Effect of Borpolymer on Mechanical and Structural Parameters of Ultra-High Molecular Weight Polyethylene
Abstract
1. Introduction
2. Materials and Methods
2.1. Materials and Obtaining of PCM
2.2. Research Methods
3. Results and Discussion
3.1. Characteristics of Borpolymer
3.2. Study of the PCM Structure
3.2.1. IR Spectra of Composites
3.2.2. Morphology of PCM
3.2.3. Investigation of the Structure of Composites by the AFM Method
3.2.4. XRC of Composites
3.2.5. Raman Spectra of Composites
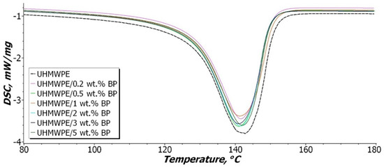
3.3. Thermodynamic Properties of PCM
3.4. Mechanical Properties of PCM
4. Conclusions
Author Contributions
Funding
Data Availability Statement
Conflicts of Interest
References
- Kurtz, S.M. The UHMWPE Handbook: Ultra-High Molecular Weight Polyethylene in Total Joint Replacement; Springer: New York, NY, USA, 2009. [Google Scholar]
- Hussain, M.; Naqvi, R.A.; Abbas, N.; Khan, S.M.; Nawaz, S.; Hussain, A.; Zahra, N.; Khalid, M.W. Ultra-High-Molecular-Weight-Polyethylene (UHMWPE) as a Promising Polymer Material for Biomedical Applications: A Concise Review. Polymers 2020, 12, 323. [Google Scholar] [CrossRef] [PubMed]
- Cummings, C.S.; Lucas, E.M.; Marro, J.A.; Kieu, T.M.; DesJardins, J.D. The Effects of Proton Radiation on UHMWPE Material Properties for Space Flight and Medical Applications. Adv. Space Res. 2011, 48, 1572–1577. [Google Scholar] [CrossRef]
- Danilova, S.N.; Yarusova, S.B.; Kulchin, Y.N.; Zhevtun, I.G.; Buravlev, I.Y.; Okhlopkova, A.A.; Gordienko, P.S.; Subbotin, E.P. UHMWPE/CaSiO3 Nanocomposite: Mechanical and Tribological Properties. Polymers 2021, 13, 570. [Google Scholar] [CrossRef]
- Panin, S.V.; Buslovich, D.G.; Dontsov, Y.V.; Bochkareva, S.A.; Kornienko, L.A.; Berto, F. UHMWPE-Based Glass-Fiber Composites Fabricated by FDM. Multiscaling Aspects of Design, Manufacturing and Performance. Materials 2021, 14, 1515. [Google Scholar] [CrossRef] [PubMed]
- Panin, S.V.; Kornienko, L.A.; Valentyukevich, N.N.; Alexenko, V.O.; Ovechkin, B.B. Mechanical and Tribotechnical Properties of Three-Component Solid Lubricant UHMWPE Composites. In AIP Conference Proceedings; AIP Publishing LLC: Ekaterinburg, Russia, 2018; p. 030050. [Google Scholar] [CrossRef]
- Cao, Z.; Shi, G.; Yan, X.; Wang, Q. In Situ Fabrication of CuO/UHMWPE Nanocomposites and Their Tribological Performance. J. Appl. Polym. Sci. 2019, 136, 47925. [Google Scholar] [CrossRef]
- Cao, S.; Liu, H.; Ge, S.; Wu, G. Mechanical and Tribological Behaviors of UHMWPE Composites Filled with Basalt Fibers. J. Reinf. Plast. Compos. 2011, 30, 347–355. [Google Scholar] [CrossRef]
- Dangsheng, X. Friction and Wear Properties of UHMWPE Composites Reinforced with Carbon Fiber. Mater. Lett. 2005, 59, 175–179. [Google Scholar] [CrossRef]
- Panin, S.V.; Kornienko, L.A.; Huang, Q.; Buslovich, D.G.; Bochkareva, S.A.; Alexenko, V.O.; Panov, I.L.; Berto, F. Effect of Adhesion on Mechanical and Tribological Properties of Glass Fiber Composites, Based on Ultra-High Molecular Weight Polyethylene Powders with Various Initial Particle Sizes. Materials 2020, 13, 1602. [Google Scholar] [CrossRef]
