Bimetallic Ni-Based Catalysts for CO2 Methanation: A Review
Abstract
1. Introduction
2. Promotion with Transition Metals
2.1. Promotion with Fe
2.2. Promotion with Co
2.3. Promotion with Cu
3. Promotion with Noble Metals
3.1. Promotion with Ru
3.2. Promotion with Rh
3.3. Promotion with Pt
3.4. Promotion with Pd
3.5. Promotion with Re
4. Conclusions
Author Contributions
Funding
Institutional Review Board Statement
Informed Consent Statement
Data Availability Statement
Conflicts of Interest
References
- Mardani, A.; Štreimikienė, D.; Cavallaro, F.; Loganathan, N.; Khoshnoudi, M. Carbon dioxide (CO2) emissions and economic growth: A systematic review of two decades of research from 1995 to 2017. Sci. Total. Environ. 2019, 649, 31–49. [Google Scholar] [CrossRef]
- Gielen, D.; Boshell, F.; Saygin, D.; Bazilian, M.D.; Wagner, N.; Gorini, R. The role of renewable energy in the global energy transformation. Energy Strategy Rev. 2019, 24, 38–50. [Google Scholar] [CrossRef]
- Yentekakis, I.V.; Dong, F. Grand Challenges for Catalytic Remediation in Environmental and Energy Applications toward a Cleaner and Sustainable Future. Front. Environ. Chem. 2020, 1, 5. [Google Scholar] [CrossRef]
- Ren, J.; Musyoka, N.M.; Langmi, H.W.; Mathe, M.; Liao, S. Current research trends and perspectives on materials-based hydrogen storage solutions: A critical review. Int. J. Hydrogen Energy 2017, 42, 289–311. [Google Scholar] [CrossRef]
- Thema, M.; Bauer, F.; Sterner, M. Power-to-Gas: Electrolysis and methanation status review. Renew. Sustain. Energy Rev. 2019, 112, 775–787. [Google Scholar] [CrossRef]
- Lv, C.; Xu, L.; Chen, M.; Cui, Y.; Wen, X.; Li, Y.; Wu, C.E.; Yang, B.; Miao, Z.; Hu, X.; et al. Recent Progresses in Constructing the Highly Efficient Ni Based Catalysts with Advanced Low-Temperature Activity Toward CO2 Methanation. Front. Chem. 2020, 8, 269. [Google Scholar] [CrossRef]
- Lee, W.J.; Li, C.; Prajitno, H.; Yoo, J.; Patel, J.; Yang, Y.; Lim, S. Recent trend in thermal catalytic low temperature CO2 methanation: A critical review. Catal. Today 2020. [Google Scholar] [CrossRef]
- Charisiou, N.D.; Siakavelas, G.; Tzounis, L.; Sebastian, V.; Monzon, A.; Baker, M.A.; Hinder, S.J.; Polychronopoulou, K.; Yentekakis, I.V.; Goula, M.A. An in depth investigation of deactivation through carbon formation during the biogas dry reforming reaction for Ni supported on modified with CeO2 and La2O3 zirconia catalysts. Int. J. Hydrogen Energy 2018, 43, 18955–18976. [Google Scholar] [CrossRef]
- Charisiou, N.D.; Papageridis, K.N.; Tzounis, L.; Sebastian, V.; Hinder, S.J.; Baker, M.A.; AlKetbi, M.; Polychronopoulou, K.; Goula, M.A. Ni supported on CaO-MgO-Al2O3 as a highly selective and stable catalyst for H2 production via the glycerol steam reforming reaction. Int. J. Hydrogen Energy 2019, 44, 256–273. [Google Scholar] [CrossRef]
- Charisiou, N.D.; Tzounis, L.; Sebastian, V.; Hinder, S.J.; Baker, M.A.; Polychronopoulou, K.; Goula, M.A. Investigating the correlation between deactivation and the carbon deposited on the surface of Ni/Al2O3 and Ni/La2O3 -Al2O3 catalysts during the biogas reforming reaction. Appl. Surf. Sci. 2019, 474, 42–56. [Google Scholar] [CrossRef]
- Papageridis, K.N.; Charisiou, N.D.; Douvartzides, S.; Sebastian, V.; Hinder, S.J.; Baker, M.A.; AlKhoori, S.; Polychronopoulou, K.; Goula, M.A. Promoting effect of CaO-MgO mixed oxide on Ni/γ-Al2O3 catalyst for selective catalytic deoxygenation of palm oil. Renew. Energy 2020, 162, 1793–1810. [Google Scholar] [CrossRef]
- Cárdenas-Arenas, A.; Quindimil, A.; Davó-Quiñonero, A.; Bailón-García, E.; Lozano-Castelló, D.; De-La-Torre, U.; Pereda-Ayo, B.; González-Marcos, J.A.; González-Velasco, J.R.; Bueno-López, A. Isotopic and in situ DRIFTS study of the CO2 methanation mechanism using Ni/CeO2 and Ni/Al2O3 catalysts. Appl. Catal. B Environ. 2020, 265, 118538. [Google Scholar] [CrossRef]
- Tsiotsias, A.I.; Charisiou, N.D.; Yentekakis, I.V.; Goula, M.A. The Role of Alkali and Alkaline Earth Metals in the CO2 Methanation Reaction and the Combined Capture and Methanation of CO2. Catalysts 2020, 10, 812. [Google Scholar] [CrossRef]
- Siakavelas, G.I.; Charisiou, N.D.; AlKhoori, S.; AlKhoori, A.A.; Sebastian, V.; Hinder, S.J.; Baker, M.A.; Yentekakis, I.V.; Polychronopoulou, K.; Goula, M.A. Highly selective and stable nickel catalysts supported on ceria promoted with Sm2O3, Pr2O3 and MgO for the CO2 methanation reaction. Appl. Catal. B Environ. 2021, 282, 119562. [Google Scholar] [CrossRef]
- Everett, O.E.; Zonetti, P.C.; Alves, O.C.; de Avillez, R.R.; Appel, L.G. The role of oxygen vacancies in the CO2 methanation employing Ni/ZrO2 doped with Ca. Int. J. Hydrogen Energy 2020, 45, 6352–6359. [Google Scholar] [CrossRef]
- Garbarino, G.; Wang, C.; Cavattoni, T.; Finocchio, E.; Riani, P.; Flytzani-Stephanopoulos, M.; Busca, G. A study of Ni/La-Al2O3 catalysts: A competitive system for CO2 methanation. Appl. Catal. B Environ. 2019, 248, 286–297. [Google Scholar] [CrossRef]
- Liu, K.; Xu, X.; Xu, J.; Fang, X.; Liu, L.; Wang, X. The distributions of alkaline earth metal oxides and their promotional effects on Ni/CeO2 for CO2 methanation. J. CO2 Util. 2020, 38, 113–124. [Google Scholar] [CrossRef]
- Garbarino, G.; Bellotti, D.; Finocchio, E.; Magistri, L.; Busca, G. Methanation of carbon dioxide on Ru/Al2O3: Catalytic activity and infrared study. Catal. Today 2016, 277, 21–28. [Google Scholar] [CrossRef]
- Botzolaki, G.; Goula, G.; Rontogianni, A.; Nikolaraki, E.; Chalmpes, N.; Zygouri, P.; Karakassides, M.; Gournis, D.; Charisiou, N.D.; Goula, M.A.; et al. CO2 Methanation on Supported Rh Nanoparticles: The combined Effect of Support Oxygen Storage Capacity and Rh Particle Size. Catalysts 2020, 10, 944. [Google Scholar] [CrossRef]
- Falbo, L.; Visconti, C.G.; Lietti, L.; Szanyi, J. The effect of CO on CO2 methanation over Ru/Al2O3 catalysts: A combined steady-state reactivity and transient DRIFT spectroscopy study. Appl. Catal. B Environ. 2019, 256, 117791. [Google Scholar] [CrossRef]
- Arellano-Treviño, M.A.; He, Z.; Libby, M.C.; Farrauto, R.J. Catalysts and adsorbents for CO2 capture and conversion with dual function materials: Limitations of Ni-containing DFMs for flue gas applications. J. CO2 Util. 2019, 31, 143–151. [Google Scholar] [CrossRef]
