Design and Testing of Bistable Lattices with Tensegrity Architecture and Nanoscale Features Fabricated by Multiphoton Lithography
Abstract
1. Introduction
2. Materials and Methods
2.1. Obtaining Bistable Frameworks from Monostable Tensegrity Structures
2.2. Double Tensegrity Prism to Design a Bistable Unit and Corresponding Assemblies
2.3. Fabrication by Multiphoton Lithography and Mechanical Testing
3. Results
3.1. Three-Point Bending of Double-Clamped Beams
3.2. Individual Unit Compression Testing
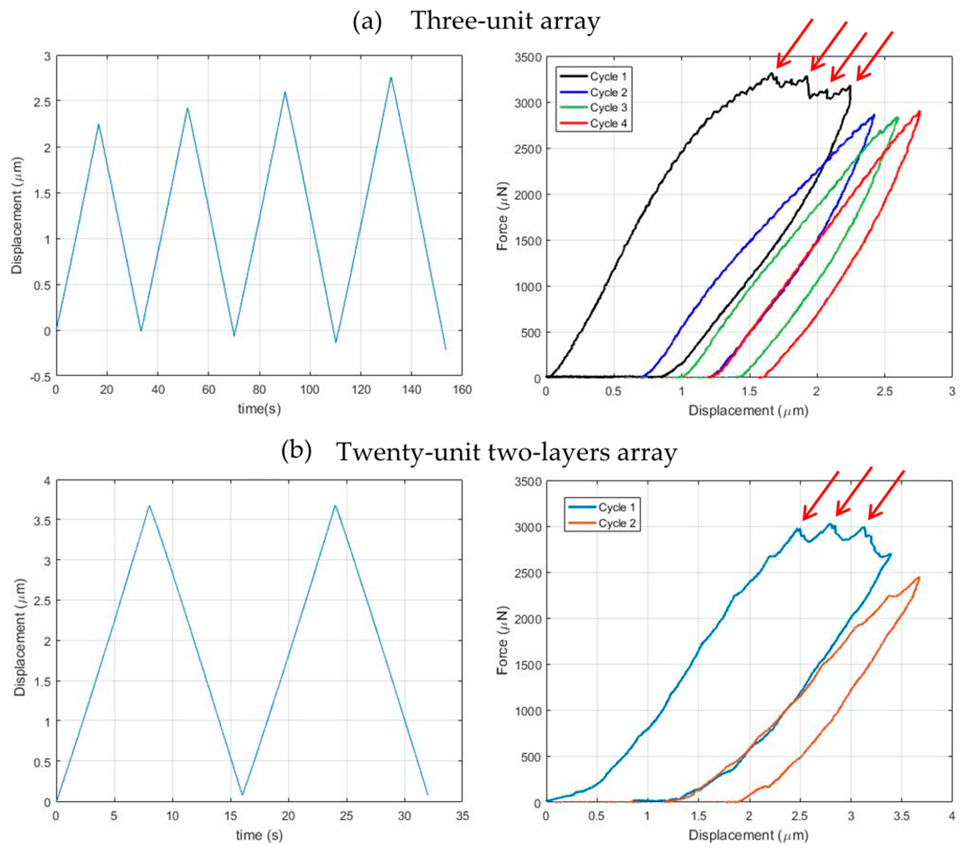
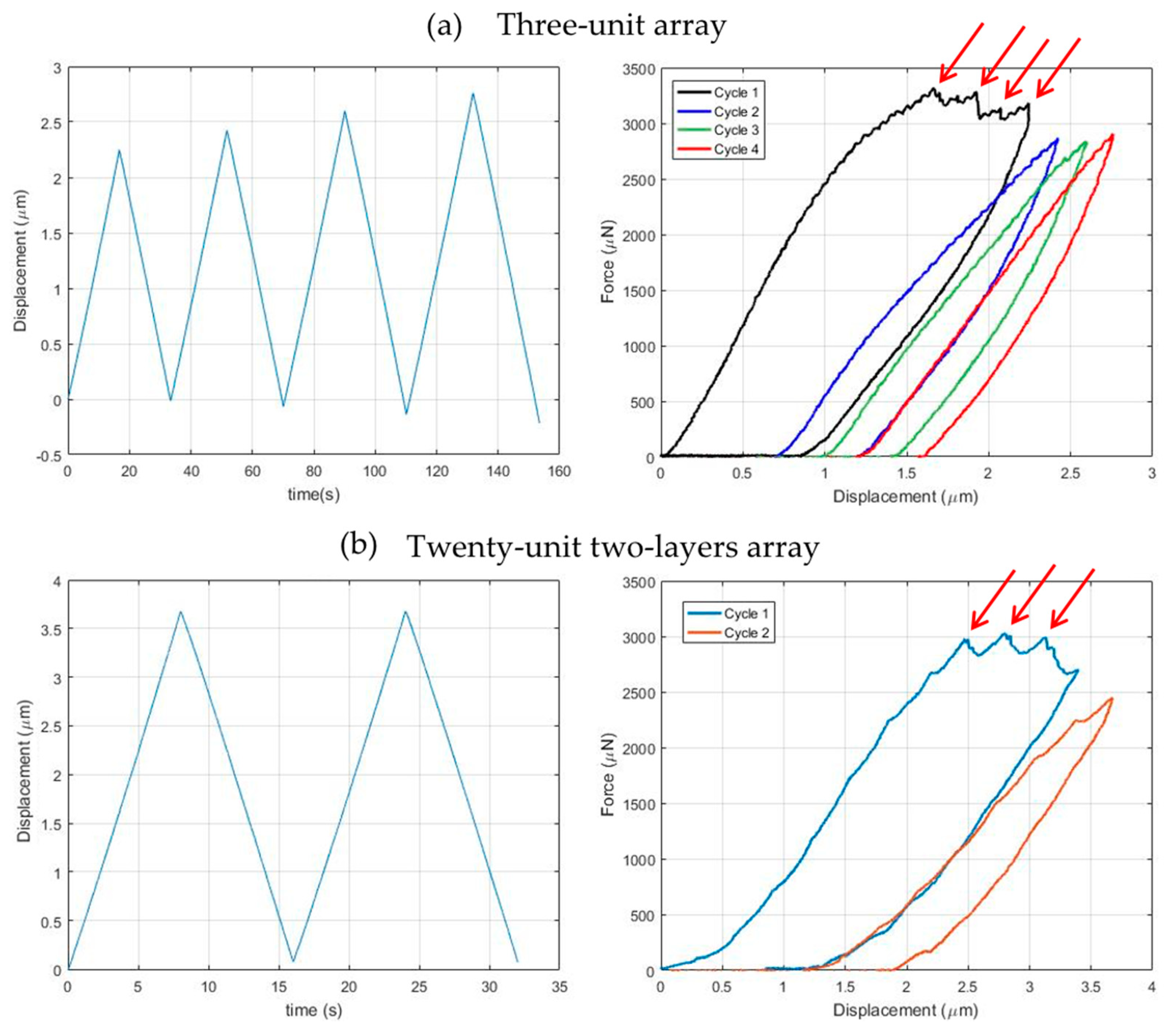
3.3. Three-Unit Array Conpression Testing
3.4. Two-Layer Twenty-Unit Array Compression Testing
3.5. Cracking and Fracture during the Testings
4. Discussion
5. Concluding Remarks
Supplementary Materials
Author Contributions
Funding
Acknowledgments
Conflicts of Interest
References
- Liu, Z.; Zhang, X.; Mao, Y.; Zhu, Y.Y.; Yang, Z.; Chan, C.T.; Sheng, P. Locally Resonant Sonic Materials. Science 2000, 289, 1734–1736. [Google Scholar] [CrossRef] [PubMed]
- Lu, M.-H.; Feng, L.; Chen, Y.-F. Phononic crystals and acoustic metamaterials. Mater. Today 2009, 12, 34–42. [Google Scholar] [CrossRef]
- Maldovan, M. Sound and heat revolutions in phononics. Nature 2013, 503, 209–217. [Google Scholar] [CrossRef]
- Brunet, T.; Leng, J.; Mondain-Monval, O. Soft Acoustic Metamaterials. Science 2013, 342, 323–324. [Google Scholar] [CrossRef]
- Li, H.; Cheng, G.; Liu, Y.; Zhong, D. Anomalous Thermal Response of Graphene Kirigami Induced by Tailored Shape to Uniaxial Tensile Strain: A Molecular Dynamics Study. Nanomaterials 2020, 10, 126. [Google Scholar] [CrossRef] [PubMed]
- Griffith, A.S.; Zhang, T.; Burkert, S.C.; Adiguzel, Z.; Acilan, C.; Star, A.; Saunders, W.S. Characterizing the Cellular Response to Nitrogen-Doped Carbon Nanocups. Nanomaterials 2019, 9, 887. [Google Scholar] [CrossRef]
- Gan, R.; Fan, H.; Wei, Z.; Liu, H.; Lan, S.; Dai, Q. Photothermal Response of Hollow Gold Nanorods under Femtosecond Laser Irradiation. Nanomaterials 2019, 9, 711. [Google Scholar] [CrossRef]
- Deng, B.; Mo, C.; Tournat, V.; Bertoldi, K.; Raney, J.R. Focusing and Mode Separation of Elastic Vector Solitons in a 2D Soft Mechanical Metamaterial. Phys. Rev. Lett. 2019, 123, 024101. [Google Scholar] [CrossRef]
