Tunable Optical Properties of Amorphous-Like Ga2O3 Thin Films Deposited by Electron-Beam Evaporation with Varying Oxygen Partial Pressures
Abstract
1. Introduction
2. Experimental Details
3. Results and Discussions
3.1. Chemical Structures of Ga2O3 Films
3.2. Crystalline Structures of Ga2O3 films
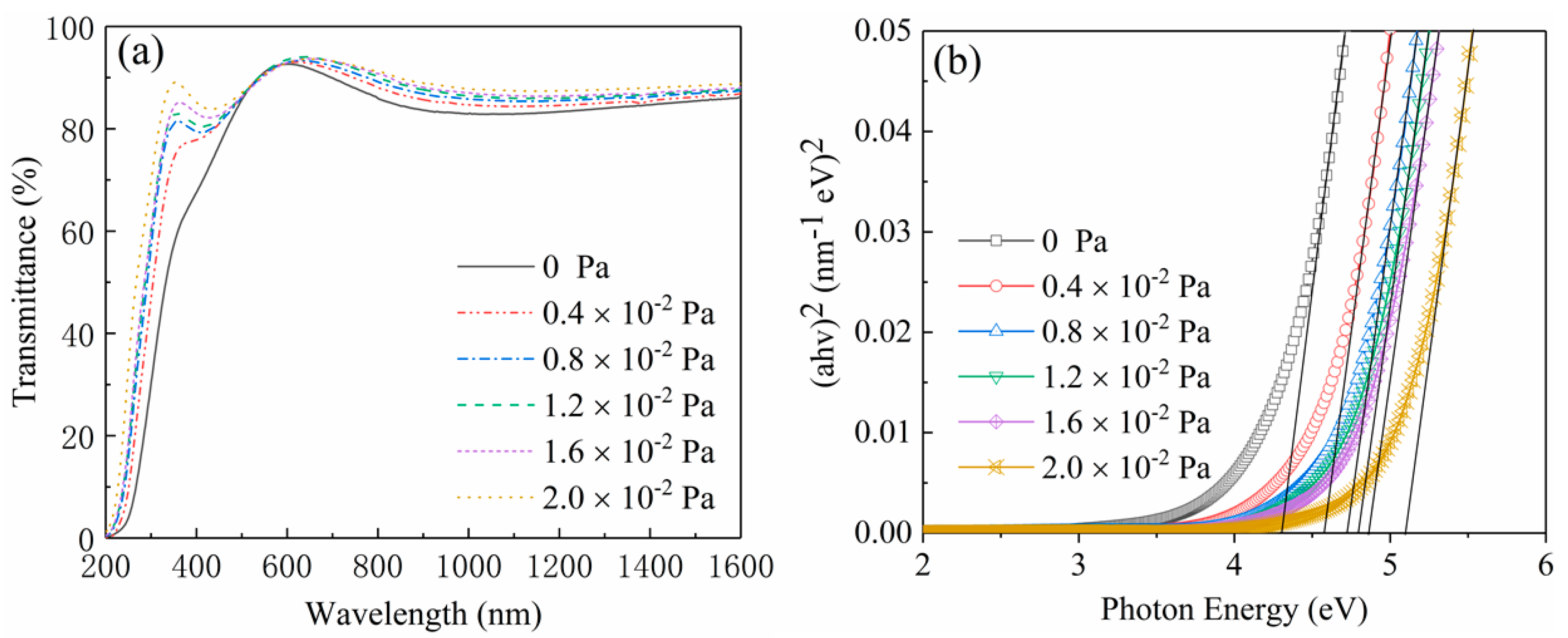
3.3. Optical Properties of Ga2O3 Films
4. Conclusions
Author Contributions
Funding
Conflicts of Interest
References
- Pasquevich, A.F.; Uhrmacher, M.; Ziegeler, L.; Lieb, K.P. Hyperfine interactions of 111Cd in Ga2O3. Phys. Rev. B 1993, 48, 10052–10062. [Google Scholar] [CrossRef] [PubMed]
- Takayoshi, O.; Naoki, A.; Norihito, S.; Shigeo, O.; Shizuo, F. Surface morphology of homoepitaxial β-Ga2O3 thin films grown by molecular beam epitaxy. Thin Solid Films 2008, 516, 5768–5771. [Google Scholar]
- Pearton, S.J.; Yang, J.; Cary, P.H.; Ren, F.; Kim, J.; Tadjer, M.J.; Mastro, M.A. A review of Ga2O3 materials, processing, and devices. Appl. Phys. Rev. 2018, 5, 011301. [Google Scholar] [CrossRef]
- Higashiwaki, M.; Jessen, G.H. Guest editorial: The dawn of gallium oxide microelectronics. Appl. Phys. Lett. 2018, 112, 060401. [Google Scholar] [CrossRef]
- Munho, K.; Seo, J.H.; Singisetti, U.; Ma, Z. Recent advances in free-standing single crystalline wide band-gap semiconductors and their applications: GaN, SiC, ZnO, β-Ga2O3, and diamond. J. Mater. Chem. C 2017, 5, 8338–8354. [Google Scholar]
- Kokubun, Y.; Miura, K.; Endo, F.; Nakagomi, S. Sol-gel prepared β-Ga2O3 thin films for ultraviolet photodetectors. Appl. Phys. Lett. 2007, 90, 031912. [Google Scholar] [CrossRef]
- Rafique, S.; Karim, M.R.; Johnson, J.M.; Hwang, J.; Zhao, H.P. LPCVD homoepitaxy of Si doped β-Ga2O3 thin films on (010) and (001) substrates. App. Phys. Lett. 2018, 112, 052104. [Google Scholar] [CrossRef]
- Ma, T.C.; Chen, X.H.; Ren, F.F.; Zhu, S.M.; Gu, S.L.; Zhang, R.; Zheng, Y.D.; Ye, J.D. Heteroepitaxial growth of thick α-Ga2O3 film on sapphire (0001) by MIST-CVD technique. J. Semicond. 2019, 40, 012804. [Google Scholar] [CrossRef]