- Porta, A.; Visconti, C.G.; Castoldi, L.; Matarrese, R.; Jeong-Potter, C.; Farrauto, R.; Lietti, L. Ru-Ba synergistic effect in dual functioning materials for cyclic CO2 capture and methanation. Appl. Catal. B Environ. 2021, 283, 119654. [Google Scholar] [CrossRef]
- Bian, Z.; Das, S.; Wai, M.H.; Hongmanorom, P.; Kawi, S. A Review on Bimetallic Nickel-Based Catalysts for CO2 Reforming of Methane. ChemPhysChem 2017, 18, 3117–3134. [Google Scholar] [CrossRef] [PubMed]
- De, S.; Zhang, J.; Luque, R.; Yan, N. Ni-based bimetallic heterogeneous catalysts for energy and environmental applications. Energy Environ. Sci. 2016, 9, 3314–3347. [Google Scholar] [CrossRef]
- Mangla, A.; Deo, G.; Apte, P.A. NiFe local ordering in segregated Ni3Fe alloys: A simulation study using angular dependent potential. Comput. Mater. Sci. 2018, 153, 449–460. [Google Scholar] [CrossRef]
- Mutz, B.; Belimov, M.; Wang, W.; Sprenger, P.; Serrer, M.A.; Wang, D.; Pfeifer, P.; Kleist, W.; Grunwaldt, J.D. Potential of an alumina-supported Ni3Fe catalyst in the methanation of CO2: Impact of alloy formation on activity and stability. ACS Catal. 2017, 7, 6802–6814. [Google Scholar] [CrossRef]
- Bieniek, B.; Pohl, D.; Schultz, L.; Rellinghaus, B. The effect of oxidation on the surface-near lattice relaxation in FeNi nanoparticles. J. Nanoparticle Res. 2011, 13, 5935–5946. [Google Scholar] [CrossRef]
- Andersson, M.P.; Bligaard, T.; Kustov, A.; Larsen, K.E.; Greeley, J.; Johannessen, T.; Christensen, C.H.; Nørskov, J.K. Toward computational screening in heterogeneous catalysis: Pareto-optimal methanation catalysts. J. Catal. 2006, 239, 501–506. [Google Scholar] [CrossRef]
- Álvarez, A.M.; Bobadilla, L.F.; Garcilaso, V.; Centeno, M.A.; Odriozola, J.A. CO2 reforming of methane over Ni-Ru supported catalysts: On the nature of active sites by operando DRIFTS study. J. CO2 Util. 2018, 24, 509–515. [Google Scholar]
- Zhen, W.; Li, B.; Lu, G.; Ma, J. Enhancing catalytic activity and stability for CO2 methanation on Ni-Ru/γ-Al2O3 via modulating impregnation sequence and controlling surface active species. RSC Adv. 2014, 4, 16472–16479. [Google Scholar] [CrossRef]
- Kikkawa, S.; Teramura, K.; Asakura, H.; Hosokawa, S.; Tanaka, T. Isolated Platinum Atoms in Ni/γ-Al2O3 for Selective Hydrogenation of CO2 toward CH4. J. Phys. Chem. C 2019, 123, 23446–23454. [Google Scholar] [CrossRef]
- Li, Y.; Zhang, H.; Zhang, L.; Zhang, H. Bimetallic Ni-Pd/SBA-15 alloy as an effective catalyst for selective hydrogenation of CO2 to methane. Int. J. Hydrogen Energy 2019, 44, 13354–13363. [Google Scholar] [CrossRef]
- Renda, S.; Ricca, A.; Palma, V. Study of the effect of noble metal promotion in Ni-based catalyst for the Sabatier reaction. Int. J. Hydrogen Energy 2020, in press. [Google Scholar] [CrossRef]
- Ashok, J.; Ang, M.L.; Kawi, S. Enhanced activity of CO2 methanation over Ni/CeO2-ZrO2 catalysts: Influence of preparation methods. Catal. Today 2017, 281, 304–311. [Google Scholar] [CrossRef]
- Kesavan, J.K.; Luisetto, I.; Tuti, S.; Meneghini, C.; Iucci, G.; Battocchio, C.; Mobilio, S.; Casciardi, S.; Sisto, R. Nickel supported on YSZ: The effect of Ni particle size on the catalytic activity for CO2 methanation. J. CO2 Util. 2018, 23, 200–211. [Google Scholar] [CrossRef]
- Vrijburg, W.L.; Garbarino, G.; Chen, W.; Parastaev, A.; Longo, A.; Pidko, E.A.; Hensen, E.J.M. Ni-Mn catalysts on silica-modified alumina for CO2 methanation. J. Catal. 2020, 382, 358–371. [Google Scholar] [CrossRef]
- Liu, Q.; Bian, B.; Fan, J.; Yang, J. Cobalt doped Ni based ordered mesoporous catalysts for CO2 methanation with enhanced catalytic performance. Int. J. Hydrogen Energy 2018, 43, 4893–4901. [Google Scholar] [CrossRef]
- Ray, K.; Deo, G. A potential descriptor for the CO2 hydrogenation to CH4 over Al2O3 supported Ni and Ni-based alloy catalysts. Appl. Catal. B Environ. 2017, 218, 525–537. [Google Scholar] [CrossRef]
- Mebrahtu, C.; Krebs, F.; Perathoner, S.; Abate, S.; Centi, G.; Palkovits, R. Hydrotalcite based Ni-Fe/(Mg,Al)OX catalysts for CO2 methanation-tailoring Fe content for improved CO dissociation, basicity, and particle size. Catal. Sci. Technol. 2018, 8, 1016–1027. [Google Scholar] [CrossRef]
- Sehested, J.; Larsen, K.E.; Kustov, A.L.; Frey, A.M.; Johannessen, T.; Bligaard, T.; Andersson, M.P.; Nørskov, J.K.; Christensen, C.H. Discovery of technical methanation catalysts based on computational screening. Top. Catal. 2007, 45, 9–13. [Google Scholar] [CrossRef]
- Kang, S.H.; Ryu, J.H.; Kim, J.H.; Seo, S.J.; Yoo, Y.D.; Sai Prasad, P.S.; Lim, H.J.; Byun, C.D. Co-methanation of CO and CO2 on the NiX-Fe1-X/Al2O3 catalysts; effect of Fe contents. Korean J. Chem. Eng. 2011, 28, 2282–2286. [Google Scholar] [CrossRef]
- Pandey, D.; Deo, G. Effect of support on the catalytic activity of supported Ni-Fe catalysts for the CO2 methanation reaction. J. Ind. Eng. Chem. 2016, 33, 99–107. [Google Scholar] [CrossRef]
- Pandey, D.; Deo, G. Promotional effects in alumina and silica supported bimetallic Ni-Fe catalysts during CO2 hydrogenation. J. Mol. Catal. A Chem. 2014, 382, 23–30. [Google Scholar] [CrossRef]
- Pandey, D.; Deo, G. Determining the Best Composition of a Ni–Fe/Al2O3 Catalyst used for the CO2 Hydrogenation Reaction by Applying Response Surface Methodology. Chem. Eng. Commun. 2016, 203, 372–380. [Google Scholar] [CrossRef]
- Ray, K.; Bhardwaj, R.; Singh, B.; Deo, G. Developing descriptors for CO2 methanation and CO2 reforming of CH4 over Al2O3 supported Ni and low-cost Ni based alloy catalysts. Phys. Chem. Chem. Phys. 2018, 20, 15939–15950. [Google Scholar] [CrossRef]
- Mutz, B.; Sprenger, P.; Wang, W.; Wang, D.; Kleist, W.; Grunwaldt, J.D. Operando Raman spectroscopy on CO2 methanation over alumina-supported Ni, Ni3Fe and NiRh0.1 catalysts: Role of carbon formation as possible deactivation pathway. Appl. Catal. A Gen. 2018, 556, 160–171. [Google Scholar] [CrossRef]
- Farsi, S.; Olbrich, W.; Pfeifer, P.; Dittmeyer, R. A consecutive methanation scheme for conversion of CO2—A study on Ni3Fe catalyst in a short-contact time micro packed bed reactor. Chem. Eng. J. 2020, 388, 124233. [Google Scholar] [CrossRef]
