Comparative Chemico-Physical Analyses of Strain-Free GaAs/Al0.3Ga0.7As Quantum Dots Grown by Droplet Epitaxy
Abstract
1. Introduction
2. Material and Methods
2.1. Growth of GaAs DE QDs
2.2. TEM and EDS Analyses
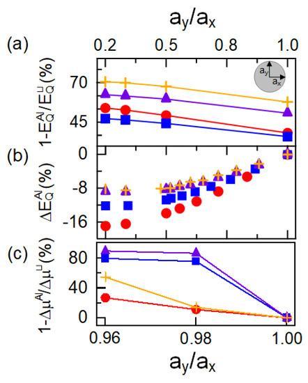
3. Results and Discussion
4. Conclusions
Author Contributions
Funding
Acknowledgments
Conflicts of Interest
Abbreviations
| DE | droplet epitaxy |
| QDs | quantum dots |
| SPS | single-photon sources |
| MBE | molecular beam epitaxy |
| EDS | energy-dispersive X-ray spectroscopy |
| TEM | transmission electron microscopy |
| APT | atomic probe tomography |
| FIB | focused-ion-beam |
References
- Kimble, H.J. The Quantum Internet. Nature 2008, 453, 1023. [Google Scholar] [CrossRef] [PubMed]
- Lodahl, P. Scaling up Solid-state Quantum Photonics. Science 2018, 362, 646. [Google Scholar] [CrossRef] [PubMed]
- Wengerowsky, S.; Joshi, S.K.; Steinlechner, F.; Hübel, H.; Ursin, R. An entanglement-based Wavelength-multiplexed Quantum Communication Network. Nature 2018, 564, 225. [Google Scholar] [CrossRef] [PubMed]
- Gurioli, M.; Wang, Z.; Rastelli, A.; Kuroda, T.; Sanguinetti, S. Droplet Epitaxy of Semiconductor Nanostructures for Quantum Photonic Devices. Nat. Mater. 2019, 18, 799. [Google Scholar] [CrossRef]
- Huber, D.; Reindl, M.; Huo, Y.; Huang, H.; Wildmann, J.S.; Schmidt, O.G.; Rastelli, A.; Trotta, R. Highly Indistinguishable and Strongly Entangled Photons from Symmetric GaAs Quantum Dots. Nat. Commun. 2017, 8, 15506. [Google Scholar] [CrossRef]
- Somaschi, N.; Giesz, V.; Santis, L.D.; Loredo, J.C.; Almeida, M.P.; Hornecker, G.; Portalupi, S.L.; Grange, T.; Antón, C.; Demory, J.; et al. Near-optimal Single-photon Sources in the Solid State. Nat. Photonics 2016, 10, 340. [Google Scholar] [CrossRef]
- Koguchi, N.; Takahashi, S.; Chikyow, T. New MBE Growth Method for InSb Quantum Well Boxes. J. Crystal Growth 1991, 111, 688. [Google Scholar] [CrossRef]
- Watanabe, K.; Koguchi, N.; Gotoh, Y. Fabrication of GaAs Quantum Dots by Modified Droplet Epitaxy. Jpn. J. Appl. Phys. 2000, 39, L79. [Google Scholar] [CrossRef]
- Lee, E.H.; Song, J.D.; Han, I.K.; Chang, S.K.; Langer, F.; Höling, S.; Forchel, A.; Kamp, M.; Kim, J.S. Structural and Optical Properties of Position-retrievable Low-density GaAs Droplet Epitaxial Quantum Dots for Application to Single Photon Sources with Plasmonic Optical Coupling. Nanoscale Res. Lett. 2015, 10, 1. [Google Scholar] [CrossRef][Green Version]
- Kim, J.S. Ga-migration on a Ga-rich and As-stabilized Surfaces: Ga-droplet and GaAs Nanostructure Formation. Mater. Sci. Semicond. Proces. 2017, 57, 70. [Google Scholar] [CrossRef]
- Yeo, I.; Yi, K.S.; Lee, E.H.; Song, J.D.; Kim, J.S.; Han, I.K. Post-thermal-induced Recrystallization in GaAs/Al0.3Ga0.7As Quantum Dots Grown by Droplet Epitaxy with Near-unity Stoichiometry. ACS Omega 2018, 3, 8677. [Google Scholar] [CrossRef] [PubMed]
- Heyn, C.; Stemmann, A.; Schramm, A.; Welsch, H.; Hansen, W.; Nemcsics, Á. Regimes of GaAs Quantum Dot Self-assembly by Droplet Epitaxy. Phys. Rev. B 2007, 76, 075317. [Google Scholar] [CrossRef]
- Bocquel, J.; Giddings, A.D.; Mano, T.; Prosa, T.J.; Larson, D.J.; Koenraad, P.M. Composition Profiling of GaAs/AlGaAs Quantum Dots Grown by Droplet Epitaxy. Appl. Phys. Lett. 2014, 105, 153102. [Google Scholar] [CrossRef]
- Bietti, S.; Bocquel, J.; Adorno, S.; Mano, T.; Keizer, J.G.; Koenraad, P.M.; Sanguinetti, S. Engineering of Epitaxial Quantum Dots by Grown Kinetics. Phys. Rev. B 2015, 92, 075425. [Google Scholar] [CrossRef]