- Oh, S.; Jung, Y.; Mastro, M.A.; Hite, J.K.; Eddy, C.R., Jr.; Kim, J. Development of solar blind photodetectors based on Si-implanted beta-Ga2O3. Opt. Express 2015, 23, 28300–28305. [Google Scholar] [CrossRef] [PubMed]
- Yao, Y.; Okur, S.; Lyle, L.A.M.; Tompa, G.S.; Salagaj, T.; Sbrockey, N.; Davis, R.F.; Porter, L.M. Growth and characterization of α-,β-, and ϵ-phases of Ga2O3 using MOCVD and HVPE techniques. Mater. Res. Lett. 2018, 6, 268. [Google Scholar] [CrossRef]
- Shen, H.; Baskaran, K.; Yin, Y.; Tian, K.; Duan, L.B.; Zhao, X.R.; Tiwari, A. Effect of thickness on the performance of solar blind photodetectors fabricated using PLD grown β-Ga2O3 thin films. J. Alloys Compd. 2020, 822, 153419. [Google Scholar] [CrossRef]
- Bae, H.; Yoo, T.; Yoon, Y.; Lee, I.; Kim, J.; Cho, B.; Hwang, W. High-Aspect Ratio β-Ga2O3 Nanorods via Hydrothermal Synthesis. Nanomaterials 2018, 8, 594. [Google Scholar] [CrossRef] [PubMed]
- Yamahara, H.; Seki, M.; Tabata, H. Growth of Gallium Oxide Nanowires by Pulsed Laser Deposition. J. Cryst. Process Technol. 2012, 2, 125–129. [Google Scholar] [CrossRef]
- Cui, W.; Ren, Q.; Zhi, Y.S.; Zhao, X.L.; Wu, Z.P.; Li, P.G.; Tang, W.H. Optimization of growth temperature of beta-Ga2O3 thin films for solar-blind photodetectors. J. Nanosci. Nanotechnol. 2018, 18, 3613–3618. [Google Scholar] [CrossRef] [PubMed]
- Franssila, S. Thermal Oxidation, Introduction to Microfabrication, 2nd ed.; John Wiley & Sons: Hoboken, NJ, USA, 2010; Chapter 13; pp. 153–163. [Google Scholar]
- Alaie, Z.; Nejad, S.M.; Yousefi, M.H. Recent advances in ultraviolet photodetectors. Mater. Sci. Semicond. Process. 2015, 29, 16–55. [Google Scholar] [CrossRef]
- Dong, L.P.; Liu, X.Y.; Zhang, Y.; Zhuo, L.Q.; Li, D.Q.; Zhu, W.G.; Zheng, H.D.; Tang, J.Y.; Zhang, J.; Yu, J.H.; et al. All-fiber Multifunctional electrooptic prototype device with a graphene/PMMA (Poly(methl methacrylate)) hybrid film integrated on coreless side-polished fibers. Appl. Electron. Mater. 2020, 2, 447–455. [Google Scholar] [CrossRef]
- Kong, L.Y.; Ma, J.; Luan, C.N.; Mi, W.; Lu, Y. Structural and optical properties of heteroepitaxial beta Ga2O3 films grown on MgO (100) substrates. Thin Solid Films 2012, 520, 4270–4274. [Google Scholar] [CrossRef]