- Wang, Z.; Ma, Y.; Guo, L.; Tong, J. Influence of Polyphenyl Ester and Nanosized Copper Filler on the Tribological Properties of Carbon Fibre–Reinforced Ultra-High-Molecular-Weight Polyethylene Composites. J. Thermoplast. Compos. Mater. 2018, 31, 1483–1496. [Google Scholar] [CrossRef]
- Panin, S.V.; Alexenko, V.O.; Buslovich, D.G.; Anh, N.D.; Qitao, H. Solid-Lubricant, Polymer—Polymeric and Functionalized Fiber—And Powder Reinforced Composites of Ultra-High Molecular Weight Polyethylene. IOP Conf. Ser. Earth Environ. Sci. 2018, 115, 012010. [Google Scholar] [CrossRef]
- Cheng, B.; Duan, H.; Chen, S.; Shang, H.; Li, J.; Shao, T. Phase Morphology and Tribological Properties of PI/UHMWPE Blend Composites. Polymer 2020, 202, 122658. [Google Scholar] [CrossRef]
- Panin, S.V.; Kornienko, L.A.; Nguen Suan, T.; Ivanova, L.R.; Korchagin, M.A.; Shil’ko, S.V.; Pleskachevskii, Y.M. Wear Resistance of Composites Based on Hybrid UHMWPE–PTFE Matrix: Mechanical and Tribotechnical Properties of the Matrix. J. Frict. Wear 2015, 36, 249–256. [Google Scholar] [CrossRef]
- Silverstein, M.S.; Breitner, J. A Polytetrafluoroethylene Filled Ultra-High Molecular Weight Polyethylene Composite: Mechanical and Wear Property Relationships. Polym. Eng. Sci. 1995, 35, 1785–1794. [Google Scholar] [CrossRef]
- Liu, Y.; Sinha, S.K. Mechanical and Tribological Properties of PEEK Particle-Filled UHMWPE Composites: The Role of Counterface Morphology Change in Dry Sliding Wear. J. Reinf. Plast. Compos. 2013, 32, 1614–1623. [Google Scholar] [CrossRef]
- Cowie, R.M.; Briscoe, A.; Fisher, J.; Jennings, L.M. Wear and Friction of UHMWPE-on-PEEK OPTIMA™. J. Mech. Behav. Biomed. Mater. 2019, 89, 65–71. [Google Scholar] [CrossRef]
- Senatov, F.S.; Chubrik, A.V.; Maksimkin, A.V.; Kolesnikov, E.A.; Salimon, A.I. Comparative Analysis of Structure and Mechanical Properties of Porous PEEK and UHMWPE Biomimetic Scaffolds. Mater. Lett. 2019, 239, 63–66. [Google Scholar] [CrossRef]
- Cowie, R.M.; Pallem, N.M.; Briscoe, A.; Jennings, L.M. Third Body Wear of UHMWPE-on-PEEK-OPTIMA™. Materials 2020, 13, 1264. [Google Scholar] [CrossRef]
- Mohammed, A.S.; Fareed, M.I. Surface Modification of Polyether Ether Ketone (PEEK) with a Thin Coating of UHMWPE for Better Tribological Properties. Tribol. Trans. 2017, 60, 881–887. [Google Scholar] [CrossRef]
- Okhlopkova, T.A.; Borisova, R.V.; Nikiforov, L.A.; Spiridonov, A.M.; Okhlopkova, A.A.; Jeong, D.-Y.; Cho, J.-H. Supramolecular Structure and Mechanical Characteristics of Ultrahigh-Molecular-Weight Polyethylene-Inorganic Nanoparticle Nanocomposites: UHMWPE-Inorganic Nanoparticle Composites. Bull. Korean Chem. Soc. 2016, 37, 439–444. [Google Scholar] [CrossRef]
- Yin, X.; Li, S.; He, G.; Feng, Y.; Wen, J. Preparation and Characterization of CNTs/UHMWPE Nanocomposites via a Novel Mixer under Synergy of Ultrasonic Wave and Extensional Deformation. Ultrason. Sonochem. 2018, 43, 15–22. [Google Scholar] [CrossRef]
