.; Mills, S.; Kokko, M.; Lakaniemi, A.M.; Collins, G.; Lens, P.N. Power production and microbial community composition in thermophilic acetate-fed up-flow and flow-through microbial fuel cells. Bioresour. Technol. 2019, 294, 122115. [Google Scholar] [CrossRef]
- Zhang, M.; Ma, Z.; Zhao, N.; Zhang, K.; Song, H. Increased power generation from cylindrical microbial fuel cell inoculated with P. aeruginosa. Biosens. Bioelectron. 2019, 141, 111394. [Google Scholar] [CrossRef]
- Fraiwan, A.; Choi, S. A stackable, two-chambered, paper-based microbial fuel cell. Biosens. Bioelectron. 2016, 83, 27–32. [Google Scholar] [CrossRef]
- Li, M.; Zhou, J.; Bi, Y.-G.; Zhou, S.-Q.; Mo, C.-H. Transition metals (Co, Mn, Cu) based composites as catalyst in microbial fuel cells ap-plication: The effect of catalyst composition. Chem. Eng. J. 2020, 383, 123152. [Google Scholar] [CrossRef]
- Yang, R.; Li, K.; Lv, C.; Cen, B.; Liang, B. The exceptional performance of polyhedral porous carbon embedded nitrogen-doped carbon networks as cathode catalyst in microbial fuel cells. J. Power Sources 2019, 442, 227229. [Google Scholar] [CrossRef]
- Zhang, X.; Wang, Q.; Tang, C.; Wang, H.-F.; Liang, P.; Huang, X.; Zhang, Q. High-power microbial fuel cells based on a carbon–carbon composite air cathode. Small 2019, 16, 1905240. [Google Scholar] [CrossRef] [PubMed]
- Kondaveeti, S.; Lee, S.-H.; Park, H.-D.; Min, B. Specific enrichment of different Geobacter sp. in anode biofilm by varying interspatial distance of electrodes in air-cathode microbial fuel cell (MFC). Electrochim. Acta 2020, 331, 135388. [Google Scholar] [CrossRef]
- Li, W.; Liu, Y.; Wu, L.; Ren, R.; Lv, Y.K. Enhanced nitrogen removal of low C/N wastewater using a novel microbial fuel cell (MFC) with Cupriavidus sp. S1 as a biocathode catalyst (BCS1). J. Chem. Technol. Biotechnol. 2019, 95, 1203–1215. [Google Scholar] [CrossRef]
- Wu, J.-C.; Yan, W.-M.; Chiang, W.-H.; Thangavel, S.; Wang, C.-H.; Wang, C.-T. Innovative multi-processed N-doped carbon and Fe3O4 cathode for enhanced bioelectro-Fenton microbial fuel cell performance. Int. J. Energy Res. 2019, 43, 7594–7603. [Google Scholar]
- Ma, Y.; You, S.; Jing, B.; Xing, Z.; Chen, H.; Dai, Y.; Zhang, C.; Ren, N.; Zoua, J. Biomass pectin-derived N, S-enriched carbon with hierarchical porous structure as a metal-free catalyst for enhancing bio-electricity generation. Int. J. Hydrogen Energy 2019, 44, 16624–16638. [Google Scholar] [CrossRef]
- Xu, Y.; Zhou, S.; Li, M. Enhanced bioelectricity generation and cathodic oxygen reduction of air breathing microbial fuel cells based on MoS2 decorated carbon nanotube. Int. J. Hydrogen Energy 2019, 44, 13875–13884. [Google Scholar] [CrossRef]
- Liu, J.; Jin, Z.; Wang, X.; Ge, J.; Liu, C.; Xing, W. Recent advances in active sites identification and regulation of M-N/C electro-catalysts towards ORR. Sci. China Ser. B Chem. 2019, 62, 669–683. [Google Scholar] [CrossRef]
- Santoro, C.; Serov, A.; Gokhale, R.; Rojas-Carbonell, S.; Stariha, L.; Gordon, J.; Artyushkova, K.; Atanassov, P. A family of Fe-N-C oxygen reduction electrocatalysts for microbial fuel cell (MFC) application: Relationships between surface chemistry and performances. Appl. Catal. B Environ. 2017, 205, 24–33. [Google Scholar] [CrossRef]
- Kim, J.H.; Sa, Y.J.; Jeong, H.Y.; Joo, S.H. Roles of Fe−Nx and Fe−Fe3C@C species in Fe−N/C electrocatalysts for oxygen reduction re-action. ACS Appl. Mater. Interfaces 2017, 9, 9567–9575. [Google Scholar] [CrossRef]