- Shi, F.; Zhang, S.Y.; Xue, C.S. Influence of annealing time on microstructure of one-dimensional Ga2O3 nanorods. J. Alloys Comp. 2010, 498, 77–80. [Google Scholar] [CrossRef]
- Zatsepin, D.A.; Boukhvalov, D.W.; Zatsepin, A.F.; Kuznetsova, Y.A.; Gogova, D.; Shur, V.Y.; Esin, A.A. Atomic structure, electronic states, and optical properties of epitaxially grown β-Ga2O3 layers. Superlattices Microstruct. 2018, 120, 90–100. [Google Scholar] [CrossRef]
- Hollinger, G.; Skheyta-Kabbani, R.; Gendry, M. Oxides on GaAs and InAs surfaces: An x-ray-photoelectron-spectroscopy study of reference compounds and thin oxide layers. Phys. Rev. B 1994, 49, 11159. [Google Scholar] [CrossRef] [PubMed]










© 2020 by the authors. Licensee MDPI, Basel, Switzerland. This article is an open access article distributed under the terms and conditions of the Creative Commons Attribution (CC BY) license (http://creativecommons.org/licenses/by/4.0/).
Share and Cite
Li, S.; Yang, C.; Zhang, J.; Dong, L.; Cai, C.; Liang, H.; Liu, W. Tunable Optical Properties of Amorphous-Like Ga2O3 Thin Films Deposited by Electron-Beam Evaporation with Varying Oxygen Partial Pressures. Nanomaterials 2020, 10, 1760. https://doi.org/10.3390/nano10091760
Li S, Yang C, Zhang J, Dong L, Cai C, Liang H, Liu W. Tunable Optical Properties of Amorphous-Like Ga2O3 Thin Films Deposited by Electron-Beam Evaporation with Varying Oxygen Partial Pressures. Nanomaterials. 2020; 10(9):1760. https://doi.org/10.3390/nano10091760
Chicago/Turabian StyleLi, Shijie, Chen Yang, Jin Zhang, Linpeng Dong, Changlong Cai, Haifeng Liang, and Weiguo Liu. 2020. "Tunable Optical Properties of Amorphous-Like Ga2O3 Thin Films Deposited by Electron-Beam Evaporation with Varying Oxygen Partial Pressures" Nanomaterials 10, no. 9: 1760. https://doi.org/10.3390/nano10091760
APA StyleLi, S., Yang, C., Zhang, J., Dong, L., Cai, C., Liang, H., & Liu, W. (2020). Tunable Optical Properties of Amorphous-Like Ga2O3 Thin Films Deposited by Electron-Beam Evaporation with Varying Oxygen Partial Pressures. Nanomaterials, 10(9), 1760. https://doi.org/10.3390/nano10091760