- Zhang, H.; Wang, L.; Chen, Q.; Li, P.; Zhou, A.; Cao, X.; Hu, Q. Preparation, Mechanical and Anti-Friction Performance of MXene/Polymer Composites. Mater. Des. 2016, 92, 682–689. [Google Scholar] [CrossRef]
- Zec, J.; Tomić, N.Z.; Zrilić, M.; Lević, S.; Marinković, A.; Heinemann, R.J. Optimization of Al2O3 Particle Modification and UHMWPE Fiber Oxidation of EVA Based Hybrid Composites: Compatibility, Morphological and Mechanical Properties. Compos. Part B Eng. 2018, 153, 36–48. [Google Scholar] [CrossRef]
- Wang, Y.; Qiao, X.; Wan, J.; Xiao, Y.; Fan, X. Preparation of AlN Microspheres/UHMWPE Composites for Insulating Thermal Conductors. RSC Adv. 2016, 6, 80262–80267. [Google Scholar] [CrossRef]
- Feng, C.P.; Chen, L.; Wei, F.; Ni, H.Y.; Chen, J.; Yang, W. Highly Thermally Conductive UHMWPE/Graphite Composites with Segregated Structures. RSC Adv. 2016, 6, 65709–65713. [Google Scholar] [CrossRef]
- Silva, C.; Lago, R.; Veloso, H.; Patricio, P. Use of Amphiphilic Composites Based on Clay/Carbon Nanofibers as Fillers in UHMWPE. J. Braz. Chem. Soc. 2017, 29, 278–284. [Google Scholar] [CrossRef]
- Chen, R.; Ye, C.; Xin, Z.; Zhao, S.; Xia, J.; Meng, X. The Effects of Octadecylamine Functionalized Multi-Wall Carbon Nanotubes on the Conductive and Mechanical Properties of Ultra-High Molecular Weight Polyethylene. J. Polym. Res. 2018, 25, 135. [Google Scholar] [CrossRef]
- Yeh, J.; Wang, C.K.; Tsai, C.-C.; Ren, D.-H.; Chiu, S.-H. Ultradrawing and Ultimate Tensile Properties of Novel Ultra-High Molecular Weight Polyethylene Composite Fibers Filled with Nanoalumina Fillers. Text. Res. J. 2016, 86, 1768–1787. [Google Scholar] [CrossRef]
- Abdalla, M.O.; Ludwick, A.; Mitchell, T. Boron-Modified Phenolic Resins for High Performance Applications. Polymer 2003, 44, 7353–7359. [Google Scholar] [CrossRef]
- Qiu, F.; Zhao, W.; Han, S.; Zhuang, X.; Lin, H.; Zhang, F. Recent Advances in Boron-Containing Conjugated Porous Polymers. Polymers 2016, 8, 191. [Google Scholar] [CrossRef]
- Kurt, R.; Mengeloglu, F.; Meric, H. The Effects of Boron Compounds Synergists with Ammonium Polyphosphate on Mechanical Properties and Burning Rates of Wood-HDPE Polymer Composites. Eur. J. Wood Prod. 2012, 70, 177–182. [Google Scholar] [CrossRef]
- Yi, X.; Feng, A.; Shao, W.; Xiao, Z. Synthesis and Properties of Graphene Oxide–Boron-Modified Phenolic Resin Composites. High Perform. Polym. 2016, 28, 505–517. [Google Scholar] [CrossRef]
- Wang, D.-C.; Chang, G.-W.; Chen, Y. Preparation and Thermal Stability of Boron-Containing Phenolic Resin/Clay Nanocomposites. Polym. Degrad. Stab. 2008, 93, 125–133. [Google Scholar] [CrossRef]
- Korabel’nikov, D.V.; Lenskii, M.A.; Ozhogin, A.V. Study of the Modifying Effect of Additions of Boric Acid Polymethylene-P-Triphenyl Ester in Rubber-Based Polymer Composites. Int. Polym. Sci. Technol. 2012, 39, 17–20. [Google Scholar] [CrossRef]
- Korabel’nikov, D.V.; Lenskii, M.A.; Ozhogin, A.V.; Nartov, A.S.; Anan’eva, E.S. A Study of the Modifying Effect of Additions of Boric Acid Polymethylene- p -Triphenyl Ester in Rubber-Based Polymer Composites. Part 3. Int. Polym. Sci. Technol. 2016, 43, 11–14. [Google Scholar] [CrossRef]