- Serrer, M.A.; Kalz, K.F.; Saraci, E.; Lichtenberg, H.; Grunwaldt, J.D. Role of Iron on the Structure and Stability of Ni3.2Fe/Al2O3 during Dynamic CO2 Methanation for P2X Applications. ChemCatChem 2019, 11, 5018–5021. [Google Scholar] [CrossRef]
- Serrer, M.-A.; Gaur, A.; Jelic, J.; Weber, S.; Fritsch, C.; Clark, A.H.; Saraçi, E.; Studt, F.; Grunwaldt, J.-D. Structural dynamics in Ni–Fe catalysts during CO2 methanation—Role of iron oxide clusters. Catal. Sci. Technol. 2020, 10, 7542–7554. [Google Scholar] [CrossRef]
- Mebrahtu, C.; Perathoner, S.; Giorgianni, G.; Chen, S.; Centi, G.; Krebs, F.; Palkovits, R.; Abate, S. Deactivation mechanism of hydrotalcite-derived Ni-AlOX catalysts during low-temperature CO2 methanation via Ni-hydroxide formation and the role of Fe in limiting this effect. Catal. Sci. Technol. 2019, 9, 4023–4035. [Google Scholar] [CrossRef]
- Giorgianni, G.; Mebrahtu, C.; Schuster, M.E.; Large, A.I.; Held, G.; Ferrer, P.; Venturini, F.; Grinter, D.; Palkovits, R.; Perathoner, S.; et al. Elucidating the mechanism of the CO2 methanation reaction over Ni-Fe hydrotalcite-derived catalysts via surface-sensitive in situ XPS and NEXAFS. Phys. Chem. Chem. Phys. 2020, 22, 18788–18797. [Google Scholar] [CrossRef] [PubMed]
- Huynh, H.L.; Tucho, W.M.; Yu, X.; Yu, Z. Synthetic natural gas production from CO2 and renewable H2: Towards large-scale production of Ni–Fe alloy catalysts for commercialization. J. Clean. Prod. 2020, 264, 121720. [Google Scholar] [CrossRef]
- Huynh, H.L.; Zhu, J.; Zhang, G.; Shen, Y.; Tucho, W.M.; Ding, Y.; Yu, Z. Promoting effect of Fe on supported Ni catalysts in CO2 methanation by in situ DRIFTS and DFT study. J. Catal. 2020, 392, 266–277. [Google Scholar] [CrossRef]
- Huynh, H.L.; Tucho, W.M.; Yu, Z. Structured NiFe catalysts derived from in-situ grown layered double hydroxides on ceramic monolith for CO2 methanation. Green Energy Environ. 2020, in press. [Google Scholar] [CrossRef]
- Burger, T.; Koschany, F.; Thomys, O.; Köhler, K.; Hinrichsen, O. CO2 methanation over Fe- and Mn-promoted co-precipitated Ni-Al catalysts: Synthesis, characterization and catalysis study. Appl. Catal. A Gen. 2018, 558, 44–54. [Google Scholar] [CrossRef]
- Georgiadis, A.G.; Charisiou, N.D.; Goula, M.A. Removal of hydrogen sulfide from various industrial gases: A review of the most promising adsorbing materials. Catalysts 2020, 10, 521. [Google Scholar] [CrossRef]
- Wolf, M.; Wong, L.H.; Schüler, C.; Hinrichsen, O. CO2 methanation on transition-metal-promoted Ni-Al catalysts: Sulfur poisoning and the role of CO2 adsorption capacity for catalyst activity. J. CO2 Util. 2020, 36, 276–287. [Google Scholar] [CrossRef]
- Burger, T.; Augenstein, H.M.S.; Hnyk, F.; Döblinger, M.; Köhler, K.; Hinrichsen, O. Targeted Fe-Doping of Ni−Al Catalysts via the Surface Redox Reaction Technique for Unravelling its Promoter Effect in the CO2 Methanation Reaction. ChemCatChem 2020, 12, 649–662. [Google Scholar] [CrossRef]
- Burger, T.; Ewald, S.; Niederdränk, A.; Wagner, F.E.; Köhler, K.; Hinrichsen, O. Enhanced activity of co-precipitated NiFeAlOx in CO2 methanation by segregation and oxidation of Fe. Appl. Catal. A Gen. 2020, 604, 117778. [Google Scholar] [CrossRef]
- Li, Z.; Zhao, T.; Zhang, L. Promotion effect of additive Fe on Al2O3 supported Ni catalyst for CO2 methanation. Appl. Organomet. Chem. 2018, 32, 1–7. [Google Scholar] [CrossRef]
- Liang, C.; Ye, Z.; Dong, D.; Zhang, S.; Liu, Q.; Chen, G.; Li, C.; Wang, Y.; Hu, X. Methanation of CO2: Impacts of modifying nickel catalysts with variable-valence additives on reaction mechanism. Fuel 2019, 254, 115654. [Google Scholar] [CrossRef]
- Daroughegi, R.; Meshkani, F.; Rezaei, M. Characterization and evaluation of mesoporous high surface area promoted Ni-Al2O3 catalysts in CO2 methanation. J. Energy Inst. 2020, 93, 482–495. [Google Scholar] [CrossRef]
- Aziz, M.A.A.; Jalil, A.A.; Triwahyono, S.; Ahmad, A. CO2 methanation over heterogeneous catalysts: Recent progress and future prospects. Green Chem. 2015, 17, 2647–2663. [Google Scholar] [CrossRef]
- Ren, J.; Qin, X.; Yang, J.Z.; Qin, Z.F.; Guo, H.L.; Lin, J.Y.; Li, Z. Methanation of carbon dioxide over Ni-M/ZrO2 (M = Fe, Co, Cu) catalysts: Effect of addition of a second metal. Fuel Process. Technol. 2015, 137, 204–211. [Google Scholar] [CrossRef]
- Yan, B.; Zhao, B.; Kattel, S.; Wu, Q.; Yao, S.; Su, D.; Chen, J.G. Tuning CO2 hydrogenation selectivity via metal-oxide interfacial sites. J. Catal. 2019, 374, 60–71. [Google Scholar] [CrossRef]
- Lu, H.; Yang, X.; Gao, G.; Wang, J.; Han, C.; Liang, X.; Li, C.; Li, Y.; Zhang, W.; Chen, X. Metal (Fe, Co, Ce or La) doped nickel catalyst supported on ZrO2 modified mesoporous clays for CO and CO2 methanation. Fuel 2016, 183, 335–344. [Google Scholar] [CrossRef]
- Wu, Y.; Lin, J.; Xu, Y.; Ma, G.; Wang, J.; Ding, M. Transition metals modified Ni-M (M = Fe, Co, Cr and Mn) catalysts supported on Al2O3-ZrO2 for low-temperature CO2 methanation. ChemCatChem 2020, 12, 3553–3559. [Google Scholar] [CrossRef]
- Winter, L.R.; Gomez, E.; Yan, B.; Yao, S.; Chen, J.G. Tuning Ni-catalyzed CO2 hydrogenation selectivity via Ni-ceria support interactions and Ni-Fe bimetallic formation. Appl. Catal. B Environ. 2018, 224, 442–450. [Google Scholar] [CrossRef]
- Pastor-Pérez, L.; Le Saché, E.; Jones, C.; Gu, S.; Arellano-Garcia, H.; Reina, T.R. Synthetic natural gas production from CO2 over Ni-x/CeO2-ZrO2 (x = Fe, Co) catalysts: Influence of promoters and space velocity. Catal. Today 2018, 317, 108–113. [Google Scholar] [CrossRef]
- Le Saché, E.; Pastor-Pérez, L.; Haycock, B.J.; Villora-Picó, J.J.; Sepúlveda-Escribano, A.; Reina, T.R. Switchable Catalysts for Chemical CO2 Recycling: A Step Forward in the Methanation and Reverse Water-Gas Shift Reactions. ACS Sustain. Chem. Eng. 2020, 8, 4614–4622. [Google Scholar] [CrossRef]
- Frontera, P.; Macario, A.; Monforte, G.; Bonura, G.; Ferraro, M.; Dispenza, G.; Antonucci, V.; Aricò, A.S.; Antonucci, P.L. The role of Gadolinia Doped Ceria support on the promotion of CO2 methanation over Ni and Ni–Fe catalysts. Int. J. Hydrogen Energy 2017, 42, 26828–26842. [Google Scholar] [CrossRef]