- Hartmann, A.; Loubies, L.; Reinhardt, F.; Kapon, E. Self-limiting Growth of Quantum Dot Heterostructures on Nonplanar 111B Substrates. Appl. Phys. Lett. 1997, 71, 1314. [Google Scholar] [CrossRef]
- Rastelli, A.; Stufler, S.; Schliwa, A.; Songmuang, R.; Manzano, C.; Costantini, G.; Kern, K.; Zrenner, A.; Bimberg, D.; Schmidt, O.G. Hierarchical Self-assembly of GaAs/AlGaAs Quantum Dots. Phys. Rev. Lett. 2004, 92, 166104. [Google Scholar] [CrossRef] [PubMed]
- Graf, A.; Sonnenberg, D.; Paulava, V.; Schliwa, A.; Heyn, C.; Hansen, W. Excitonic States in GaAs Quantum Dots Fabricated by Local Droplet Etching. Phys. Rev. B 2014, 89, 115314. [Google Scholar] [CrossRef]
- Trabelsi, Z.; Yahyaoui, M.; Boujdaria, K.; Chamarro, M.; Testelin, C. Excitonic Complexes in Strain-free and Highly Symmetric GaAs Quantum Dots Fabricated by Filling of Self-assembled Nanoholes. J. Appl. Phys. 2017, 121, 245702. [Google Scholar] [CrossRef]
- Wang, Z.M.; Liang, B.L.; Sablon, K.A.; Salamo, G.J. Nanoholes Fabricated by Self-assembled Gallium Nanodrill on GaAs(100). Appl. Phys. Lett. 2007, 90, 113120. [Google Scholar] [CrossRef]
- Ohtake, A.; Mano, T.; Hagiwara, A.; Nakamura, J. Self-Assembled Growth of Ga Droplets on GaAs(001): Role of Surface Reconstructions. Cryst. Growth Des. 2014, 14, 3110. [Google Scholar] [CrossRef]
- Abbarchi, M.; Mastrandrea, C.A.; Kuroda, T.; Mano, T.; Sakoda, K.; Koguchi, N.; Sanguinetti, S.; Vinattieri, A.; Gurioli, M. Exciton Fine Structure in Strain-free GaAs/Al0.3Ga0.7As Quantum Dots: Extrinsic Effects. Phys. Rev. B 2008, 78, 125321. [Google Scholar] [CrossRef]
- Basset, F.B.; Bietti, S.; Reindl, M.; Esposito, L.; Fedorov, A.; Huber, D.; Rastelli, A.; Bonera, E.; Trotta, R.; Sanguinetti, S. High-Yield Fabrication of Entangled Photon Emitters for Hybrid Quantum Networking Using High-Temperature Droplet Epitaxy. Nano Lett. 2017, 18, 505. [Google Scholar] [CrossRef] [PubMed]
- Huber, D.; Reindl, M.; da Silva, S.F.C.; Schimpf, C.; Martín-Sánchez, J.; Huang, H.; Piredda, G.; Edlinger, J.; Rastelli, A.; Trotta, R. Strain-tunable GaAs Quantum Dot: A Nearly Dephasing-free Source of Entangled Photon Pairs on Demand. Phys. Rev. Lett. 2018, 121, 033902. [Google Scholar] [CrossRef] [PubMed]
- Moison, J.M.; Guille, C.; Houzay, F.; Barthe, F.; Rompay, M.V. Surface Segregation of Third-column Atoms in Group III-V Arsenide Compounds: Ternary Alloys and Heterostructures. Phys. Rev. B 1989, 40, 6149. [Google Scholar] [CrossRef] [PubMed]
- Keizer, J.G.; Jo, M.; Mano, T.; Noda, T.; Sakoda, K.; Koenraad, P.M. Structural Atomic-scale Analysis of GaAs/AlGaAs Quantum Wires and Quantum Dots Grown by Droplet Epitaxy on a (311)A Substrate. Appl. Phys. Lett. 2011, 98, 193112. [Google Scholar] [CrossRef]
- Koguchi, T.M.N. Nanometer–scale GaAs Ringstructure Grown by Droplet Epitaxy. J. Cryst. Growth 2005, 278, 108. [Google Scholar] [CrossRef]
- Mano, T.; Kuroda, T.; Sanguinetti, S.; Ochiai, T.; Tateno, T.; Kim, J.; Noda, T.; Kawabe, M.; Sakoda, K.; Kido, G.; et al. Self-Assembly of Concentric Quantum Double Rings. Nano Lett. 2005, 5, 425. [Google Scholar] [CrossRef]
- Jo, M.; Mano, T.; Sakoda, K. Morphological Control of GaAs Quantum Dots Grown by Droplet Epitaxy Using a Thin AlGaAs Capping Layer. J. Appl. Phys. 2010, 108, 083505. [Google Scholar] [CrossRef]
