Performance of Intrinsic and Modified Graphene for the Adsorption of H2S and CH4: A DFT Study
Abstract
1. Introduction
2. Theory and Simulation
3. Results and Discussion
3.1. Establishment and Analysis of All the Models
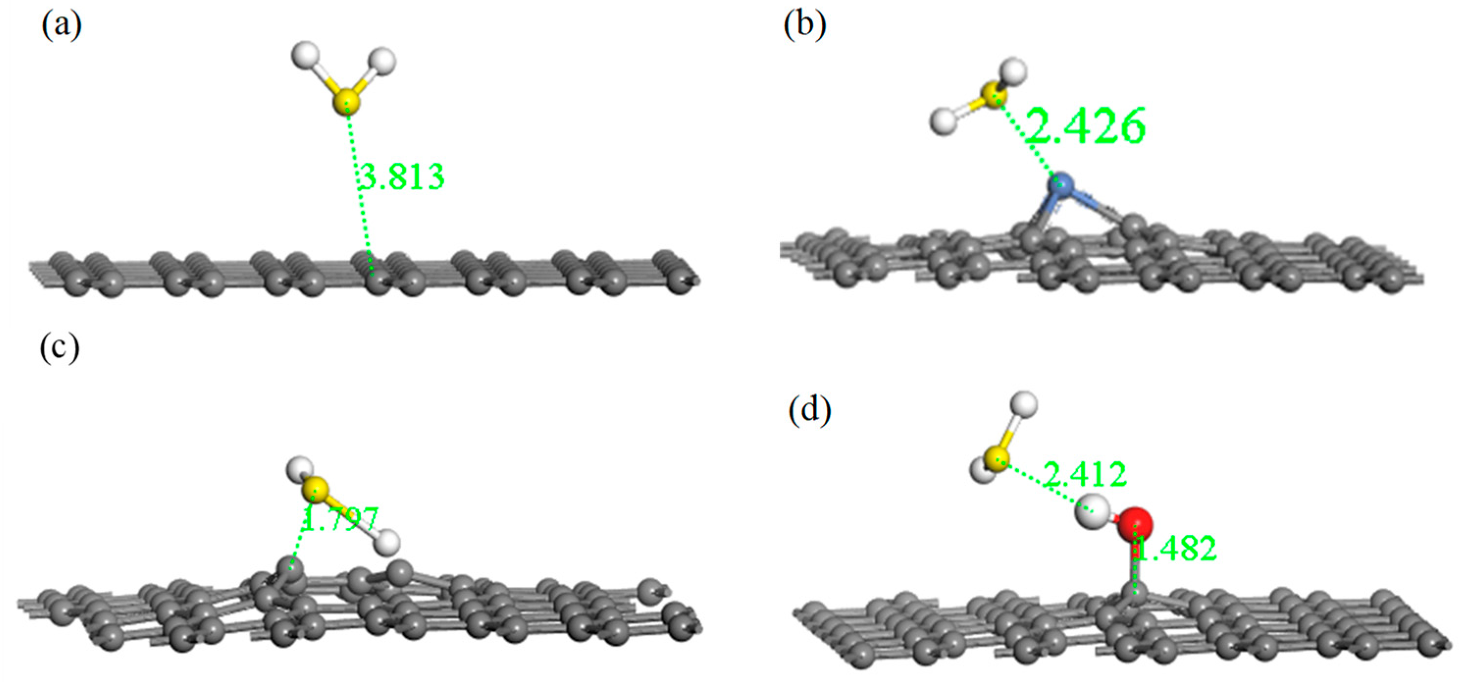
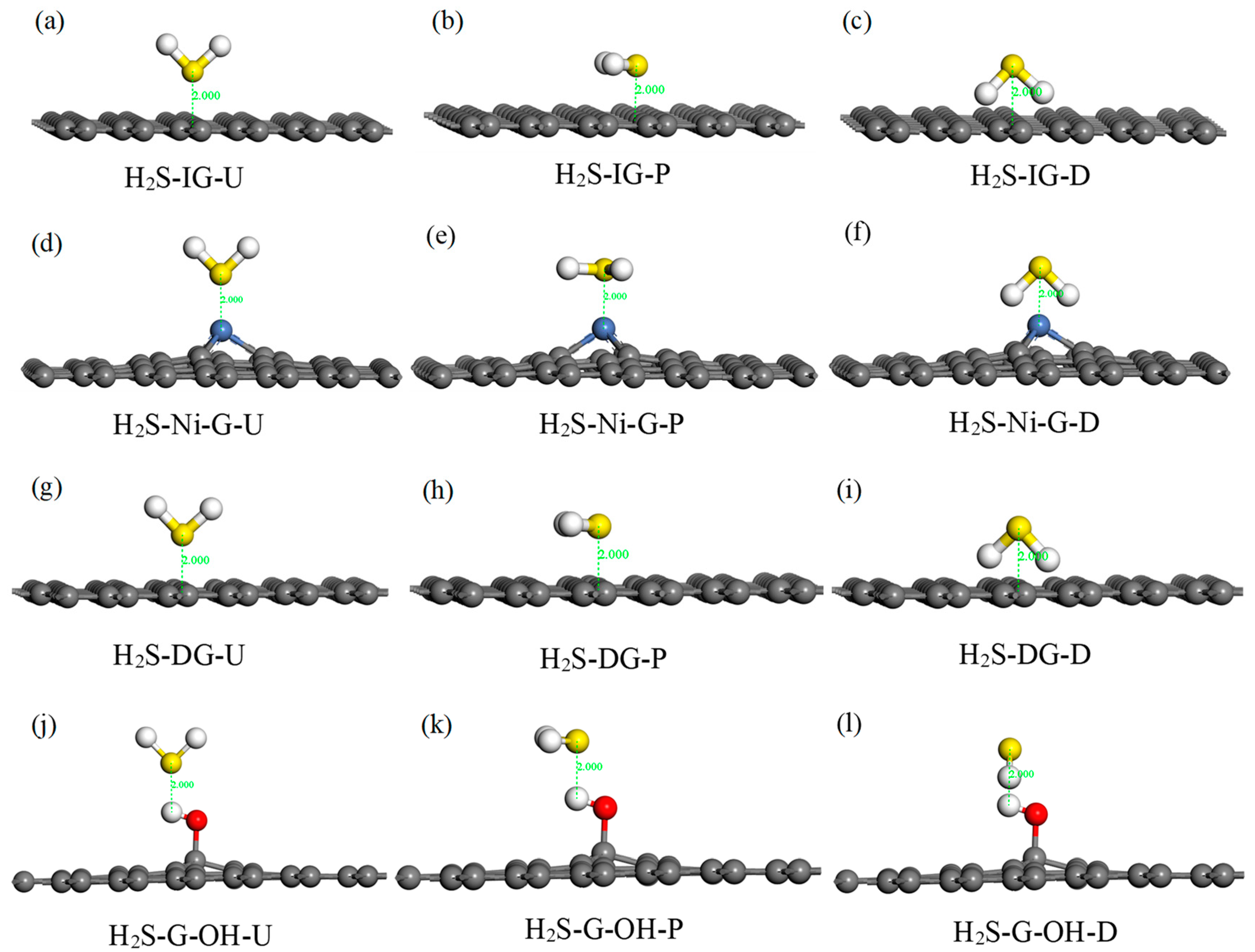
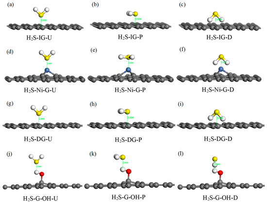
3.2. IG, Ni–G, DG, and GO Adsorption of H2S
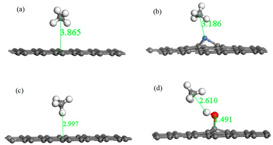
3.3. IG, Ni–G, DG, and GO Adsorption of CH4
4. Conclusions
Author Contributions
Funding
Conflicts of Interest
References
- Zhang, M.H.; Fu, Z.Z.; Yu, Y.Z. Adsorption and decomposition of H2S on the Ni (111) and Ni (211) surfaces: A first-principles density functional study. Appl. Surf. Sci. 2019, 473, 657–667. [Google Scholar] [CrossRef]
- Usman, T.; Luo, H.-J.; Zhang, Y.; Tao, X.-M.; Tan, M.-Q. Adsorption and dissociation of H2S on Rh (100) surface by First-principle study. Appl. Surf. Sci. 2017, 425, 367–376. [Google Scholar] [CrossRef]
- Zhang, Y.-H.; Han, L.-F.; Xiao, Y.-H.; Jia, D.-Z.; Guo, Z.-H.; Li, F. Understanding dopant and defect effect on H2S sensing performances of graphene: A first-principles study. Comput. Mater. Sci. 2013, 69, 222–228. [Google Scholar] [CrossRef]
- Faye, O.; Eduok, U.; Szpunar, J.; Samoura, A.; Beye, A. H2S adsorption and dissociation on NH-decorated graphene: A first principles study. Surf. Sci. 2018, 668, 100–106. [Google Scholar] [CrossRef]
- Khodadadi, Z. Evaluation of H2S sensing characteristics of metals–doped graphene and metals-decorated graphene: Insights from DFT study. Physica E 2018, 99, 261–268. [Google Scholar] [CrossRef]
- Majidi, R.; Ramazani, A. Detection of HF and H2S with pristine and Ti-embedded twin graphene: A density functional theory study. J. Phys. Chem. Solids 2019, 132, 31–37. [Google Scholar] [CrossRef]
- Faye, O.; Raj, A.; Mittal, V.; Beye, A.C. H2S adsorption on graphene in the presence of sulfur: A density functional theory study. Comput. Mater. Sci. 2016, 117, 110–119. [Google Scholar] [CrossRef]
- Ghanbari, R.; Safaiee, R.; Golshan, M.M. A dispersion-corrected DFT investigation of CH4 adsorption by silverdecorated monolayer graphene in the presence of ambient oxygen molecules. Appl. Surf. Sci. 2018, 457, 303–314. [Google Scholar] [CrossRef]