- Liu, J.; Bing, W.; Xue, X.; Wang, F.; Wang, B.; He, S.; Zhang, Y.; Wei, M. Alkaline-assisted Ni nanocatalysts with largely enhanced low-temperature activity toward CO2 methanation. Catal. Sci. Technol. 2016, 6, 3976–3983. [Google Scholar] [CrossRef]
- Gonçalves, L.P.L.; Sousa, J.P.S.; Soares, O.S.G.P.; Bondarchuk, O.; Lebedev, O.I.; Kolen’ko, Y.V.; Pereira, M.F.R. The role of surface properties in CO2 methanation over carbon-supported Ni catalysts and their promotion by Fe. Catal. Sci. Technol. 2020, 10, 7217–7225. [Google Scholar] [CrossRef]
- Wang, G.; Xu, S.; Jiang, L.; Wang, C. Nickel supported on iron-bearing olivine for CO2 methanation. Int. J. Hydrogen Energy 2016, 41, 12910–12919. [Google Scholar] [CrossRef]
- Thalinger, R.; Gocyla, M.; Heggen, M.; Dunin-Borkowski, R.; Grünbacher, M.; Stöger-Pollach, M.; Schmidmair, D.; Klötzer, B.; Penner, S. Ni-perovskite interaction and its structural and catalytic consequences in methane steam reforming and methanation reactions. J. Catal. 2016, 337, 26–35. [Google Scholar] [CrossRef]
- Kayaalp, B.; Lee, S.; Klauke, K.; Seo, J.; Nodari, L.; Kornowski, A.; Jung, W.; Mascotto, S. Template-free mesoporous La0.3Sr0.7Ti1-xFexO3±δ for CH4 and CO oxidation catalysis. Appl. Catal. B Environ. 2019, 245, 536–545. [Google Scholar] [CrossRef]
- Pandey, D.; Ray, K.; Bhardwaj, R.; Bojja, S.; Chary, K.V.R.; Deo, G. Promotion of unsupported nickel catalyst using iron for CO2 methanation. Int. J. Hydrogen Energy 2018, 43, 4987–5000. [Google Scholar] [CrossRef]
- Zhao, B.; Liu, P.; Li, S.; Shi, H.; Jia, X.; Wang, Q.; Yang, F.; Song, Z.; Guo, C.; Hu, J.; et al. Bimetallic Ni-Co nanoparticles on SiO2 as robust catalyst for CO methanation: Effect of homogeneity of Ni-Co alloy. Appl. Catal. B Environ. 2020, 278, 119307. [Google Scholar] [CrossRef]
- Guo, M.; Lu, G. The regulating effects of cobalt addition on the catalytic properties of silica-supported Ni–Co bimetallic catalysts for CO2 methanation. React. Kinet. Mech. Catal. 2014, 113, 101–113. [Google Scholar] [CrossRef]
- Xu, L.; Lian, X.; Chen, M.; Cui, Y.; Wang, F.; Li, W.; Huang, B. CO2 methanation over Co–Ni bimetal-doped ordered mesoporous Al2O3 catalysts with enhanced low-temperature activities. Int. J. Hydrogen Energy 2018, 43, 17172–17184. [Google Scholar] [CrossRef]
- Alrafei, B.; Polaert, I.; Ledoux, A.; Azzolina-Jury, F. Remarkably stable and efficient Ni and Ni-Co catalysts for CO2 methanation. Catal. Today 2020, 346, 23–33. [Google Scholar] [CrossRef]
- Fatah, N.A.A.; Jalil, A.A.; Salleh, N.F.M.; Hamid, M.Y.S.; Hassan, Z.H.; Nawawi, M.G.M. Elucidation of cobalt disturbance on Ni/Al2O3 in dissociating hydrogen towards improved CO2 methanation and optimization by response surface methodology (RSM). Int. J. Hydrogen Energy 2020, 45, 18562–18573. [Google Scholar] [CrossRef]
- Razzaq, R.; Zhu, H.; Jiang, L.; Muhammad, U.; Li, C.; Zhang, S. Catalytic methanation of CO and CO2 in coke oven gas over Ni-Co/ZrO2-CeO2. Ind. Eng. Chem. Res. 2013, 52, 2247–2256. [Google Scholar] [CrossRef]
- Zhu, H. Catalytic Methanation of Carbon Dioxide by Active Oxygen Material CexZr1-xO2 Supported Ni-Co Bimetallic Nanocatalysts. AIChE J. 2012, 59, 215–228. [Google Scholar]
- Pastor-Pérez, L.; Patel, V.; Le Saché, E.; Reina, T.R. CO2 methanation in the presence of methane: Catalysts design and effect of methane concentration in the reaction mixture. J. Energy Inst. 2020, 93, 415–424. [Google Scholar] [CrossRef]
- Frontera, P.; Malara, A.; Modafferi, V.; Antonucci, V.; Antonucci, P.; Macario, A. Catalytic activity of Ni–Co supported metals in carbon dioxides methanation. Can. J. Chem. Eng. 2020, 98, 1924–1934. [Google Scholar] [CrossRef]
- Jia, C.; Dai, Y.; Yang, Y.; Chew, J.W. Nickel–cobalt catalyst supported on TiO2-coated SiO2 spheres for CO2 methanation in a fluidized bed. Int. J. Hydrogen Energy 2019, 44, 13443–13455. [Google Scholar] [CrossRef]
- Varun, Y.; Sreedhar, I.; Singh, S.A. Highly stable M/NiO–MgO (M = Co, Cu and Fe) catalysts towards CO2 methanation. Int. J. Hydrogen Energy 2020, 45, 28716–28731. [Google Scholar] [CrossRef]
- Zhang, T.; Liu, Q. Mesostructured cellular foam silica supported bimetallic LaNi1-xCoxO3 catalyst for CO2 methanation. Int. J. Hydrogen Energy 2020, 45, 4417–4426. [Google Scholar] [CrossRef]
- Dias, Y.R.; Perez-Lopez, O.W. Carbon dioxide methanation over Ni-Cu/SiO2 catalysts. Energy Convers. Manag. 2020, 203, 112214. [Google Scholar] [CrossRef]
- Goula, G.; Botzolaki, G.; Osatiashtiani, A.; Parlett, C.M.A.; Kyriakou, G.; Lambert, R.M.; Yentekakis, I.V. Oxidative thermal sintering and redispersion of Rh nanoparticles on supports with high oxygen ion lability. Catalysts 2019, 9, 541. [Google Scholar] [CrossRef]
- Yentekakis, I.V.; Goula, G.; Panagiotopoulou, P.; Katsoni, A.; Diamadopoulos, E.; Mantzavinos, D.; Delimitis, A. Dry reforming of methane: Catalytic performance and stability of Ir catalysts supported on γ-Al2O3, Zr0.92Y0.08O2-δ (YSZ) or Ce0.9Gd0.1O2-δ (GDC) supports. Top. Catal. 2015, 58, 1228–1241. [Google Scholar] [CrossRef]
- Yentekakis, I.V.; Goula, G.; Panagiotopoulou, P.; Kampouri, S.; Taylor, M.J.; Kyriakou, G.; Lambert, R.M. Stabilization of catalyst particles against sintering on oxide supports with high oxygen ion lability exemplified by Ir-catalysed decomposition of N2O. Appl. Catal. B 2016, 192, 357–364. [Google Scholar] [CrossRef]
- Polanski, J.; Lach, D.; Kapkowski, M.; Bartczak, P.; Siudyga, T.; Smolinski, A. Ru and Ni—Privileged Metal Combination for Environmental Nanocatalysis. Catalysts 2020, 10, 992. [Google Scholar] [CrossRef]
- Lange, F.; Armbruster, U.; Martin, A. Heterogeneously-Catalyzed Hydrogenation of Carbon Dioxide to Methane using RuNi Bimetallic Catalysts. Energy Technol. 2015, 3, 55–62. [Google Scholar] [CrossRef]
- Hwang, S.; Lee, J.; Hong, U.G.; Baik, J.H.; Koh, D.J.; Lim, H.; Song, I.K. Methanation of carbon dioxide over mesoporous Ni-Fe-Ru-Al2O3 xerogel catalysts: Effect of ruthenium content. J. Ind. Eng. Chem. 2013, 19, 698–703. [Google Scholar] [CrossRef]
- Liu, Q.; Wang, S.; Zhao, G.; Yang, H.; Yuan, M.; An, X.; Zhou, H.; Qiao, Y.; Tian, Y. CO2 methanation over ordered mesoporous NiRu-doped CaO-Al2O3 nanocomposites with enhanced catalytic performance. Int. J. Hydrogen Energy 2018, 43, 239–250. [Google Scholar] [CrossRef]