- Park, S.I.; Trojak, O.J.; Lee, E.H.; Song, J.D.; Kyhm, J.; Han, I.; Kim, J.; Yi, G.C.; Sapienza, L. GaAs Droplet Quantum Dots with Nanometer-thin Capping Layer for Plasmonic Applications. Nanotechnology 2018, 29, 205602. [Google Scholar] [CrossRef]
- Keizer, J.G.; Bocquel, J.; Koenraad, P.M.; Mano, T.; Noda, T.; Sakoda, K. Atomic Scale Analysis of Self Assembled GaAs/AlGaAs Quantum Dots Grown by Droplet Epitaxy. Appl. Phys. Lett. 2010, 96, 062101. [Google Scholar] [CrossRef]
- Yeo, I.; Kim, D.; Han, I.K.; Song, J.D. Strain-induced Control of a Pillar Cavity-GaAs Single Quantum Dot Photon Source. Sci. Rep. 2019, 9, 18564. [Google Scholar] [CrossRef] [PubMed]
- Lee, S.; Jonsson, L.; Wilkins, J.W.; Bryant, G.; Klimeck, G. Electron-hole Correlations in Semiconductor Quantum Dots with Tight-binding Wave Functions. Phys. Rev. B 2001, 63, 195318. [Google Scholar] [CrossRef]
- Williamson, A.J.; Wang, L.W.; Zunger, A. Theoretical Interpretation of the Experimental Electronic Structure of Lens-shaped Self-assembled InAs/GaAs Quantum Dots. Phys. Rev. B 2000, 62, 12963. [Google Scholar] [CrossRef]
- Abbarchi, M.; Kuroda, T.; Mano, T.; Sakoda, K.; Mastrandrea, C.A.; Vinattieri, A.; Gurioli, M.; Tsuchiya, T. Energy Renormalization of Exciton Complexes in GaAs Quantum Dots. Phys. Rev. B 2010, 82, 201301. [Google Scholar] [CrossRef]
- Vurgaftman, I.; Meyer, J.R.; Ram-Mohan, L.R. Band Parameters for III-V Compound Semiconductors and Their Alloys. J. Appl. Phys. 2001, 89, 5815. [Google Scholar] [CrossRef]
- Aspnes, D.E. GaAs Lower Conduction-band Minima: Ordering and Properties. Phys. Rev. B 1976, 14, 5331. [Google Scholar] [CrossRef]
- Tighineanu, P.; Daveau, R.; Lee, E.H.; Song, J.D.; Stobbe, S.; Lodahl, P. Decay Dynamics and Exciton Localization in Large GaAs Quantum Dots Grown by Droplet Epitaxy. Phys. Rev. B 2013, 88, 155320. [Google Scholar] [CrossRef]



| Type | DE1 | DE2 | DE3 | DE4 |
|---|---|---|---|---|
| [meV] | 141.8 | 123.4 | 113.5 | 112.8 |
| [meV] | 41.5 | 32.5 | 33.6 | 33.4 |
| [meV] | 36.8 | 32.9 | 29.8 | 29.6 |
| f | 15.4 | 16.0 | 16.4 | 16.4 |
| [meV] | 100.1 | 92.3 | 70.5 | 61.9 |
| [meV] | 23.6 | 21.3 | 15.6 | 13.5 |
| [meV] | 33.0 | 32.1 | 28.1 | 26.1 |
| (⊔) | 16.6 | 16.8 | 17.4 | 17.7 |
© 2020 by the authors. Licensee MDPI, Basel, Switzerland. This article is an open access article distributed under the terms and conditions of the Creative Commons Attribution (CC BY) license (http://creativecommons.org/licenses/by/4.0/).
Share and Cite
Yeo, I.; Kim, D.; Lee, K.-T.; Kim, J.S.; Song, J.D.; Park, C.-H.; Han, I.K. Comparative Chemico-Physical Analyses of Strain-Free GaAs/Al0.3Ga0.7As Quantum Dots Grown by Droplet Epitaxy. Nanomaterials 2020, 10, 1301. https://doi.org/10.3390/nano10071301
Yeo I, Kim D, Lee K-T, Kim JS, Song JD, Park C-H, Han IK. Comparative Chemico-Physical Analyses of Strain-Free GaAs/Al0.3Ga0.7As Quantum Dots Grown by Droplet Epitaxy. Nanomaterials. 2020; 10(7):1301. https://doi.org/10.3390/nano10071301
Chicago/Turabian StyleYeo, Inah, Doukyun Kim, Kyu-Tae Lee, Jong Su Kim, Jin Dong Song, Chul-Hong Park, and Il Ki Han. 2020. "Comparative Chemico-Physical Analyses of Strain-Free GaAs/Al0.3Ga0.7As Quantum Dots Grown by Droplet Epitaxy" Nanomaterials 10, no. 7: 1301. https://doi.org/10.3390/nano10071301
APA StyleYeo, I., Kim, D., Lee, K.-T., Kim, J. S., Song, J. D., Park, C.-H., & Han, I. K. (2020). Comparative Chemico-Physical Analyses of Strain-Free GaAs/Al0.3Ga0.7As Quantum Dots Grown by Droplet Epitaxy. Nanomaterials, 10(7), 1301. https://doi.org/10.3390/nano10071301