- Androshchuk, A.A.; Lenskii, M.A.; Belousov, A.M. The Interaction of Polyesters and Polymethylene Esters of Phenols and Boric Acid with Epoxy Resin. Int. Polym. Sci. Technol. 2011, 38, 33–36. [Google Scholar] [CrossRef]
- Korabel’nikov, D.V.; Lenskii, M.A.; Nekrasov, M.S.; Kondrat’ev, R.N.; Kartavykh, I.E. Increasing the Strength and Wear Resistance of Friction Composite Materials by Modifying Them with Boric Acid Polymethylene-P-Triphenyl Ester. Int. Polym. Sci. Technol. 2013, 40, 51–55. [Google Scholar] [CrossRef]
- Zimin, D.E. Thermal and Chemical Stability of Glass Fibers with a Boron Polymer Protective Coating. Glass Ceram. 2015, 72, 51–53. [Google Scholar] [CrossRef]
- Lenskiy, M.A.; Shul’ts, E.E.; Korabel’nikov, D.V.; Ozhogin, A.V.; Novitskiy, A.N. Synthesis of Polyesters of Diatomic Phenols and Boric Acid and Their Interaction with Formaldehyde. Polym. Sci. Ser. B 2019, 61, 530–539. [Google Scholar] [CrossRef]
- Boon Peng, C.; Hazizan, M.A.; Nasir, R.M. The Effect of Zeolite on the Crystallization Behaviour and Tribological Properties of UHMWPE Composite. AMR 2013, 812, 100–106. [Google Scholar] [CrossRef]
- Nandiyanto, A.B.D.; Oktiani, R.; Ragadhita, R. How to Read and Interpret FTIR Spectroscope of Organic Material. Indones. J. Sci. Technol. 2019, 4, 97–118. [Google Scholar] [CrossRef]
- Shurvell, H.F.; Faniran, J.A. Infrared Spectra of Triphenylboron and Triphenylborate. Can. J. Chem. 1968, 46, 2081–2087. [Google Scholar] [CrossRef]
- Garcia, R.; Proksch, R. Nanomechanical Mapping of Soft Matter by Bimodal Force Microscopy. Eur. Polym. J. 2013, 49, 1897–1906. [Google Scholar] [CrossRef]
- Joo, Y. Characterization of Ultra High Molecular Weight Polyethyelene Nascent Reactor Powders by X-ray Diffraction and Solid State NMR. Polymer 2000, 41, 1355–1368. [Google Scholar] [CrossRef]
- De Oliveira Aguiar, V.; Pita, V.J.R.R.; De Fatima Vieira Marques, M.; Soares, I.T.; Martins Ferreira, E.H.; Oliveira, M.S.; Monteiro, S.N. Ultra-High Molecular Weight Polyethylene Nanocomposites Reinforced with Novel Surface Chemically Modified Sonic-Exfoliated Graphene. J. Mater. Res. Technol. 2021, 11, 1932–1941. [Google Scholar] [CrossRef]
- Rull, F.; Prieto, A.C.; Casado, J.M.; Sobron, F.; Edwards, H.G.M. Estimation of Crystallinity in Polyethylene by Raman Spectroscopy. J. Raman Spectrosc. 1993, 24, 545–550. [Google Scholar] [CrossRef]
- Kotula, A.P.; Meyer, M.W.; DeVito, F.; Plog, J.; Hight Walker, A.R.; Migler, K.B. The Rheo-Raman Microscope: Simultaneous Chemical, Conformational, Mechanical, and Microstructural Measures of Soft Materials. Rev. Sci. Instrum. 2016, 87, 105105. [Google Scholar] [CrossRef]
- Affatato, S.; Modena, E.; Carmignato, S.; Taddei, P. The Use of Raman Spectroscopy in the Analysis of UHMWPE Uni-Condylar Bearing Systems after Run on a Force and Displacement Control Knee Simulators. Wear 2013, 297, 781–790. [Google Scholar] [CrossRef]
