Molybdenum Carbide and Sulfide Nanoparticles as Selective Hydrotreating Catalysts for FCC Slurry Oil to Remove Olefins and Sulfur
Abstract
1. Introduction
2. Materials and Methods
2.1. Preparation of Catalysts
2.2. Characterization of Catalysts
2.3. Hydrotreating of SLO Surrogate and SLO
2.4. Analysis of the Products
3. Results and Discussion
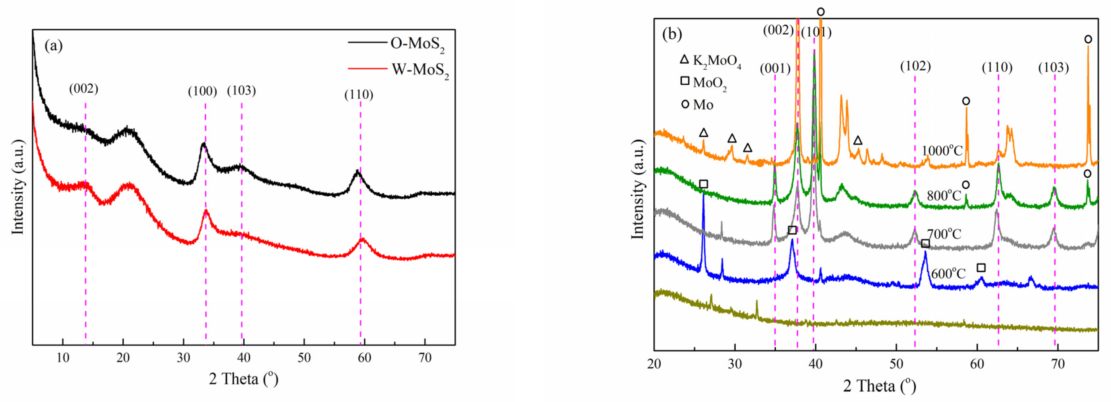
3.1. Catalysts Characterization
3.2. Hydrogenation Activity Measurement in Slurry Oil Surrogate
3.3. Hydrogenation Activity Evaluation in FCC Slurry Oil
4. Conclusions
Supplementary Materials
Author Contributions
Funding
Data Availability Statement
Conflicts of Interest
References
- Lin, C.; Wang, L.; Wu, S.; Zhou, R.; Zeng, X.; Zhang, J.; Duan, L. Synergistic effect of hydrogen transfer ability on the co-carbonization of different FCC slurry oil fractions. Energy Fuels 2019, 33, 9654–9660. [Google Scholar] [CrossRef]
- Guo, A.; Wang, F.; Jiao, S.; Ibrahim, U.K.; Liu, H.; Chen, K.; Wang, Z. Mesophase pitch production from FCC slurry oil: Optimizing compositions and properties of the carbonization feedstock by slurry-bed hydrotreating coupled with distillation. Fuel 2020, 262, 116639. [Google Scholar] [CrossRef]
- Li, P.; Xiong, J.; Ge, M.; Sun, J.; Zhang, W.; Song, Y. Preparation of pitch-based general purpose carbon fibers from catalytic slurry oil. Fuel Process. Technol. 2015, 140, 231–235. [Google Scholar] [CrossRef]
- Lou, B.; Liu, D.; Qiu, Y.; Fu, Y.; Guo, S.; Yu, R.; Gong, X.; Zhang, Z.; He, X. Modified effect on properties of mesophase pitch prepared from various twostage thermotreatments of FCC decant oil. Fuel 2021, 284, 119034. [Google Scholar] [CrossRef]
- Tanabe, K.; Takada, T.; Newman, B.A.; Satou, M.; Hattor, H. Hydrotreating of FCC decant oil as a needle coke feedstock. J. Jpn. Inst. Energy 1996, 75, 916–924. [Google Scholar] [CrossRef][Green Version]
- Jiao, S.; Guo, A.; Wang, F.; Yu, Y.; Bernard, W.B.; Liu, H.; Chen, K.; Liu, D.; Wang, Z.; Sun, L. Sequential pretreatments of an FCC slurry oil sample for preparation of feedstocks for high-value solid carbon materials. Fuel 2021, 285, 119169. [Google Scholar] [CrossRef]
- Jiao, S.; Guo, A.; Wang, F.; Chen, K.; Liu, H.; Ibrahim, U.K.; Wang, Z.; Sun, L. Effects of olefins on mesophase pitch prepared from fluidized catalytic cracking decant oil. Fuel 2020, 262, 116671. [Google Scholar] [CrossRef]
- Noda, T.; Kamiya, K.; Inagaki, M. Effect of pressure on graphitization of carbon. I. heat treatment of soft carbon under 1, 3 and 5 kbar. B. Chem. Soc. Jpn. 1968, 41, 485–492. [Google Scholar] [CrossRef]
- Fujimoto, K.I.; Mochida, I.; Todo, Y.; Oyama, T.; Yamashita, R.; Marsh, H. Mechanism of puffing and the role of puffing inhibitors in the graphitization of electrodes from needle cokes. Carbon 1989, 27, 909–917. [Google Scholar] [CrossRef]