- Mishra, A.K.; Mishra, S. Tuning of adsorption energies of CO2 and CH4 in borocarbonitrides BxCyNz: A first-principles study. J. Mol. Gr. Modell. 2019, 93, 107446. [Google Scholar] [CrossRef]
- Li, K.; Jiao, M.G.; Wang, Y.; Wu, Z.J. CH4 dissociation on NiM (111) (M = Co, Rh, Ir) surface: A first-principles study. Surf. Sci. 2013, 617, 149–155. [Google Scholar] [CrossRef]
- El Houda Bensiradj, N.; Timón, V.; Boussessi, R.; Dalbouha, S.; Senent, M.L. DFT studies of single and multiple molecular adsorption of CH4, SF6 and H2O in Zeolitic-Imidazolate Framework (ZIF-4 and ZIF-6). Inorg. Chim. Acta 2019, 490, 272–281. [Google Scholar] [CrossRef]
- Gasparik, M.; Rexer, T.F.T.; Aplin, A.C.; Billemont, P.; Weireld, G.D.; Gensterblum, Y.; Mathieu, H.; Krooss, B.M.; Liu, S.; Ma, X.; et al. First international inter-laboratory comparison of high-pressure CH4, CO2 and C2H6 sorption isotherms on carbonaceous shales. Int. J. Coal Geol. 2014, 132, 131–146. [Google Scholar] [CrossRef]
- Li, Z.; Yang, Q.-S. Sensing mechanism of flexible and stretchable composites based on stacked grapheme. Mater. Des. 2020, 187, 108384. [Google Scholar] [CrossRef]
- Song, H.-Q.; Liu, Z.; Zhang, D.-B. Interlayer vibration of twisted bilayer graphene: A first-principles study. Phys. Lett. A 2019, 383, 2628–2632. [Google Scholar] [CrossRef]
- Guo, Z.; Liao, N.B.; Zhang, M.; Feng, A.X. Enhanced gas sensing performance of polyaniline incorporated with graphene: A first-principles study. Phys. Lett. A 2019, 383, 2751–2754. [Google Scholar] [CrossRef]
- Kumar, V.; Vikrant, K.; Kim, K.-H. Use of graphene-based structures as platforms for the trace-level detection of gaseous formaldehyde and insights into their superior sensing potentials. TrAC Trends Anal. Chem. 2019, 121, 115694. [Google Scholar] [CrossRef]
- Ali, M.; Tit, N.; Pi, X.D.; Yamani, Z.H. First principles study on the functionalization of graphene with Fe catalyst for the detection of CO2: Effect of catalyst clustering. Appl. Surf. Sci. 2019, 502, 144153. [Google Scholar] [CrossRef]
- Santosh, R.; Kumar, V. The structural, electronic, optical and thermodynamical properties of hydrofluorinated graphene: First-principle calculations. Solid State Sci. 2019, 94, 70–76. [Google Scholar] [CrossRef]