- Yildizdag, M.E.; Tran, C.A.; Barchiesi, E.; Spagnuolo, M.; Dell’Isola, F.; Hild, F. A Multi-disciplinary Approach for Mechanical Metamaterial Synthesis: A Hierarchical Modular Multiscale Cellular Structure Paradigm. Green Nanomater. 2019, 100, 485–505. [Google Scholar]
- Meza, L.; Das, S.; Greer, J.R. Strong, lightweight, and recoverable three-dimensional ceramic nanolattices. Science 2014, 345, 1322–1326. [Google Scholar] [CrossRef]
- Zheng, X.; Lee, H.; Weisgraber, T.H.; Shusteff, M.; DeOtte, J.; Duoss, E.B.; Kuntz, J.D.; Biener, M.M.; Ge, Q.; Jackson, J.A.; et al. Ultralight, ultrastiff mechanical metamaterials. Science 2014, 344, 1373–1377. [Google Scholar] [CrossRef]
- Christensen, J.; Kadic, M.; Kraft, O.; Wegener, M. Vibrant times for mechanical metamaterials. MRS Commun. 2015, 5, 453–462. [Google Scholar] [CrossRef]
- Cummer, S.A.; Christensen, J.; Alù, A. Controlling sound with acoustic metamaterials. Nat. Rev. Mater. 2016, 1, 16001. [Google Scholar] [CrossRef]
- Phani, A.S.; Hussein, M.I. (Eds.) Dynamics of Lattice Materials; John Wiley & Sons, Ltd.: Chichester, UK, 2017. [Google Scholar]
- Fraternali, F.; Senatore, L.; Daraio, C. Solitary waves on tensegrity lattices. J. Mech. Phys. Solids 2012, 60, 1137–1144. [Google Scholar] [CrossRef]
- Fraternali, F.; Carpentieri, G.; Amendola, A.; Skelton, R.E.; Nesterenko, V.F. Multiscale tunability of solitary wave dynamics in tensegrity metamaterials. Appl. Phys. Lett. 2014, 105, 201903. [Google Scholar] [CrossRef]
- Davini, C.; Micheletti, A.; Podio-Guidugli, P. On the impulsive dynamics of T3 tensegrity chains. Meccanica 2016, 51, 2763–2776. [Google Scholar] [CrossRef]
- Micheletti, A.; Ruscica, G.; Fraternali, F. On the compact wave dynamics of tensegrity beams in multiple dimensions. Nonlinear Dyn. 2019, 98, 2737–2753. [Google Scholar] [CrossRef]
- Shan, S.; Kang, S.H.; Raney, J.R.; Wang, P.; Fang, L.; Candido, F.; Lewis, J.A.; Bertoldi, K. Multistable Architected Materials for Trapping Elastic Strain Energy. Adv. Mater. 2015, 27, 4296–4301. [Google Scholar] [CrossRef] [PubMed]
- Raney, J.R.; Nadkarni, N.; Daraio, C.; Kochmann, D.M.; Lewis, J.A.; Bertoldi, K. Stable propagation of mechanical signals in soft media using stored elastic energy. Proc. Natl. Acad. Sci. USA 2016, 113, 9722–9727. [Google Scholar] [CrossRef]