- Chen, G.; Liu, P.; Liao, Z.; Sun, F.; He, Y.; Zhong, H.; Zhang, T.; Zschech, E.; Chen, M.; Wu, G.; et al. Zinc-mediated template synthesis of Fe-N-C electrocatalysts with densely accessible Fe-Nx active sites for efficient oxygen reduction. Adv. Mater. 2020, 32, 1907399. [Google Scholar] [CrossRef] [PubMed]
- Asset, T.; Atanassov, P. Iron-nitrogen-carbon catalysts for proton exchange membrane fuel cells. Joule 2020, 4, 33–44. [Google Scholar] [CrossRef]
- Wei, Q.; Zhang, G.; Yang, X.; Chenitz, R.; Banham, D.; Yang, L.; Ye, S.; Knights, S.; Sun, S. 3D porous Fe/N/C spherical nanostructures as high-performance electrocatalysts for oxygen reduction in both alkaline and acidic media. ACS Appl. Mater. Interfaces 2017, 9, 36944–36954. [Google Scholar] [CrossRef]
- Jiang, L.; Duan, J.; Zhu, J.; Chen, S.; Antonietti, M. Iron-cluster-directed synthesis of 2D/2D Fe–N–C/MXene superlattice-like hetero-structure with enhanced oxygen reduction electrocatalysis. ACS Nano 2020, 14, 2436–2444. [Google Scholar] [CrossRef] [PubMed]
- Lai, Q.; Zheng, L.; Liang, Y.; Hea, J.; Zhao, J.; Chen, J. Metal–organic-framework-derived Fe-N/C electrocatalyst with five-coordinated Fe-Nx sites for advanced oxygen reduction in acid media. ACS Catal. 2017, 7, 1655–1663. [Google Scholar] [CrossRef]
- Wang, Y.-C.; Huang, L.; Zhang, P.; Qiu, Y.-T.; Sheng, T.; Zhou, Z.; Wang, G.; Liu, J.; Rauf, M.; Gu, Z.-Q.; et al. Constructing a triple-phase interface in micropores to boost performance of Fe/N/C catalysts for direct methanol fuel cells. ACS Energy Lett. 2017, 2, 645–650. [Google Scholar] [CrossRef]
- Wu, L.; Cao, X.; Hu, W.; Ji, Y.; Zhu, Z.Z.; Li, X.-F. Improving the oxygen reduction reaction activity of FeN4–graphene via tuning electronic characteristics. ACS Appl. Energy Mater. 2019, 2, 6634–6641. [Google Scholar] [CrossRef]
- Jena, H.S.; Krishnaraj, C.; Parwaiz, S.; Lecoeuvre, F.; Schmidt, J.; Pradhan, D.; Van Der Voort, P. Illustrating the role of quaternary-N of BINOL Co-valent triazine-based frameworks in oxygen reduction and hydrogen evolution reactions. ACS Appl. Mater. Interfaces 2020, 12, 44689–44699. [Google Scholar] [CrossRef]
- Feng, B.; Wu, X.; Niu, Y.; Li, W.; Yao, Y.; Hu, W.; Ming Li, C. Hierarchically porous Fe/N–C hollow spheres derived from mela-mine/Fe-incorporated polydopamine for efficient oxygen reduction reaction electrocatalysis. Sustain. Energy Fuels 2019, 3, 3455–3461. [Google Scholar] [CrossRef]
- Liang, Y.; Zhang, H.; Zhang, J.; Cheng, X.; Zhu, Y.; Luo, L.; Lu, S.; Wei, J.; Wang, H. Porous 2D carbon nanosheets synthesized via organic groups triggered polymer particles exfoliation: An effective cathode catalyst for polymer electrolyte membrane fuel cells. Electrochim. Acta 2020, 332, 135397. [Google Scholar] [CrossRef]
- Liu, D.; Li, J.-C.; Shi, Q.; Feng, S.; Lyu, Z.; Ding, S.; Hao, L.; Zhang, Q.; Wang, C.; Xu, M.; et al. Atomically isolated iron atom anchored on carbon nanotubes for oxygen reduction reaction. ACS Appl. Mater. Interfaces 2019, 11, 39820–39826. [Google Scholar] [CrossRef] [PubMed]
- Liu, D.; Li, J.; Ding, S.; Lyu, Z.; Feng, S.; Tian, H.; Huyan, C.; Xu, M.; Li, T.; Du, D.; et al. 2D single-atom catalyst with optimized iron sites produced by thermal melting of metal–organic frameworks for oxygen reduction reaction. Small Methods 2020, 4, 1900827. [Google Scholar] [CrossRef]
- Xia, D.; Yang, X.; Xie, L.; Wei, Y.; Jiang, W.; Dou, M.; Li, X.; Li, J.; Gan, L.; Kang, F. Direct growth of carbon nanotubes doped with single atomic Fe–N 4 active sites and neighboring graphitic nitrogen for efficient and stable oxygen reduction electrocatalysis. Adv. Funct. Mater. 2019, 29, 190617. [Google Scholar] [CrossRef]