- Sharma, V.; Kagdada, H.L.; Wang, J.L.; Jha, P.K. Hydrogen adsorption on pristine and platinum decorated graphene quantum dot: A first principle study. Int. J. Hydrog. Energy 2019. [Google Scholar] [CrossRef]
- Esrafili, M.D.; Saeidi, N.; Nematollahi, P. Si-doped graphene: A promising metal-free catalyst for oxidation of SO2. Chem. Phys. Lett. 2016, 649, 37–43. [Google Scholar] [CrossRef]
- Yang, B.; Li, D.B.; Qi, L.; Li, T.B.; Yang, P. Thermal properties of triangle nitrogen-doped graphene nanoribbons. Phys. Lett. A 2019, 383, 1306–1311. [Google Scholar] [CrossRef]
- Hu, X.Y.; Liu, M.; Liu, X.Y.; Ma, Y.X.; Nan, H.S.; Bi, D.M.; Qiao, L.; Li, Y.G. Sensing and absorbing of sulfur mustard using Pt-decorated graphene from first-principles calculations. Physica E 2019, 114, 113634. [Google Scholar] [CrossRef]
- Ma, S.H.; Chen, J.C.; Wang, L.F.; Jiao, Z.Y. First-principles insight into hydrogen adsorption over Co4 anchored on defective grapheme. Appl. Surf. Sci. 2019, 504, 144413. [Google Scholar] [CrossRef]
- Zhang, X.X.; Yu, L.; Gui, Y.G.; Hu, W.H. First-principles study of SF6 decomposed gas adsorbed on Au-decorated grapheme. Appl. Surf. Sci. 2016, 367, 259–269. [Google Scholar] [CrossRef]
- Yang, S.L.; Lei, G.; Xu, H.X.; Xu, B.; Li, H.P.; Lan, Z.G.; Wang, Z. A DFT study of CO adsorption on the pristine, defective, In-doped and Sb-doped graphene and the effect of applied electric field. Appl. Surf. Sci. 2019, 480, 205–211. [Google Scholar] [CrossRef]
- Alrammouz, R.; Podlecki, J.; Vena, A.; Garcia, R.; Abboud, P.; Habchi, R.; Sorli, B. Highly porous and flexible capacitive humidity sensor based on self-assembled graphene oxide sheets on a paper substrate. Sens. Actuator B Chem. 2019, 298, 126892. [Google Scholar] [CrossRef]
- Ollik, K.; Rybarczyk, M.; Karczewski, J.; Lieder, M. Fabrication of anti-corrosion nitrogen doped graphene oxide coatings by electrophoretic deposition. Appl. Surf. Sci. 2020, 499, 143914. [Google Scholar] [CrossRef]
- Miraftab, R.; Ramezanzadeh, B.; Bahlakeh, G.; Mahdavian, M. An advanced approach for fabricating a reduced graphene oxide-AZO dye/polyurethane composite with enhanced ultraviolet (UV) shielding properties: Experimental and first-principles QM modeling. Chem. Eng. J. 2017, 321, 159–174. [Google Scholar] [CrossRef]