- Jiao, S.; Wang, F.; Wang, L.; Bernard, W.B.; Liu, H.; Chen, K.; Guo, A.; Sun, L.; Wang, Z. Systematic identification and distribution analysis of olefins in FCC slurry oil. Energy 2022, 239, 121959. [Google Scholar] [CrossRef]
- Oh, Y.; Shin, J.; Noh, H.; Kim, C.; Kin, Y.S.; Lee, Y.K. Selective hydrotreating and hydrocracking of FCC light cycle oil into high value light aromatic hydrocarbons. Appl. Catal. A-Gen. 2019, 577, 86–98. [Google Scholar] [CrossRef]
- Xu, C.; Yang, C. Petroleum Refining Engineering, 4th ed.; Petroleum Industry Press: Beijing, China, 2009; pp. 247–299. [Google Scholar]
- Hancsók, J.; Marsi, G.; Kasza, T.; Kalló, D. Hydrogenation of the aromatics and olefins in FCC gasoline during deep desulphurisation. Top. Catal. 2011, 54, 1102–1109. [Google Scholar] [CrossRef]
- Kaluža, L. Activity of transition metal sulfides supported on Al2O3, TiO2 and ZrO2 in the parallel hydrodesulfurization of 1-benzothiophene and hydrogenation of 1-methyl-cyclohex-1-ene. React. Kinet. Mech. Cat. 2015, 114, 781–794. [Google Scholar] [CrossRef]
- Kaluža, L.; Gulková, D. Effect of promotion metals on the activity of MoS2/ZrO2 catalyst in the parallel hydrodesulfurization of 1-benzothiophene and hydrogenation of 1-methyl-cyclohex-1-ene. React. Kinet. Mech. Cat. 2016, 118, 313–324. [Google Scholar] [CrossRef]
- Escallon, M.M.; Fonseca, D.A.; Schobert, H.H. Characterization of hydrotreated decant oils. Effect of different severities of hydrotreating on decant oil chemical composition. Energy Fuels 2013, 27, 478–486. [Google Scholar] [CrossRef]
- Wincek, R.T.; Abrahamson, J.P.; Eser, S. Hydrodesulfurization of fluid catalytic cracking decant oils in a laboratory flow reactor and effect of hydrodesulfurization on subsequent coking. Energy Fuels 2016, 30, 6281–6289. [Google Scholar] [CrossRef]
- Abrahamson, J.P.; Wincek, R.T.; Eser, S. Effects of catalyst properties on hydrodesulfurization activity for sulfur removal from fluid catalytic cracking decant oils. Energy Fuels 2016, 30, 7173–7179. [Google Scholar] [CrossRef]
- Eser, S.; Wang, G.H. A laboratory study of a pretreatment approach to accommodate high-sulfur FCC decant oils as feedstocks for commercial needle coke. Energy Fuels 2007, 21, 3573–3582. [Google Scholar] [CrossRef]
- Costa, P.D.; Potvin, C.; Manoli, J.M.; Lemberton, J.L.; Pérot, G.; Djéga-Mariadassou, G. New catalysts for deep hydrotreatment of diesel fuel: Kinetics of 4, 6-dimethyldibenzothiophene hydrodesulfurization over alumina-supported molybdenum carbide. J. Mol. Catal. A Chem. 2002, 184, 323–333. [Google Scholar] [CrossRef]