- Wang, D.; Ma, Z.; Xie, Y.; Song, H. Characterization of Fe/N-doped graphene as air-cathode catalyst in microbial fuel cells. J. Energy Chem. 2017, 26, 1187–1195. [Google Scholar] [CrossRef]
- Kausar, A. Graphene nanoribbon: Fundamental aspects in polymeric nanocomposite. Polym. Technol. Mater. 2019, 58, 579–596. [Google Scholar] [CrossRef]
- Cardoso, E.S.F.; Fortunato, G.V.; Maia, G. Modification of C, O, and N groups for oxygen reduction reaction on an electrochemically stabilized graphene nanoribbon surface. J. Phys. Chem. C 2019, 123, 16308–16316. [Google Scholar] [CrossRef]
- Dong, H.; Ding, L.; Yan, F.; Ji, H.; Ju, H. The use of polyethylenimine-grafted graphene nanoribbon for cellular delivery of locked nucleic acid modified molecular beacon for recognition of microRNA. Biomaterials 2011, 32, 3875–3882. [Google Scholar] [CrossRef]
- Kim, K.; Sussman, A.; Zettl, A. Graphene nanoribbons obtained by electrically unwrapping carbon nanotubes. ACS Nano 2010, 4, 1362–1366. [Google Scholar] [CrossRef]
- Zhang, S.; Tang, S.; Lei, J.; Dong, H.; Ju, H. Functionalization of graphene nanoribbons with porphyrin for electrocatalysis and am-perometric biosensing. J. Electroanal. Chem. 2011, 656, 285–288. [Google Scholar] [CrossRef]
- Yang, Q.; Xiao, Z.; Kong, D.; Zhang, T.; Duan, X.; Zhou, S.; Niu, Y.; Shen, Y.; Sun, H.; Wang, S.; et al. New insight to the role of edges and heteroatoms in nanocarbons for oxygen reduction reaction. Nano Energy 2019, 66, 104096. [Google Scholar] [CrossRef]
- Zhang, J.; Sun, Y.; Zhu, J.; Gao, Z.; Li, S.; Mu, S.; Huang, Y. Ultranarrow graphene nanoribbons toward oxygen reduction and evolution reactions. Adv. Sci. 2018, 5, 1801375. [Google Scholar] [CrossRef] [PubMed]
- Xue, L.; Li, Y.; Liu, X.; Liu, Q.; Shang, J.; Duan, H.; Dai, L.; Shui, J. Zigzag carbon as efficient and stable oxygen reduction electrocatalyst for proton exchange membrane fuel cells. Nat. Commun. 2018, 9, 1–8. [Google Scholar] [CrossRef] [PubMed]
- Chen, C.; Zhang, X.; Zhou, Z.-Y.; Yang, X.-D.; Zhang, X.-S.; Sun, S.-G. Highly active Fe, N co-doped graphene nanoribbon/carbon nanotube composite catalyst for oxygen reduction reaction. Electrochim. Acta 2016, 222, 1922–1930. [Google Scholar] [CrossRef]
- Asensio, Y.; Fernandez-Marchante, C.M.; Lobato, J.; Cañizares, P.; Rodrigo, M.A. Influence of the ion-exchange membrane on the per-formance of double-compartment microbial fuel cells. J. Electroanal. Chem. 2018, 808, 427–432. [Google Scholar] [CrossRef]
- Penteado, E.D.; Fernandez-Marchante, C.M.; Zaiat, M.; Gonzalez, E.R.; Rodrigo, M. Influence of carbon electrode material on energy recovery from winery wastewater using a dual-chamber microbial fuel cell. Environ. Technol. 2016, 38, 1333–1341. [Google Scholar] [CrossRef]
- Hu, Y.; Jensen, J.O.; Zhang, W.; Cleemann, L.N.; Xing, W.; Bjerrum, N.J.; Li, Q. Hollow spheres of iron carbide nanoparticles encased in graphitic layers as oxygen reduction catalysts. Angew. Chem. Int. Ed. 2014, 53, 3675–3679. [Google Scholar] [CrossRef]
- Wen, Z.; Ci, S.; Zhang, F.; Feng, X.; Cui, S.; Mao, S.; Luo, S.; He, Z.; Chen, J. Nitrogen-enriched core-shell structured Fe/Fe3C-C nanorods as advanced electrocatalysts for oxygen reduction reaction. Adv. Mater. 2012, 24, 1399–1404. [Google Scholar] [CrossRef]