- Chein, R.-Y.; Wang, C.-C. Experimental Study on CO2 Methanation over Ni/Al2O3, Ru/Al2O3, and Ru-Ni/Al2O3 Catalysts. Catalysts 2020, 10, 1112. [Google Scholar] [CrossRef]
- Bustinza, A.; Frías, M.; Liu, Y.; García-Bordejé, E. Mono- and bimetallic metal catalysts based on Ni and Ru supported on alumina-coated monoliths for CO2 methanation. Catal. Sci. Technol. 2020, 10, 4061–4071. [Google Scholar] [CrossRef]
- Navarro, J.C.; Centeno, M.A.; Laguna, O.H.; Odriozola, J.A. Ru–Ni/MgAl2O4 structured catalyst for CO2 methanation. Renew. Energy 2020, 161, 120–132. [Google Scholar] [CrossRef]
- Stangeland, K.; Kalai, D.Y.; Li, H.; Yu, Z. Active and stable Ni based catalysts and processes for biogas upgrading: The effect of temperature and initial methane concentration on CO2 methanation. Appl. Energy 2018, 227, 206–212. [Google Scholar] [CrossRef]
- Duyar, M.S.; Treviño, M.A.A.; Farrauto, R.J. Dual function materials for CO2 capture and conversion using renewable H2. Appl. Catal. B Environ. 2015, 168–169, 370–376. [Google Scholar] [CrossRef]
- Wang, S.; Schrunk, E.T.; Mahajan, H.; Farrauto, R.J. The role of ruthenium in CO2 capture and catalytic conversion to fuel by dual function materials (DFM). Catalysts 2017, 7, 88. [Google Scholar] [CrossRef]
- Arellano-Treviño, M.A.; Kanani, N.; Jeong-Potter, C.W.; Farrauto, R.J. Bimetallic catalysts for CO2 capture and hydrogenation at simulated flue gas conditions. Chem. Eng. J. 2019, 375, 121953. [Google Scholar] [CrossRef]
- Proaño, L.; Arellano-Treviño, M.A.; Farrauto, R.J.; Figueredo, M.; Jeong-Potter, C.; Cobo, M. Mechanistic assessment of dual function materials, composed of Ru-Ni, Na2O/Al2O3 and Pt-Ni, Na2O/Al2O3, for CO2 capture and methanation by in-situ DRIFTS. Appl. Surf. Sci. 2020, 533, 147469. [Google Scholar] [CrossRef]
- Ocampo, F.; Louis, B.; Kiwi-Minsker, L.; Roger, A.C. Effect of Ce/Zr composition and noble metal promotion on nickel based CexZr1-xO2 catalysts for carbon dioxide methanation. Appl. Catal. A Gen. 2011, 392, 36–44. [Google Scholar] [CrossRef]
- Shang, X.; Deng, D.; Wang, X.; Xuan, W.; Zou, X.; Ding, W.; Lu, X. Enhanced low-temperature activity for CO2 methanation over Ru doped the Ni/CexZr(1−x)O2 catalysts prepared by one-pot hydrolysis method. Int. J. Hydrogen Energy 2018, 43, 7179–7189. [Google Scholar] [CrossRef]
- Renda, S.; Ricca, A.; Palma, V. Precursor salts influence in Ruthenium catalysts for CO2 hydrogenation to methane. Appl. Energy 2020, 279, 115767. [Google Scholar] [CrossRef]
- Polanski, J.; Siudyga, T.; Bartczak, P.; Kapkowski, M.; Ambrozkiewicz, W.; Nobis, A.; Sitko, R.; Klimontko, J.; Szade, J.; Lelątko, J. Oxide passivated Ni-supported Ru nanoparticles in silica: A new catalyst for low-temperature carbon dioxide methanation. Appl. Catal. B Environ. 2017, 206, 16–23. [Google Scholar] [CrossRef]
- Siudyga, T.; Kapkowski, M.; Janas, D.; Wasiak, T.; Sitko, R.; Zubko, M.; Szade, J.; Balin, K.; Klimontko, J.; Lach, D.; et al. Nano-Ru supported on Ni nanowires for low-temperature carbon dioxide methanation. Catalysts 2020, 10, 513. [Google Scholar] [CrossRef]
- Siudyga, T.; Kapkowski, M.; Bartczak, P.; Zubko, M.; Szade, J.; Balin, K.; Antoniotti, S.; Polanski, J. Ultra-low temperature carbon (di)oxide hydrogenation catalyzed by hybrid ruthenium-nickel nanocatalysts: Towards sustainable methane production. Green Chem. 2020, 22, 5143–5150. [Google Scholar] [CrossRef]
- Wei, L.; Kumar, N.; Haije, W.; Peltonen, J.; Peurla, M.; Grénman, H.; de Jong, W. Can bi-functional nickel modified 13X and 5A zeolite catalysts for CO2 methanation be improved by introducing ruthenium? Mol. Catal. 2020, 494, 111115. [Google Scholar] [CrossRef]
- Karelovic, A.; Ruiz, P. Mechanistic study of low temperature CO2 methanation over Rh/TiO2 catalysts. J. Catal. 2013, 301, 141–153. [Google Scholar] [CrossRef]
- Swalus, C.; Jacquemin, M.; Poleunis, C.; Bertrand, P.; Ruiz, P. CO2 methanation on Rh/γ-Al2O3 catalyst at low temperature: “In situ” supply of hydrogen by Ni/activated carbon catalyst. Appl. Catal. B Environ. 2012, 125, 41–50. [Google Scholar] [CrossRef]
- Arandiyan, H.; Wang, Y.; Scott, J.; Mesgari, S.; Dai, H.; Amal, R. In Situ Exsolution of Bimetallic Rh-Ni Nanoalloys: A Highly Efficient Catalyst for CO2 Methanation. ACS Appl. Mater. Interfaces 2018, 10, 16352–16357. [Google Scholar] [CrossRef]
- Burnat, D.; Kontic, R.; Holzer, L.; Steiger, P.; Ferri, D.; Heel, A. Smart material concept: Reversible microstructural self-regeneration for catalytic applications. J. Mater. Chem. A 2016, 4, 11939–11948. [Google Scholar] [CrossRef]
- Wang, Y.; Arandiyan, H.; Bartlett, S.A.; Trunschke, A.; Sun, H.; Scott, J.; Lee, A.F.; Wilson, K.; Maschmeyer, T.; Schlögl, R.; et al. Inducing synergy in bimetallic RhNi catalysts for CO2 methanation by galvanic replacement. Appl. Catal. B Environ. 2020, 277, 119029. [Google Scholar] [CrossRef]
- Touni, A.; Papaderakis, A.; Karfaridis, D.; Vourlias, G.; Sotiropoulos, S. Oxygen evolution reaction at IrO2/Ir(Ni) film electrodes prepared by galvanic replacement and anodization: Effect of precursor Ni film thickness. Molecules 2019, 24, 2095. [Google Scholar] [CrossRef]
- Mihet, M.; Lazar, M.D. Methanation of CO2 on Ni/γ-Al2O3: Influence of Pt, Pd or Rh promotion. Catal. Today 2018, 306, 294–299. [Google Scholar] [CrossRef]
- Heyl, D.; Rodemerck, U.; Bentrup, U. Mechanistic Study of Low-Temperature CO2 Hydrogenation over Modified Rh/Al2O3 Catalysts. ACS Catal. 2016, 6, 6275–6284. [Google Scholar] [CrossRef]
- Yang, X.; Su, X.; Chen, X.; Duan, H.; Liang, B.; Liu, Q.; Liu, X.; Ren, Y.; Huang, Y.; Zhang, T. Promotion effects of potassium on the activity and selectivity of Pt/zeolite catalysts for reverse water gas shift reaction. Appl. Catal. B Environ. 2017, 216, 95–105. [Google Scholar] [CrossRef]
- Kikkawa, S.; Teramura, K.; Asakura, H.; Hosokawa, S.; Tanaka, T. Ni–Pt Alloy Nanoparticles with Isolated Pt Atoms and Their Cooperative Neighboring Ni Atoms for Selective Hydrogenation of CO2 Toward CH4 Evolution: In Situ and Transient Fourier Transform Infrared Studies. ACS Appl. Nano Mater. 2020, 3, 9633–9644. [Google Scholar] [CrossRef]
- Jiang, H.; Gao, Q.; Wang, S.; Chen, Y.; Zhang, M. The synergistic effect of Pd NPs and UiO-66 for enhanced activity of carbon dioxide methanation. J. CO2 Util. 2019, 31, 167–172. [Google Scholar] [CrossRef]