- Bilal, O.R.; Foehr, A.; Daraio, C. Bistable metamaterial for switching and cascading elastic vibrations. Proc. Natl. Acad. Sci. USA 2017, 114, 4603–4606. [Google Scholar] [CrossRef]
- Chen, T.; Bilal, O.R.; Shea, K.; Daraio, C. Harnessing bistability for directional propulsion of soft, untethered robots. Proc. Natl. Acad. Sci. USA 2018, 115, 5698–5702. [Google Scholar] [CrossRef]
- Deng, B.; Wang, P.; Tournat, V.; Bertoldi, K. Nonlinear transition waves in free-standing bistable chains. J. Mech. Phys. Solids 2020, 136, 103661. [Google Scholar] [CrossRef]
- Jeong, H.Y.; An, S.-C.; Seo, I.C.; Lee, E.; Ha, S.; Kim, N.; Jun, Y.C. 3D printing of twisting and rotational bistable structures with tuning elements. Sci. Rep. 2019, 9, 324. [Google Scholar] [CrossRef] [PubMed]
- Puglisi, G.; Truskinovsky, L. Mechanics of a discrete chain with bi-stable elements. J. Mech. Phys. Solids 2000, 48, 1–27. [Google Scholar] [CrossRef]
- Guest, S.D.; Pellegrino, S. Analytical models for bistable cylindrical shells. Proc. R. Soc. A: Math. Phys. Eng. Sci. 2006, 462, 839–854. [Google Scholar] [CrossRef]
- Schioler, T.; Pellegrino, S. Space Frames with Multiple Stable Configurations. AIAA J. 2007, 45, 1740–1747. [Google Scholar] [CrossRef]
- Zirbel, S.A.; Tolman, K.A.; Trease, B.P.; Howell, L.L. Bistable Mechanisms for Space Applications. PLoS ONE 2016, 11, e0168218. [Google Scholar] [CrossRef]
- Sajjad, M.; Makarov, V.; Mendoza, F.; Sultan, M.S.; Aldalbahi, A.; Feng, P.; Jadwisienczak, W.M.; Weiner, B.; Morell, G. Synthesis, Characterization and Fabrication of Graphene/Boron Nitride Nanosheets Heterostructure Tunneling Devices. Nanomaterials 2019, 9, 925. [Google Scholar] [CrossRef]
- Pavlov, D.; Zhizhchenko, A.; Honda, M.; Yamanaka, M.; Vitrik, O.; Kulinich, S.A.; Juodkazis, S.; Kudryashov, S.I.; Kuchmizhak, A.A. Multi-Purpose Nanovoid Array Plasmonic Sensor Produced by Direct Laser Patterning. Nanomaterials 2019, 9, 1348. [Google Scholar] [CrossRef]
- Jipa, F.; Iosub, S.; Calin, B.; Axente, E.; Sima, F.; Sugioka, K. High Repetition Rate UV versus VIS Picosecond Laser Fabrication of 3D Microfluidic Channels Embedded in Photosensitive Glass. Nanomaterials 2018, 8, 583. [Google Scholar] [CrossRef]
- Achour, A.; Islam, M.; Vizireanu, S.; Ahmad, I.; Akram, M.A.; Saeed, K.; Dinescu, G.; Pireaux, J.-J. Orange/Red Photoluminescence Enhancement Upon SF6 Plasma Treatment of Vertically Aligned ZnO Nanorods. Nanomaterials 2019, 9, 794. [Google Scholar] [CrossRef] [PubMed]