- Xu, Y.; Wang, R.; Wang, J.; Li, J.; Jiao, T.; Liu, Z. Facile fabrication of molybdenum compounds (Mo2C.; MoP and MoS2) nanoclusters supported on N-doped reduced graphene oxide for highly efficient hydrogen evolution reaction over broad pH range. Chem. Eng. J. 2021, 417, 129233. [Google Scholar] [CrossRef]
- Sousa, L.A.; Zotin, J.L.; Silva, V.T. Hydrotreatment of sunflower oil using supported molybdenum carbide. Appl. Catal. A-Gen. 2012, 449, 105–111. [Google Scholar] [CrossRef]
- Duan, Y.; Liu, Y.; Chen, Z.; Liu, D.; Yu, E.; Zhang, X.; Fu, H.; Fu, J.; Zhang, J.; Du, H. Amorphous molybdenum sulfide nanocatalysts simultaneously realizing efficient upgrading of residue and synergistic synthesis of 2D MoS2 nanosheets/carbon hierarchical structures. Green Chem. 2020, 22, 44–53. [Google Scholar] [CrossRef]
- Al-Attas, T.A.; Ali, S.A.; Zahir, M.H.; Xiong, Q.G.; Al-Bogami, S.A.; Malaibari, Z.O.; Razzak, S.A.; Hossain, M.H. Recent advances in heavy oil upgrading using dispersed catalysts. Energy Fuels 2019, 33, 7917–7949. [Google Scholar] [CrossRef]
- Zhang, H.; Lin, H.; Zheng, Y. Hydrotreatment of light cycle oil over a dispersed MoS2 catalyst. Int. J. Chem. React. Eng. 2016, 14, 703–711. [Google Scholar] [CrossRef]
- Deng, W.; Lu, J.; Li, C. Hydrogenation behavior of bicyclic aromatic hydrocarbons in the presence of a dispersed catalyst. Energy Fuels 2015, 29, 5600–5608. [Google Scholar] [CrossRef]
- Hu, Y.; Da, Z.; Wang, Z. Hydrogenation conversion of phenanthrene over dispersed Mo-based catalysts. China Pet. Process. Petrochem. Technol. 2015, 17, 7–14. [Google Scholar]
- Dutta, R.P.; Schobert, H.H. Hydrogenation/dehydrogenation of polycyclic aromatic hydrocarbons using ammonium tetrathiomolybdate as catalyst precursor. Catal. Today 1996, 31, 65–77. [Google Scholar] [CrossRef]
- Mladenović, D.; Vujković, M.; Mentus, S.; Santos, D.M.F.; Rocha, R.P.; Sequeira, C.A.C.; Figueiredo, J.L.; Šljukić, B. Carbon-supported Mo2C for oxygen reduction reaction electrocatalysis. Nanomaterials 2020, 10, 1805. [Google Scholar] [CrossRef]
- Li, Y.; Yin, Z.; Liu, X.; Cui, M.; Chen, S.; Ma, T. Current progress of molybdenum carbide-based materials for electrocatalysis: Potential electrocatalysts with diverse applications. Mater. Today Chem. 2021, 19, 100411. [Google Scholar] [CrossRef]
- Szymańska-Kolasa, A.; Lewandowski, M.; Sayag, C.; Djéga-Mariadassou, G. Comparison of molybdenum carbide and tungsten carbide for the hydrodesulfurization of dibenzothiophene. Catal. Today 2007, 119, 7–12. [Google Scholar] [CrossRef]
- Dhandapani, B.; Clair, T.S.; Oyama, S.T. Simultaneous hydrodesulfurization, hydrodeoxygenation, and hydrogenation with molybdenum carbide. Appl. Catal. A-Gen. 1998, 168, 219–228. [Google Scholar] [CrossRef]