- Goula, M.A.; Charisiou, N.D.; Papageridis, K.N.; Delimitis, A.; Papista, E.; Pachatouridou, E.; Iliopoulou, E.F.; Marnellos, G.; Konsolakis, M.; Yentekakis, I.V. A comparative study of the H2-assisted selective catalytic reduction of nitric oxide by propene over noble metal (Pt, Pd, Ir)/γ-Al2O3 catalysts. J. Environ. Chem. Eng. 2016, 4, 1629–1641. [Google Scholar] [CrossRef]
- Yan, C.; Wang, C.H.; Lin, M.; Bhalothia, D.; Yang, S.S.; Fan, G.J.; Wang, J.L.; Chan, T.S.; Wang, Y.L.; Tu, X.; et al. Local synergetic collaboration between Pd and local tetrahedral symmetric Ni oxide enables ultra-high-performance CO2 thermal methanation. J. Mater. Chem. A 2020, 8, 12744–12756. [Google Scholar] [CrossRef]
- Lin, J.; Song, H.; Shen, X.; Wang, B.; Xie, S.; Deng, W.; Wu, D.; Zhang, Q.; Wang, Y. Zirconia-supported rhenium oxide as an efficient catalyst for the synthesis of biomass-based adipic acid ester. Chem. Commun. 2019, 55, 11017–11020. [Google Scholar] [CrossRef]
- Han, X.; Zhao, C.; Li, H.; Liu, S.; Han, Y.; Zhang, Z.; Ren, J. Using data mining technology in screening potential additives to Ni/Al2O3 catalysts for methanation. Catal. Sci. Technol. 2017, 7, 6042–6049. [Google Scholar] [CrossRef]
- Yuan, H.; Zhu, X.; Han, J.; Wang, H.; Ge, Q. Rhenium-promoted selective CO2 methanation on Ni-based catalyst. J. CO2 Util. 2018, 26, 8–18. [Google Scholar] [CrossRef]
- Dong, X.; Jin, B.; Kong, Z.; Sun, Y. Promotion effect of Re additive on the bifunctional Ni catalysts for methanation coupling with water gas shift of biogas: Insights from activation energy. Chin. J. Chem. Eng. 2020, 28, 1628–1636. [Google Scholar] [CrossRef]
- Dong, X.; Jin, B.; Cao, S.; Meng, F.; Chen, T.; Ding, Q.; Tong, C. Facile use of coal combustion fly ash (CCFA) as Ni-Re bimetallic catalyst support for high-performance CO2 methanation. Waste Manag. 2020, 107, 244–251. [Google Scholar] [CrossRef]

















| Second Metal | Catalyst Composition | Preparation Method | Conditions | Performance | Comments | Ref. |
|---|---|---|---|---|---|---|
| Fe | 10% and 30% Ni3Fe/Al2O3 and SiO2 | Incipient wetness impregnation | WHSV = 32,000 mL g−1 h−1 H2/CO2 = 24/1 | XCO2 = 35%, SCH4 ≈ 100% at 250 °C (30% Ni3Fe/Al2O3) | A 25% Fe content in the NiFe bimetallic catalysts led to the highest methanation performance. Unreduced Fe3O4 sites may have contributed by increasing CO2 chemisorption. | [43] |
| Fe | 10% Ni3Fe/Al2O3, SiO2, ZrO2, TiO2 and Nb2O5 | Incipient wetness impregnation | WHSV = 32,000 mL g−1 h−1 H2/CO2 = 24/1 | XCO2 = 22.1%, at 250 °C (10% Ni3Fe/Al2O3) | All Ni3Fe bimetallic catalysts had a higher CH4 yield compared to the monometallic ones. The largest activity enhancement was observed for the Al2O3-supported catalyst. | [42] |
| Fe, Co, Cu | 15% Ni3Fe, Ni3Co and Ni3Cu/Al2O3 | Incipient wetness impregnation | WHSV = 60,000 mL g−1 h−1 H2/CO2 = 24/1 | TOFCH4 × 103 = 32.8 ± 2.3 s−1 at 250 °C (15% Ni3Fe/Al2O3) | Ni3Fe provided the highest TOFCH4 out of all bimetallic catalysts and the monometallic Ni one. Linear correlation was observed between the d-density of states at the Fermi level (NEF) and TOFCH4 based on DFT calculations. | [45] |
| Fe | 17% Ni3Fe/Al2O3 | Urea deposition–precipitation | WHSV = 60,000 mlCO2 g−1 h−1 H2/CO2 = 4/1 | XCO2 = 78%, SCH4 = 99.5% at 350 °C (17% Ni3Fe/Al2O3) | Ni3Fe bimetallic catalyst with small (4 nm) and highly dispersed NiFe alloy nanoparticles provided high activity and stability. Great stability upon 45 h experiments under industrially oriented conditions. | [26] |
| Fe | 17% Ni3Fe/Al2O3 | Urea deposition–precipitation | H2/CO2 = 4/1 (Operando synchrotron studies) | XCO2 = 61%, SCH4 = 96% at 350 °C (17% Ni3Fe/Al2O3) | FeOx nanoclusters were formed at the surface of NiFe alloy nanoparticles, due to oxidation of Fe0 in the alloy to Fe2+. A redox cycle between Fe0, Fe2+ and Fe3+ at the interface between FeOx clusters and alloy nanoparticles promoted CO2 activation. | [49] |
| Fe | 12% Ni and 1.2–18% Fe/MgO-Al2O3 | Co-precipitation (Hydrotalcite-derived catalysts) | GHSV = 12,020 h−1 H2/CO2 = 4/1 | Rate of CO2 conversion = 6.96 mmolCO2/molFe+Ni/s SCH4 = 99.3% at 335 °C (12% Ni and 1.2% Fe/MgO-Al2O3) | An Fe/(Ni + Fe) ratio of 0.1 (Ni9Fe1) provided the highest metal dispersion, the smallest size of nanoparticles and an optimum amount of surface basic sites. The corresponding catalyst had the best performance at 335 °C with the highest CH4 selectivity. Larger Fe loadings deactivated the catalyst for the CO2 methanation reaction. | [39] |
| Fe | 20% Ni and 2–10% Fe/MgO-Al2O3 | Co-precipitation (Hydrotalcite-derived catalysts) | WHSV = 43,200 mlCO2 g−1 h−1 H2/CO2 = 4/1 | XCO2 = 53%, SCH4 ≈ 98% at 270 °C (20% Ni and 5% Fe/MgO-Al2O3) | An Fe/(Ni + Fe) ratio of 0.25 (Ni4Fe1) provided the highest CH4 yield at low temperatures by lowering the energy barrier for CH4 formation. CO2 hydrogenation via *HCOO (formate) intermediate was favoured over its direct dissociation to *CO | [53] |
| Fe | ≈50% Ni and 8.5% Fe/Al2O3 | Co-precipitation | WHSV = 600,000 mL g−1 h−1 H2/CO2 = 4/1 | Weight time yield of CH4 = 30 mol h−1 kgcat−1 at 230 °C after 70 h aging time | Fe promoted the electronic properties of Ni through the formation of (γFe,Ni) nanoparticles. Increase in catalytic activity upon exposure to aging conditions. Fe2+ sites on disordered FeOx were formed in-situ and promoted CO2 activation. | [59] |
| Fe, Co, Cu | 30% Ni and 3% Fe, Co, Cu/ZrO2 | Wet impregnation | GHSV = 10,000 h−1 H2/CO2 = 4/1 p = 0.5 MPa | XCO2 = 82%, SCH4 = 90% at 230 °C (30% Ni and 3% Fe/ZrO2) | Addition of 3% Fe and Co enhanced the low-temperature CO2 conversion. In addition, 3% Fe increased CH4 selectivity, but higher Fe loadings negatively influenced the methanation performance. Partly reduced Fe2+ sites potentially increased the dispersion of Ni and the reducibility of ZrO2, thus contributing to the formation of oxygen vacancies in the support. | [64] |
| Fe | 1.51% Ni and 0.48–4.3% Fe/ZrO2 | Incipient wetness impregnation | WHSV = 30,000 mL g−1 h−1 H2/CO2 = 2/1 | XCO2 = 39.3%, SCH4 = 88.5% at 400 °C (1.51% Ni and 0.96% Fe (Ni3Fe2)/ZrO2) | Ni-ZrO2 interface was considered active for the CO2 methanation reaction. Fe addition up to a small amount could increase the methanation performance. Via high Fe/Ni ratios, the formed Ni-FeOx interface was selective for CO, due to the weak binding of intermediate *CO species. | [65] |