- De Oliveira, M.; Wroldsen, A.S. Dynamics of Tensegrity Systems; Springer Science and Business Media LLC: Berlin, Germany, 2010; pp. 73–88. [Google Scholar]
- Oppenheim, I.J.; Williams, W.O. Geometric Effects in an Elastic Tensegrity Structure. J. Elast. 2000, 59, 51–65. [Google Scholar] [CrossRef]
- Oppenheim, I.J.; Williams, W.O. Vibration of an elastic tensegrity structure. Eur. J. Mech.-A/Solids 2001, 20, 1023–1031. [Google Scholar] [CrossRef]
- Mascolo, I.; Amendola, A.; Zuccaro, G.; Feo, L.; Fraternali, F. On the Geometrically Nonlinear Elastic Response of Class θ = 1 Tensegrity Prisms. Front. Mater. 2018, 5, 16. [Google Scholar] [CrossRef]
- Pal, R.K.; Ruzzene, M.; Rimoli, J. Tunable wave propagation by varying prestrain in tensegrity-based periodic media. Extreme Mech. Lett. 2018, 22, 149–156. [Google Scholar] [CrossRef]
- Pajunen, K.; Johanns, P.; Pal, R.K.; Rimoli, J.; Daraio, C. Design and impact response of 3D-printable tensegrity-inspired structures. Mater. Des. 2019, 182, 107966. [Google Scholar] [CrossRef]
- Micheletti, A. Bistable regimes in an elastic tensegrity system. Proc. R. Soc. A: Math. Phys. Eng. Sci. 2013, 469, 20130052. [Google Scholar] [CrossRef]
- Defossez, M. Shape memory effect in tensegrity structures. Mech. Res. Commun. 2003, 30, 311–316. [Google Scholar] [CrossRef]
- Xu, X.; Luo, Y. Form-finding of nonregular tensegrities using a genetic algorithm. Mech. Res. Commun. 2010, 37, 85–91. [Google Scholar] [CrossRef]
- Katz, S.; Givli, S. Solitary waves in a bistable lattice. Extreme Mech. Lett. 2018, 22, 106–111. [Google Scholar] [CrossRef]
- Calladine, C. Buckminster Fuller’s “Tensegrity” structures and Clerk Maxwell’s rules for the construction of stiff frames. Int. J. Solids Struct. 1978, 14, 161–172. [Google Scholar] [CrossRef]
- Lobontiu, N.; Paine, J.S.N.; Garcia, E.; Goldfarb, M. Corner-Filleted Flexure Hinges. J. Mech. Des. 2000, 123, 346–352. [Google Scholar] [CrossRef]
- Furqan, M.; Alam, N. Finite element analysis of a Stewart platform using flexible joints. In Proceedings of the 1st International and 16th National Conference on Machines and Mechanisms (iNaCoMM2013), IIT Roorkee, India, 18–20 December 2013; pp. 1044–1049. [Google Scholar]