- Sobieraj, M.C.; Rimnac, C.M. Ultra High Molecular Weight Polyethylene: Mechanics, Morphology, and Clinical Behavior. J. Mech. Behav. Biomed. Mater. 2009, 2, 433–443. [Google Scholar] [CrossRef] [PubMed]
- Chang, B.P.; Akil, H.M.; Nasir, R.B.; Khan, A. Optimization on Wear Performance of UHMWPE Composites Using Response Surface Methodology. Tribol. Int. 2015, 88, 252–262. [Google Scholar] [CrossRef]
- Wu, Z.; Zhang, Z.; Mai, K. Non-Isothermal Crystallization Kinetics of UHMWPE Composites Filled by Oligomer-Modified CaCO3. J. Therm. Anal. Calorim. 2020, 139, 1111–1120. [Google Scholar] [CrossRef]
- Efe, G.C.; Bindal, C.; Ucisik, A.H. Characterization of UHWPE-TiO2 Composites Produced by Gelation/Crystallization Method. Acta Phys. Pol. A 2017, 132, 767–769. [Google Scholar] [CrossRef]
- Jafari, I.; Shakiba, M.; Khosravi, F.; Ramakrishna, S.; Abasi, E.; Teo, Y.S.; Kalaee, M.; Abdouss, M.; Ramazani, S.A.A.; Moradi, O.; et al. Thermal Degradation Kinetics and Modeling Study of Ultra High Molecular Weight Polyethylene (UHMWP)/Graphene Nanocomposite. Molecules 2021, 26, 1597. [Google Scholar] [CrossRef] [PubMed]
- Peacock, A.J. Handbook of Polyethylene: Structures, Properties and Applications; Marcel Dekker, Inc.: New York, NY, USA, 2000. [Google Scholar]
- Zhu, D.; Wang, Y.; Zhang, X.; Cheng, S. Interfacial Bond Property of UHMWPE Composite. Polym. Bull. 2010, 65, 35–44. [Google Scholar] [CrossRef]
- Zhang, X.; Wang, Y.; Cheng, S. Properties of UHMWPE Fiber-Reinforced Composites. Polym. Bull. 2013, 70, 821–835. [Google Scholar] [CrossRef]
- Way, J.L.; Atkinson, J.R.; Nutting, J. The Effect of Spherulite Size on the Fracture Morphology of Polypropylene. J. Mater. Sci. 1974, 9, 293–299. [Google Scholar] [CrossRef]
- Khalil, Y.; Hopkinson, N.; Kowalski, A.; Fairclough, J.P.A. Characterisation of UHMWPE Polymer Powder for Laser Sintering. Materials 2019, 12, 3496. [Google Scholar] [CrossRef]
- Butler, M.F.; Donald, A.M. Deformation of spherulitic polyethylene thin films. J. Mater. Sci. 1997, 32, 3675–3685. [Google Scholar] [CrossRef]
- Dayyoub, T.; Olifirov, L.K.; Chukov, D.I.; Kaloshkin, S.D.; Kolesnikov, E.; Nematulloev, S. The Structural and Mechanical Properties of the UHMWPE Films Mixed with the PE-Wax. Materials 2020, 13, 3422. [Google Scholar] [CrossRef]
- Petrova, P.N.; Gogoleva, O.V.; Argunova, A.G. Development of Polymer Composites Based on Ultrahigh Molecular Weight Polyethylene, Polytetrafluoroethylene and Carbon Fibers. In AIP Conference Proceedings; AIP Publishing LLC: Ekaterinburg, Russia, 2018; p. 030052. [Google Scholar] [CrossRef]
- Tulatorn, V.; Ouajai, S.; Yeetsorn, R.; Chanunpanich, N. Mechanical Behavior Investigation of UHMWPE Composites for Pile Cushion Applications. KMUTNB IJAST 2015, 8, 1–12. [Google Scholar] [CrossRef][Green Version]











| Samples | X-ray Structural Analysis | |||
|---|---|---|---|---|
| α, % | 2θ (°) | L, nm | d, nm | |
| initial UHMWPE | 58 | 21.5096 | 34.15 | 0.41 |
| UHMWPE + 0.2% BP | 56 | 21.4988 | 33.35 | 0.41 |
| UHMWPE + 0.5% BP | 55 | 21.4938 | 33.17 | 0.41 |