| Fe | 15% Ni and 5% Fe/surface modified activated carbon (AC) | Incipient wetness impregnation | WHSV = 60,000 mL g−1 h−1 H2/CO2 = 4/1 | XCO2 = 77%, SCH4 = 98% at 400 °C (15% Ni and 3% Fe/AC-R) | Increase in activity by enhancing the surface chemistry of AC and introducing Fe. NiFe alloy formation improved the low-temperature activity, CH4 selectivity and stability due to the optimal CO dissociation energy. | [73] |
| Co | 10% Ni and 3% Co/ordered mesoporous alumina (OMA) | Evaporaton-induced self-assembly (EISA) | WHSV = 10,000 mL g−1 h−1 H2/CO2 = 4/1 | XCO2 = 78%, SCH4 = 99% at 400 °C (7.8% Ni and 2.2% Co/OMA) | NiCo bimetallic catalyst showed increased CO2 conversion and CH4 selectivity compared to the monometallic Ni one. Co increased H2 uptake. Catalysts stable at 500 °C for 60 h. NiCo alloy formation and the confinement effect of the ordered mesostructure contributed to the high stability. | [37] |
| Co, Fe | 15% Ni and 3% Co, Fe/CeO2-ZrO2 | Wet impregnation | WHSV = 12,500 mL g−1 h−1 H2/CO2 = 4/1 | XCO2 = 83%, SCH4 = 94% at 300 °C (15% Ni and 3% Co/CeO2-ZrO2) | Co improved the catalytic performance for CO2 methanation above 250 °C. NiCo modified catalyst had great stability after many hours and could retain high activity under increased gas space velocities. Co increased Ni dispersion and could decrease coke deposition due to its redox properties. | [69] |
| Co, Fe, Cu | 2% Co, Fe and Cu/NiO-MgO (≈35% Ni) | Sonochemical synthesis and Wet impregnation | GHSV = 47,760 h−1 H2/CO2 = 4/1 | XCO2 = 90%, SCH4 = 99% at 400 °C (2% Co/NiO-MgO) | NiO-MgO nanocomposites prepared via the sonochemical method and promoted with 2% Co were highly active for CO2 methanation. The activation energy for CO2 methanation was lower for the Co impregnated catalysts, due to the reducing nature of Co. | [88] |
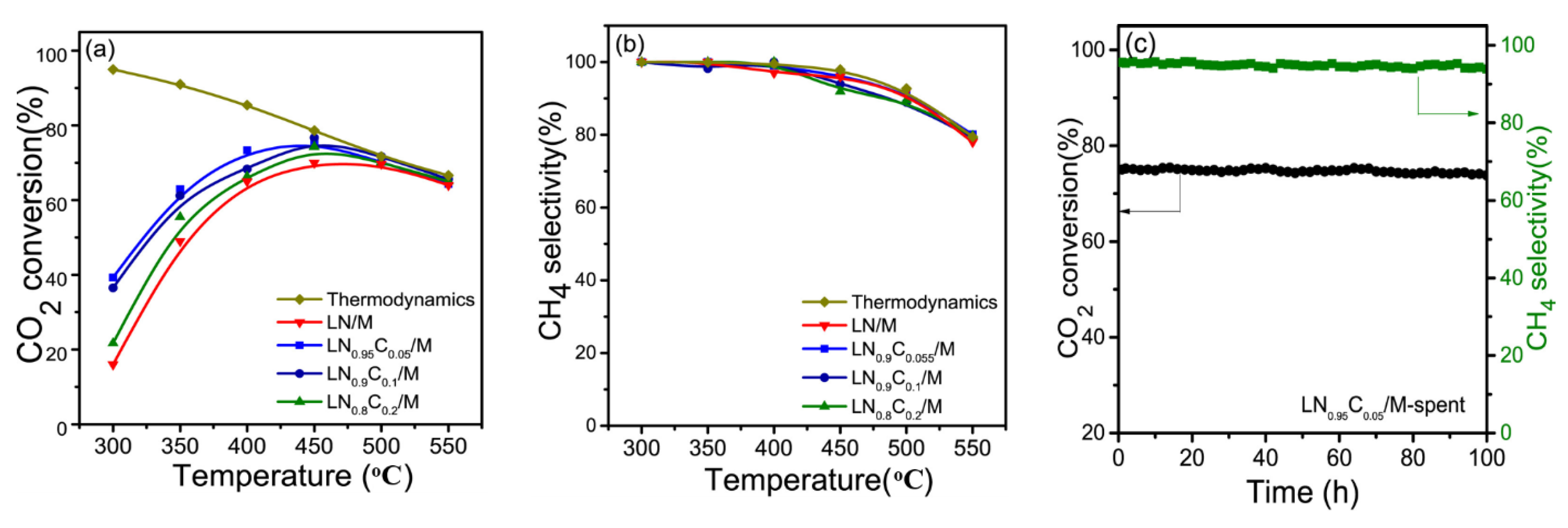
| Co | LaNi1-xCoxO3/MCF, x = 0–0.2 (≈13–16% Ni and 0–3% Co) | Citrate-assisted impregnation | WHSV = 60,000 mL g−1 h−1 H2/CO2 = 4/1 | XCO2 = 75%, SCH4 = 98% at 450 °C (LaNi0.95Co0.05O3/MCF) | NiCo alloy nanoparticles adjacent to La2O3 and supported on mesostructured cellular foam silica (MCF) were formed after reduction. The catalyst was active and stable and 5% Co substitution in the perovskite B-site was optimal for the promotion of CO2 methanation. | [89] |
| Cu | 1% Cu and 9–10% Ni/SiO2 | Wet impregnation | WHSV = 60,000 mL g−1 h−1 H2/CO2 = 4/1 | XCO2 = 39.5%, SCH4 = 44.4% at 400 °C (1% Cu and 10% Ni/SiO2) | Cu addition improved Ni dispersion and reducibility and NiCu alloys were formed. Cu introduction also decreased CO2 conversion and CH4 selectivity, favouring instead the production of CO via the reverse water–gas shift (RWGS) reaction. | [90] |
| Second Metal | Catalyst Composition | Preparation Method | Conditions | Performance | Comments | Ref. |
|---|---|---|---|---|---|---|
| Ru | 10% Ni and 0.5–5% Ru/Al2O3 | Wet impregnation (sequential and co-impregnation) | GHSV = 9000 h−1 H2/CO2 = 4/1 | XCO2 = 82.7%, SCH4 = 100% at 400 °C (10% Ni and 1% Ru/Al2O3) | Co-impregnation of Ni and Ru precursor salts could provide more active sites in the catalyst. The best results were achieved using 1% Ru loading. Ru and Ni were found to form separate phases and it was suggested that CO2 and H2 activation took place at Ru and Ni sites, respectively. | [30] |
| Ru | 10% Ni and 1% Ru/2% CaO—ordered mesoporous alumina (OMA) | Evaporaton-induced self-assembly (EISA) | WHSV = 30,000 mL g−1 h−1 H2/CO2 = 4/1 | XCO2 = 83.8%, SCH4 = 100% at 380 °C (10% Ni and 1% Ru/2% CaO—OMA) | A step increase in the CO2 conversion and CH4 selectivity was observed after the addition of the CaO basic promoter and the Ru second metal. Catalysts stable at 550 °C for 109 h due to the confinement effect. Ni and Ru synergy could reduce the activation energy for CO2 methanation. | [97] |
| Ru | 11.1–12.7% Ni and 0.9–4.8% Ru/Al2O3-washcoated cordierite | Equilibrium adsorption (Ni) and wet impregnation (Ru) | GHSV = 104,000 h−1 H2/CO2 = 4/1 | XCO2 = 55%, SCH4 ≈ 100% at 350 °C (12.7% Ni and 0.9% Ru/Al2O3-washcoated cordierite) | Ni was homogeneously dispersed over the structured support as small nanoparticles (2–4 nm) via equilibrium adsorption, while Ru was atomically dispersed via wet impregnation. The structured catalyst on Al2O3-washcoated monolith provided stable performance with low pressure drop under high space velocities. | [99] |
| Ru | 30% Ni and 0–5% Ru/CeO2-ZrO2 | One-pot hydrolysis of metal nitrates with (NH4)2CO3 | GHSV = 2400 h−1 H2/CO2 = 4/1 | XCO2 = 98.2%, SCH4 = 100% at 230 °C (30% Ni and 3% Ru/Ce0.9Zr0.1O2) | Ru addition on Ni/CeO2-ZrO2 could increase surface basicity and promote Ni dispersion. Thus, the formation of a NiRu bimetallic catalyst enhanced the low-temperature catalytic activity for CO2 methanation. | [107] |
| Ru | 10% Ni 0.5–3% Ru/CeO2-ZrO2 | Wet impregnation with different Ru precursor salts | WHSV = 60,000 mL g−1 h−1 H2/CO2 = 4/1 | XCO2 ≈ 80%, SCH4 ≈ 100% at 350 °C (10% Ni and 0.5% Ru/CeO2-ZrO2) | Adding Ru in 10% Ni/CeO2-ZrO2 increased the CO2 methanation performance. When ruthenium acetylacetonate was used instead of ruthenium chloride as the precursor salt, the metal dispersion and catalytic activity were enhanced due to the templating effect of the precursor salt molecule. | [108] |
| Ru | 15% Ni and 1% Ru/CeO2-ZrO2 | Wet impregnation | WHSV = 24,000 mL g−1 h−1 H2/CO2 = 4/1 | XCO2 = 53%, SCH4 = 93% at 350 °C (10% Ni and 0.5% Ru/CeO2-ZrO2) | The introduction of 1% Ru in 15% Ni/CeO2-ZrO2 improved the dispersion of Ni and the intrinsic activity for CO2 reduction. The catalyst was active for both CO2 methanation at 350 °C and reverse water–gas shift (RWGS) at 700 °C. | [70] |
| Ru | 1.5% Ru/Ni | Ni deposition on Ru/SiO2 intermediate and then silica etching | Flow rate = 3000 mL h−1 H2/CO2 = 4/1 | XCO2 ≈ 100%, SCH4 ≈ 100% at 200 °C (1.5% Ru/Ni) | This novel synthesis method, using an intermediate silica carrier to disperse Ru, yielded fine Ru nanoparticles supported on Ni grains. The 1.5% Ru/Ni catalyst had an oxide passivation layer and a very high low-temperature catalytic activity. | [109] |