- Ovsianikov, A.; Viertl, J.; Chichkov, B.; Oubaha, M.; MacCraith, B.; Sakellari, I.; Giakoumaki, A.; Gray, D.; Vamvakaki, M.; Farsari, M.; et al. Ultra-Low Shrinkage Hybrid Photosensitive Material for Two-Photon Polymerization Microfabrication. ACS Nano 2008, 2, 2257–2262. [Google Scholar] [CrossRef] [PubMed]
- Sakellari, I.; Kabouraki, E.; Gray, D.; Purlys, V.; Fotakis, C.; Pikulin, A.; Bityurin, N.; Vamvakaki, M.; Farsari, M. Diffusion-Assisted High-Resolution Direct Femtosecond Laser Writing. ACS Nano 2012, 6, 2302–2311. [Google Scholar] [CrossRef] [PubMed]
- Seniutinas, G.; Weber, A.; Padeste, C.; Sakellari, I.; Farsari, M.; David, C. Beyond 100 nm resolution in 3D laser lithography—Post processing solutions. Microelectron. Eng. 2018, 191, 25–31. [Google Scholar] [CrossRef]
- Daraio, C.; Fraternali, F. Method and Apparatus for Wave Generation and Detection Using Tensegrity Structures. U.S. Patent 8,616,328, 31 December 2013. [Google Scholar]
- Calladine, C.; Pellegrino, S. First-order infinitesimal mechanisms. Int. J. Solids Struct. 1991, 27, 505–515. [Google Scholar] [CrossRef]
- Micheletti, A. Simple Analytical Models of Tensegrity Structures. In Fracture Mechanics; Springer Science and Business Media LLC: Berlin, Germany, 2004; Volume 14, pp. 351–358. [Google Scholar]
- Micheletti, A. The Indeterminacy Condition for Tensegrity Towers: A Kinematic Approach. Revue Française de Génie Civil 2003, 7, 329–342. [Google Scholar] [CrossRef]
- Micheletti, A. Modular Tensegrity Structures: The ”Tor Vergata” Footbridge. In Fracture Mechanics; Springer Science and Business Media LLC: Berlin, Germany, 2012; Volume 61, pp. 375–384. [Google Scholar]
- Favata, A.; Micheletti, A.; Podio-Guidugli, P. A nonlinear theory of prestressed elastic stick-and-spring structures. Int. J. Eng. Sci. 2014, 80, 4–20. [Google Scholar] [CrossRef]
- Amendola, A.; Favata, A.; Micheletti, A. On the Mechanical Modeling of Tensegrity Columns Subject to Impact Loading. Front. Mater. 2018, 5, 22. [Google Scholar] [CrossRef]
- Favata, A.; Micheletti, A.; Podio-Guidugli, P.; Pugno, N.M. How graphene flexes and stretches under concomitant bending couples and tractions. Meccanica 2016, 52, 1601–1624. [Google Scholar] [CrossRef]
- Vangelatos, Z.; Komvopoulos, K.; Grigoropoulos, C. Vacancies for controlling the behavior of microstructured three-dimensional mechanical metamaterials. Math. Mech. Solids 2018, 24, 511–524. [Google Scholar] [CrossRef]