| UHMWPE + 1% BP | 56 | 21.4933 | 34.41 | 0.41 |
| UHMWPE + 2% BP | 56 | 21.4640 | 32.39 | 0.41 |
| UHMWPE + 3% BP | 56 | 21.4394 | 31.75 | 0.41 |
| UHMWPE + 5% BP | 50 | 21.4547 | 31.83 | 0.41 |
| Samples | Thermodynamic Properties | ||
|---|---|---|---|
| Tonset, °C | ΔHme, J/g | α, % | |
| initial UHMWPE | 127.7 | 171.1 | 58.7 |
| UHMWPE + 0.2% BP | 128.4 | 139.3 | 47.9 |
| UHMWPE + 0.5% BP | 128.0 | 138.5 | 47.8 |
| UHMWPE + 1% BP | 127.6 | 137.2 | 47.6 |
| UHMWPE + 2% BP | 128.1 | 138.4 | 48.5 |
| UHMWPE + 3% BP | 127.9 | 135.7 | 48.1 |
| UHMWPE + 5% BP | 128.4 | 135.2 | 48.9 |
| Samples | σT, MPa | εb, % | E, MPa |
|---|---|---|---|
| initial UHMWPE | 32 ± 3 | 339 ± 16 | 420 ± 26 |
| UHMWPE + 0.2% BP | 49 ± 1 | 434 ± 14 | 472 ± 34 |
| UHMWPE + 0.5% BP | 50 ± 1 | 417 ± 10 | 524 ± 37 |
| UHMWPE + 1% BP | 45 ± 1 | 389 ± 8 | 499 ± 19 |
| UHMWPE + 2% BP | 43 ± 2 | 383 ± 18 | 519 ± 32 |
| UHMWPE + 3% BP | 43 ± 1 | 369 ± 12 | 524 ± 21 |
| UHMWPE + 5% BP | 39 ± 1 | 327 ± 14 | 520 ± 22 |
| Samples | Compressive Strength | ||
|---|---|---|---|
| 2.5% Deformation | 10% Deformation | 25% Deformation | |
| initial UHMWPE | 4 ± 1 | 17 ± 2 | 30 ± 1 |
| UHMWPE + 0.2% BP | 11 ± 2 | 28 ± 2 | 29 ± 2 |
| UHMWPE + 0.5% BP | 9 ± 1 | 21 ± 1 | 26 ± 2 |
| UHMWPE + 1% BP | 9 ± 2 | 23 ± 1 | 30 ± 1 |
| UHMWPE + 2% BP | 13 ± 2 | 26 ± 2 | 31 ± 1 |
| UHMWPE + 3% BP | 11 ± 1 | 24 ± 3 | 33 ± 1 |
| UHMWPE + 5% BP | 10 ± 2 | 25 ± 1 | 34 ± 1 |
Publisher’s Note: MDPI stays neutral with regard to jurisdictional claims in published maps and institutional affiliations. |
© 2021 by the authors. Licensee MDPI, Basel, Switzerland. This article is an open access article distributed under the terms and conditions of the Creative Commons Attribution (CC BY) license (https://creativecommons.org/licenses/by/4.0/).
Share and Cite
Danilova, S.N.; Dyakonov, A.A.; Vasilev, A.P.; Okhlopkova, A.A.; Tuisov, A.G.; Kychkin, A.K.; Kychkin, A.A. Effect of Borpolymer on Mechanical and Structural Parameters of Ultra-High Molecular Weight Polyethylene. Nanomaterials 2021, 11, 3398. https://doi.org/10.3390/nano11123398
Danilova SN, Dyakonov AA, Vasilev AP, Okhlopkova AA, Tuisov AG, Kychkin AK, Kychkin AA. Effect of Borpolymer on Mechanical and Structural Parameters of Ultra-High Molecular Weight Polyethylene. Nanomaterials. 2021; 11(12):3398. https://doi.org/10.3390/nano11123398
Chicago/Turabian StyleDanilova, Sakhayana N., Afanasy A. Dyakonov, Andrey P. Vasilev, Aitalina A. Okhlopkova, Aleksei G. Tuisov, Anatoly K. Kychkin, and Aisen A. Kychkin. 2021. "Effect of Borpolymer on Mechanical and Structural Parameters of Ultra-High Molecular Weight Polyethylene" Nanomaterials 11, no. 12: 3398. https://doi.org/10.3390/nano11123398
APA StyleDanilova, S. N., Dyakonov, A. A., Vasilev, A. P., Okhlopkova, A. A., Tuisov, A. G., Kychkin, A. K., & Kychkin, A. A. (2021). Effect of Borpolymer on Mechanical and Structural Parameters of Ultra-High Molecular Weight Polyethylene. Nanomaterials, 11(12), 3398. https://doi.org/10.3390/nano11123398