| Ru | 1.5% Ru/Ni nanowires (NWs) | Ni NW deposition on Ru/SiO2 intermediate and then silica etching | Flow rate = 3000 mL h−1 H2/CO2 = 4/1 | XCO2 ≈ 100%, SCH4 ≈ 100% at 179 °C (1.5% Ru/Ni NWs) | When Ni nanowires were used instead of Ni powder, the higher surface area of the 1D nanostructure led to a higher CO2 methanation catalytic activity, with 100% CO2 conversion being reached at just 179 °C. | [110] |
| Rh, Ru | 5% Ni and 0.5% Rh, Ru/CeO2-ZrO2 | Pseudo sol-gel in propionic acid | GHSV = 43,000 h−1 H2/CO2 = 4/1 | XCO2 = 77.8%, SCH4 = 99.2% at 350 °C (0.5% Rh and 5% Ni/Ce0.72Zr0.28O2) | Noble metal addition (Rh and Ru) increased the dispersion of Ni and the catalytic activity for CO2 methanation. Rh addition led to slightly better results compared to Ru. | [106] |
| Rh | Rh-Ni/3DOM-LaAlO3 (≈2% Ni and 1% Rh) | Rh wet impregnation and Ni exsolution from LaAl0.92Ni0.08O3 | WHSV = 48,000 mL g−1 h−1 H2/CO2 = 4/1 | XCO2 ≈ 93%, SCH4 high at 308 °C (Rh-Ni/3DOM-LaAlO3) | Rh-Ni/3DOM-LaAlO3 with bimetallic NiRh alloy nanoparticles was highly efficient for CO2 methanation. 3DOM LaAl0.92Ni0.08O3 perovskite was prepared via PMMA colloidal crystal templating and Rh was added via wet impregnation. Ni exsolution and NiRh alloy formation followed after reduction treatment. | [115] |
| Rh | 1.56–1.9% Ni 0.69–1.18% Rh/Al2O3 | Galvanic replacement (GR) and chemical reduction (CR) | WHSV = 48,000 mL g−1 h−1 H2/CO2 = 4/1 | XCO2 ≈ 97%, SCH4 ≈ 100%, at 300 °C (1.56% Ni and 1.08% Rh/Al2O3 (GR)) | RhNi/Al2O3 catalysts prepared by galvanic replacement exhibited superior CO2 methanation performance at low temperatures. Galvanic replacement led to Ni nanoparticles encapsulated by an atomically thin RhOx shell, while chemical reduction led to a higher degree of Ni and Rh intermixing. | [117] |
| Pt, Ru, Rh | 10% Ni and 0.5–3% Pt, Ru and Rh/CeO2 | Wet impregnation (sequential) | WHSV = 60,000 mL g−1 h−1 H2/CO2 = 4/1 | XCO2 = 82%, SCH4 ≈ 100%, at 325 °C (10% Ni and 0.5% Pt/CeO2) | Promotion of 10% Ni/CeO2 with Pt and Ru further increased the catalytic activity, while Rh led to the worst performance. The optimal Pt loading was 0.5%, while for Ru it was 1%. Pt enhanced the dissociation of CO2 into intermediate CO, while Ru provided additional methanation sites. | [33] |
| Pt | Ni100-xPtx/Al2O3, (1 mmol Ni + Pt metal gcat−1) | Wet impregnation | WHSV = 30,000 mL g−1 h−1 H2/CO2 = 4/1 | XCO2 = 70%, SCH4 = 97%, at 427 °C (Ni95Pt5/Al2O3) | Single atom alloy catalysts (SAAC) with Pt atoms dissolved into the lattice of Ni nanoparticles supported on Al2O3 were highly active for CO2 methanation. A Pt/(Ni + Pt) molar ratio of 5% was optimal. Isolated Pt atoms adjacent to Ni enhanced the adsorption of intermediate CO, while weakening the C-O bond energy and thus favoured the further conversion to CH4. | [31] |
| Pd, Pt and Rh | 10% Ni and 0.5% Pd, Pt and Rh/Al2O3 | Incipient wetness impregnation | GHSV = 5700 h−1 H2/CO2 = 4/1 | XCO2 = 90.6%, SCH4 = 97%, at 300 °C (10% Ni and 0.5% Pd/Al2O3) | Pd and Pt addition improved the catalytic activity of 10% Ni/Al2O3, while Rh addition led to worse performance. Pd and Pt increased the dispersion and reducibility of NiO and provided active sites for H2 chemisorption and activation. The Pd-promoted catalyst was slightly better than the Pt-promoted one. | [119] |
| Pd | Ni1-xPdx/SBA-15 | NiPd nanoparticle synthesis in oil amine and impregnation on SBA-15 with hexane | WHSV = 6000 mL g−1 h−1 H2/CO2 = 4/1 | XCO2 = 96.1%, SCH4 = 97.5%, at 430 °C (Ni0.75Pd0.25/SBA-15) | The synergy between Ni and Pd metals led to active NiPd alloy catalysts for CO2 methanation supported on mesoporous SBA-15 support. All bimetallic catalysts were better than the monometallic ones. A Ni/(Ni + Pd) ratio of 3 (Ni0.75Pd0.25) led to the best performing catalyst. | [32] |
| Pd | 30% NiOTPd-TMOS/acid-treated CNTs (Pd/Ni molar ratio = 1.5) | Ni wet impregnation on acid-treated CNTs, Pd addition with NaBH4 and TMOS decoration | WHSV = 100,000 mL g−1 h−1 H2/CO2 = 3/1 | Methane yield: YCH4 = 1905.1 μmol CH4 gcat−1, at 300 °C (NiOTPd-TMOS/acid-treated CNTs) | The catalyst consisted of Pd nanoclusters adjacent to NiO with tetrahedral symmetry, supported on acid-treated CNTs and decorated with a layer of tetramethyl orthosilicate (TMOS). The maximum amount of CH4 was produced due to the Ni-Pd synergy at their interface, with H and CO being adsorbed over interfacial Ni and Pd sites, respectively. | [125] |
| Re | 15% Ni and 1% Re/CCFA (coal combustion fly ash) | Wet impregnation (co-impregnation) | GHSV = 2000 h−1 H2/CO2 = 4/1 | XCO2 = 99.6%, SCH4 = 70.3%, at 400 °C (NiRe/CCFA) | NiRe bimetallic catalysts were supported on coal combustion fly ash (CCFA) from industrial waste. Re addition improved Ni dispersion and the catalyst resistance towards sintering and coking, leading to better performance for CO2 methanation. | [130] |
Publisher’s Note: MDPI stays neutral with regard to jurisdictional claims in published maps and institutional affiliations. |
© 2020 by the authors. Licensee MDPI, Basel, Switzerland. This article is an open access article distributed under the terms and conditions of the Creative Commons Attribution (CC BY) license (http://creativecommons.org/licenses/by/4.0/).
Share and Cite
Tsiotsias, A.I.; Charisiou, N.D.; Yentekakis, I.V.; Goula, M.A. Bimetallic Ni-Based Catalysts for CO2 Methanation: A Review. Nanomaterials 2021, 11, 28. https://doi.org/10.3390/nano11010028
Tsiotsias AI, Charisiou ND, Yentekakis IV, Goula MA. Bimetallic Ni-Based Catalysts for CO2 Methanation: A Review. Nanomaterials. 2021; 11(1):28. https://doi.org/10.3390/nano11010028
Chicago/Turabian StyleTsiotsias, Anastasios I., Nikolaos D. Charisiou, Ioannis V. Yentekakis, and Maria A. Goula. 2021. "Bimetallic Ni-Based Catalysts for CO2 Methanation: A Review" Nanomaterials 11, no. 1: 28. https://doi.org/10.3390/nano11010028
APA StyleTsiotsias, A. I., Charisiou, N. D., Yentekakis, I. V., & Goula, M. A. (2021). Bimetallic Ni-Based Catalysts for CO2 Methanation: A Review. Nanomaterials, 11(1), 28. https://doi.org/10.3390/nano11010028