- Giordano, C.; Kraupner, A.; Fleischer, I.; Henrich, C.; Klingelhöfer, G.; Antonietti, M. Non-conventional Fe3C-based nanostructures. J. Mater. Chem. 2011, 21, 16963–16967. [Google Scholar] [CrossRef]
- Singh, K.P.; Bae, E.J.; Yu, J.-S. Fe–P: A new class of electroactive catalyst for oxygen reduction reaction. J. Am. Chem. Soc. 2015, 137, 3165–3168. [Google Scholar] [CrossRef]
- Liu, Y.; Liu, H.; Wang, C.; Hou, S.-X.; Yang, N. Sustainable energy recovery in wastewater treatment by microbial fuel cells: Stable power generation with nitrogen-doped graphene cathode. Environ. Sci. Technol. 2013, 47, 13889–13895. [Google Scholar] [CrossRef]
- Liu, Y.; Jin, X.-J.; Dionysiou, D.D.; Liu, H.; Huang, Y. Homogeneous deposition-assisted synthesis of iron–nitrogen composites on graphene as highly efficient non-precious metal electrocatalysts for microbial fuel cell power generation. J. Power Sources 2015, 278, 773–781. [Google Scholar] [CrossRef]
- Zhao, J.; Fu, N.; Liu, R. Graphite-wrapped fe core–shell nanoparticles anchored on graphene as pH-universal electrocatalyst for oxygen reduction reaction. ACS Appl. Mater. Interfaces 2018, 10, 28509–28516. [Google Scholar] [CrossRef] [PubMed]
- Jiang, W.-J.; Gu, L.; Li, L.; Zhang, Y.; Zhang, X.; Zhang, L.-J.; Wang, J.-Q.; Hu, J.-S.; Wei, Z.; Wan, L.-J. Understanding the high activity of Fe–N–C electrocatalysts in oxygen reduction: Fe/Fe3C nanoparticles boost the activity of Fe–Nx. J. Am. Chem. Soc. 2016, 138, 3570–3578. [Google Scholar] [CrossRef] [PubMed]








| Fe-N/C-1:2:4(at. %) | Fe-N/C-1:4:4(at. %) | Fe-N/C-1:8:4(at. %) | Fe-N/C-1:16:4(at. %) | |
|---|---|---|---|---|
| C | 85.49 | 83.94 | 85.32 | 85.14 |
| N | 7.57 | 8.44 | 7.95 | 8.42 |
| Fe | 1.20 | 1.64 | 1.50 | 1.50 |
| O | 5.59 | 5.68 | 5.03 | 4.77 |
| S | 0.15 | 0.30 | 0.20 | 0.16 |
| Pyridinic-N | 46.67 | 49.54 | 32.82 | 41.95 |
| Pyrrolic-N | 21.57 | 24.35 | 27.54 | 35.57 |
| Graphitic-N | 17.29 | 20.91 | 24.71 | 9.14 |
| Oxidized-N | 14.47 | 5.20 | 14.93 | 12.34 |
| Micropore Area (m2·g−1) | External Surface Area (m2·g−1) | BET Surface Area (m2·g−1) | |
|---|---|---|---|
| Fe-N/C-1:2:4 | 79.4 | 272.9 | 352.3 |
| Fe-N/C-1:4:4 | 22.5 | 174.9 | 197.4 |
| Fe-N/C-1:8:4 | 9.7 | 63.9 | 73.6 |
| Fe-N/C-1:16:4 | 43.7 | 194.2 | 237.9 |
Publisher’s Note: MDPI stays neutral with regard to jurisdictional claims in published maps and institutional affiliations. |
© 2021 by the authors. Licensee MDPI, Basel, Switzerland. This article is an open access article distributed under the terms and conditions of the Creative Commons Attribution (CC BY) license (http://creativecommons.org/licenses/by/4.0/).
Share and Cite
Zhang, M.; Ma, Z.; Song, H. Preparation and Application of Fe-N Co-Doped GNR@CNT Cathode Oxygen Reduction Reaction Catalyst in Microbial Fuel Cells. Nanomaterials 2021, 11, 377. https://doi.org/10.3390/nano11020377
Zhang M, Ma Z, Song H. Preparation and Application of Fe-N Co-Doped GNR@CNT Cathode Oxygen Reduction Reaction Catalyst in Microbial Fuel Cells. Nanomaterials. 2021; 11(2):377. https://doi.org/10.3390/nano11020377
Chicago/Turabian StyleZhang, Man, Zhaokun Ma, and Huaihe Song. 2021. "Preparation and Application of Fe-N Co-Doped GNR@CNT Cathode Oxygen Reduction Reaction Catalyst in Microbial Fuel Cells" Nanomaterials 11, no. 2: 377. https://doi.org/10.3390/nano11020377
APA StyleZhang, M., Ma, Z., & Song, H. (2021). Preparation and Application of Fe-N Co-Doped GNR@CNT Cathode Oxygen Reduction Reaction Catalyst in Microbial Fuel Cells. Nanomaterials, 11(2), 377. https://doi.org/10.3390/nano11020377