- Luo, Y.; Jin, G. Catalytic behaviors of molybdenum carbide catalyst for quinoline hydrodenitrogenation (HDN). Ind. Catal. 2009, 17, 16–19. [Google Scholar]
- Gavrilova, N.; Myachina, M.; Nazarov, V.; Skudin, V. Simple synthesis of molybdenum carbides from molybdenum blue nanoparticles. Nanomaterials 2021, 11, 873. [Google Scholar] [CrossRef]
- Dubrovskii, A.R.; Kuznetsov, S.A.; Rebrov, E.V.; Schouten, J.C. Catalytic Mo2C coatings for the water gas shift reaction: Electrosynthesis in molten salts. Kinet. Catal. 2008, 49, 594–598. [Google Scholar] [CrossRef]
- Kuznetsov, S.A.; Dubrovskii, A.R.; Rebrov, E.V.; Schouten, J.C. Electrochemical synthesis of Mo2C catalytical coatings for the water-gas shift reaction. Z. Naturforsch. A 2007, 62, 647–654. [Google Scholar] [CrossRef][Green Version]
- Osman, A.I.; Abu-Dahrieh, J.K.; Nikolay, C.; Fernandez-Garcis, J.; Walker, D.; Walton, R.I.; Rooney, D.W.; Rebrov, E. A highly active and synergistic Pt/Mo2C/Al2O3 catalysts for water-gas shift reaction. Mol. Catal. 2018, 455, 38–47. [Google Scholar] [CrossRef]
- Dubrovskiy, A.R.; Rebrov, E.V.; Kuznetsov, S.A.; Schouten, J.C. A microstructured reactor/heat-exchanger for the water–gas shift reaction operated in the 533–673 K range. Catal. Today 2009, 147, S198–S203. [Google Scholar] [CrossRef]
- Aegerter, P.A.; Qiugley, W.; Simpson, G.J.; Ziegler, D.D.; Logan, J.W.; McCrea, K.R.; Glazier, S.; Bussell, M.E. Thiophene hydrodesulfurization over alumina-supported molybdenum carbide and nitride catalysts: Adsorption sites, catalytic activities, and nature of the active surface. J. Catal. 1996, 164, 109–121. [Google Scholar] [CrossRef]
- Sajkowski, D.J.; Oyama, S.T. Catalytic hydrotreating by molybdenum carbide and nitride: Unsupported Mo2N and Mo2C/A12O3. Appl. Catal. A-Gen. 1996, 134, 339–349. [Google Scholar] [CrossRef]
- Qiu, Z.; Li, Q.; Ma, S.; Li, Z. Effect of final carbonization temperature on catalytic performance of β-Mo2C in quinoline hydrodenitrogenation. J. Fuel Chem. Technol. 2020, 48, 357–368. [Google Scholar]
- Watanabe, I.; Otake, M.; Yoshimoto, M.; Sakanishi, K.; Korai, Y.; Mochida, I. Behaviors of oil-soluble molybdenum complexes to form very fine MoS2 particles in vacuum residue. Fuel 2002, 81, 1515–1520. [Google Scholar] [CrossRef]
- Wang, D.; Liu, T.; Wang, J.; Wu, Z. N, P (S) Co-doped Mo2C/C hybrid electrocatalysts for improved hydrogen generation. Carbon 2018, 139, 845–852. [Google Scholar] [CrossRef]
- Li, M.; Wang, D.; Li, J.; Pan, Z.; Ma, H.; Jiang, Y.; Tian, Z. Facile hydrothermal synthesis of MoS2 nano-sheets with controllable structures and enhanced catalytic performance for anthracene hydrogenation. RSC Adv. 2016, 6, 71534–71542. [Google Scholar] [CrossRef]