- Micheletti, A.; Williams, W. A marching procedure for form-finding for tensegrity structures. J. Mech. Mater. Struct. 2007, 2, 857–882. [Google Scholar] [CrossRef]
- Kanno, Y. Exploring new tensegrity structures via mixed integer programming. Struct. Multidiscip. Optim. 2013, 48, 95–114. [Google Scholar] [CrossRef]
- Pietroni, N.; Tarini, M.; Vaxman, A.; Panozzo, D.; Cignoni, P. Position-based tensegrity design. ACM Trans. Graph. 2017, 36, 1–14. [Google Scholar] [CrossRef]
- Eberle, P.; Holler, C.; Müller, P.; Suomalainen, M.; Greber, U.F.; Eghlidi, H.; Poulikakos, D. Single entity resolution valving of nanoscopic species in liquids. Nat. Nanotechnol. 2018, 13, 578–582. [Google Scholar] [CrossRef]
- Liedl, T.; Högberg, B.; Tytell, J.; Ingber, N.E.; Shih, W.M. Self-assembly of three-dimensional prestressed tensegrity structures from DNA. Nat. Nanotechnol. 2010, 5, 520–524. [Google Scholar] [CrossRef]











© 2020 by the authors. Licensee MDPI, Basel, Switzerland. This article is an open access article distributed under the terms and conditions of the Creative Commons Attribution (CC BY) license (http://creativecommons.org/licenses/by/4.0/).
Share and Cite
Vangelatos, Z.; Micheletti, A.; Grigoropoulos, C.P.; Fraternali, F. Design and Testing of Bistable Lattices with Tensegrity Architecture and Nanoscale Features Fabricated by Multiphoton Lithography. Nanomaterials 2020, 10, 652. https://doi.org/10.3390/nano10040652
Vangelatos Z, Micheletti A, Grigoropoulos CP, Fraternali F. Design and Testing of Bistable Lattices with Tensegrity Architecture and Nanoscale Features Fabricated by Multiphoton Lithography. Nanomaterials. 2020; 10(4):652. https://doi.org/10.3390/nano10040652
Chicago/Turabian StyleVangelatos, Zacharias, Andrea Micheletti, Costas P. Grigoropoulos, and Fernando Fraternali. 2020. "Design and Testing of Bistable Lattices with Tensegrity Architecture and Nanoscale Features Fabricated by Multiphoton Lithography" Nanomaterials 10, no. 4: 652. https://doi.org/10.3390/nano10040652
APA StyleVangelatos, Z., Micheletti, A., Grigoropoulos, C. P., & Fraternali, F. (2020). Design and Testing of Bistable Lattices with Tensegrity Architecture and Nanoscale Features Fabricated by Multiphoton Lithography. Nanomaterials, 10(4), 652. https://doi.org/10.3390/nano10040652