- Rao, C.N.R.; Nag, A. Inorganic analogues of graphene. Eur. J. Inorg. Chem. 2010, 2010, 4244–4250. [Google Scholar] [CrossRef]
- Baker, M.A.; Gilmore, R.; Lenardi, C.; Gissler, W. XPS investigation of preferential sputtering of S from MoS2 and determination of MoSx stoichiometry from Mo and S peak positions. Appl. Surf. Sci. 1999, 150, 255–262. [Google Scholar] [CrossRef]
- Wang, F.; Zhang, W.; Jiang, J.; Xu, J.; Zhai, Q.; Wei, L.; Long, F.; Liu, C.; Liu, P.; Tan, W.; et al. Nitrogen-rich carbon-supported ultrafine MoC nanoparticles for the hydrotreatment of oleic acid into diesel-like hydrocarbons. Chem. Eng. J. 2020, 382, 122464. [Google Scholar] [CrossRef]
- Kim, M.; Kim, S.; Song, D.; Oh, S.; Chang, K.J.; Cho, E. Promotion of electrochemical oxygen evolution reaction by chemical coupling of cobalt to molybdenum carbide. Appl. Catal. B Environ. 2018, 227, 340–348. [Google Scholar] [CrossRef]
- Liu, K.; Cao, Y.; Yang, S.; Wu, C.; Zhang, Z.; Zhang, Q.; Zhang, H. Molybdenum carbide promoted cobalt as an efficient catalyst for selective hydrogenation. Ind. Eng. Chem. Res. 2020, 59, 14267–14277. [Google Scholar] [CrossRef]
- Winschel, R.A.; Robbins, G.A.; Burke, F.P. Correlation of microautoclave and 1H n.m.r. measurements of coal liquefaction solvent quality. Fuel 1986, 65, 526–532. [Google Scholar] [CrossRef]
- Abrahamson, J.P.; Wincek, R.T.; Eser, S. Scheme for hydrotreatment of fluid catalytic cracking decant oil with reduced hydrogen consumption and high needle coke yield upon carbonization. Energy Fuels 2016, 30, 8150–8155. [Google Scholar] [CrossRef]












| Items | Value |
|---|---|
| Density ρ20/(g·cm−3) | 0.9773 |
| Kinematic viscosity η80/(mm2·s−1) | 98.60 |
| Kinematic viscosity η100/(mm2·s−1) | 50.10 |
| Solid content wt/% | 0.26 |
| Carbon residue wt/% | 10.76 |
| Ash wt/% | 0.16 |
| Ni (µg·g−1) | 67.84 |
| V (µg·g−1) | <3.0 |
| Saturates (wt%) | 34.64 |
| Aromatics (wt%) | 45.23 |
| Colloid (wt%) | 19.49 |
| C7-asphaltenes (wt%) | 0.64 |
| Density ρ20/(g·cm−3) | 0.9773 |
| Kinematic viscosity η80/(mm2·s−1) | 98.60 |
| Samples | F1 | F2 | F3 | F4 | F5 |
|---|---|---|---|---|---|
| C/% | 87.79 | 87.80 | 87.81 | 87.84 | 87.86 |
| H/% | 11.25 | 11.29 | 11.33 | 11.39 | 11.41 |
| S/% | 0.41 | 0.32 | 0.26 | 0.24 | 0.22 |
| N/% | 0.31 | 0.29 | 0.27 | 0.25 | 0.23 |
| H/C | 1.54 | 1.54 | 1.55 | 1.56 | 1.56 |
| molecular weight | 593 | 591 | 590 | 585 | 580 |
| Chemical Shift (ppm) | Hydrogen Type | Symbol | F1 | F2 | F3 | F4 | F5 |
|---|---|---|---|---|---|---|---|
| 0.5–1.0 | Terminal methyl hydrogens of paraffins or of alkyl side chains three or more positions from an aromatic ring. | Hγ | 22.58 | 23.10 | 23.29 | 23.90 | 23.95 |
| 1.0–1.4 | Interior hydrogens of paraffins. Methyl hydrogens two positions from an aromatic ring. Non-cyclic methylene or methylidyne hydrogens two or more positions from an aromatic ring. | Hβ | 44.16 | 43.98 | 43.61 | 42.40 | 41.87 |
| 1.4–2.0 | Naphthenic hydrogens. Naphthenic hydrogens two positions from the aromatic ring of naphtheno-aromatics. | Hcβ | 7.64 | 7.91 | 8.14 | 8.45 | 8.64 |
| 2.0–2.5 | Methyl or non-cyclic methylene or methylidyne hydrogen adjacent to aromatic ring. | Hα | 5.87 | 6.15 | 6.27 | 6.64 | 6.82 |
| 2.5–4.5 | Hydrogen on naphthenic carbon adjacent to fused aromatic ring of naphtheno-aromatic. | Hcα | 6.36 | 6.82 | 6.96 | 7.28 | 7.54 |
| 4.5–6.5 | Hydrogens in olefin. | Ho | 2.04 | 0.87 | 0.67 | 0.55 | 0.36 |
| 6.5–9.0 | Hydrogens in aromatic ring. | Hcar | 11.35 | 11.17 | 11.06 | 10.78 | 10.82 |
| Structural Parameters | F1 | F2 | F3 | F4 | F5 |
|---|---|---|---|---|---|
| fA | 0.32 | 0.32 | 0.31 | 0.31 | 0.31 |
| fN | 0.10 | 0.11 | 0.11 | 0.11 | 0.11 |
| fP | 0.58 | 0.58 | 0.58 | 0.59 | 0.59 |
| RA | 2.96 | 2.90 | 2.86 | 2.77 | 2.73 |
| RN | 1.10 | 1.14 | 1.14 | 1.16 | 1.14 |
| RT | 4.06 | 4.04 | 4.00 | 3.93 | 3.87 |
Publisher’s Note: MDPI stays neutral with regard to jurisdictional claims in published maps and institutional affiliations. |
© 2021 by the authors. Licensee MDPI, Basel, Switzerland. This article is an open access article distributed under the terms and conditions of the Creative Commons Attribution (CC BY) license (https://creativecommons.org/licenses/by/4.0/).
Share and Cite
Liu, H.; Qiu, Z.; Pan, H.; Guo, A.; Jiao, S.; Wang, F.; Chen, K.; Wang, Z. Molybdenum Carbide and Sulfide Nanoparticles as Selective Hydrotreating Catalysts for FCC Slurry Oil to Remove Olefins and Sulfur. Nanomaterials 2021, 11, 2721. https://doi.org/10.3390/nano11102721
Liu H, Qiu Z, Pan H, Guo A, Jiao S, Wang F, Chen K, Wang Z. Molybdenum Carbide and Sulfide Nanoparticles as Selective Hydrotreating Catalysts for FCC Slurry Oil to Remove Olefins and Sulfur. Nanomaterials. 2021; 11(10):2721. https://doi.org/10.3390/nano11102721
Chicago/Turabian StyleLiu, He, Zhipeng Qiu, Huihui Pan, Aijun Guo, Shouhui Jiao, Feng Wang, Kun Chen, and Zongxian Wang. 2021. "Molybdenum Carbide and Sulfide Nanoparticles as Selective Hydrotreating Catalysts for FCC Slurry Oil to Remove Olefins and Sulfur" Nanomaterials 11, no. 10: 2721. https://doi.org/10.3390/nano11102721
APA StyleLiu, H., Qiu, Z., Pan, H., Guo, A., Jiao, S., Wang, F., Chen, K., & Wang, Z. (2021). Molybdenum Carbide and Sulfide Nanoparticles as Selective Hydrotreating Catalysts for FCC Slurry Oil to Remove Olefins and Sulfur. Nanomaterials, 11(10), 2721. https://doi.org/10.3390/nano11102721