- Ganji, M.D.; Sharifi, N.; Ardjmand, M.; Ahangari, M.G. Pt-decorated graphene as superior media for H2S adsorption: A first-principles study. Appl. Surf. Sci. 2012, 261, 697–704. [Google Scholar] [CrossRef]
- Wang, S.; Zhao, L.; Xu, R.; Ma, Y.; Ma, L. Facile fabrication of biosensors based on Cu nanoparticles modified as-grown CVD graphene for non-enzymatic glucose sensing. J. Electroanal. Chem. 2019, 853, 113527. [Google Scholar] [CrossRef]
- Ovsianytskyi, O.; Nam, Y.S.; Tsymbalenko, O.; Lan, P.T.; Moon, M.W.; Lee, K.B. Highly sensitive chemiresistive H2S gas sensor based on graphene decorated with Ag nanoparticles and charged impurities. Sens. Actuators B Chem. 2018, 257, 278–285. [Google Scholar] [CrossRef]
- Gui, Y.G.; Hao, Z.S.; Li, X.; Tang, C.; Xu, L.N. Gas sensing of graphene and graphene oxide nanoplatelets to ClO2 and its decomposed species. Superlattices Microstruct. 2019, 135, 106248. [Google Scholar] [CrossRef]
- Liu, R.; Gong, T.; Zhang, K.; Lee, C. Graphene oxide papers with high water adsorption capacity for air dehumidification. Sci. Rep. 2017, 7, 9761. [Google Scholar] [CrossRef] [PubMed]
- Nematollahi, P.; Neyts, E.C. Direct methane conversion to methanol on M and MN4 embedded graphene (M = Ni and Si): A comparative DFT study. Appl. Surf. Sci. 2019, 496, 143618. [Google Scholar] [CrossRef]
- Nithya, S.; Sharan, R.; Roy, M.; Kim, H.H.; Ishihara, T.; Dutta, A. Ni doping in CuO: A highly sensitive electrode for sensing ammonia in ppm level using lanthanum gallate based electrolyte. Mater. Res. Bull. 2019, 118, 110478. [Google Scholar] [CrossRef]
- Yao, W.J.; Zhou, S.G.; Wang, Z.X.; Lu, Z.B.; Hou, C.J. Antioxidant behaviors of graphene in marine environment: A first-principles simulation. Appl. Surf. Sci. 2020, 499, 143962. [Google Scholar] [CrossRef]
- Pakornchote, T.; Ektarawong, A.; Alling, B.; Pinsook, U.; Tancharakorn, S.; Busayaporn, W.; Bovornratanaraks, T. Phase stabilities and vibrational analysis of hydrogenated diamondized bilayer graphenes: A first principles investigation. Carbon 2019, 146, 468–475. [Google Scholar] [CrossRef]
- Ahangari, M.G.; Mashhadzadeh, A.H.; Fathalian, M.; Dadrasi, A.; Mallahi, A. Effect of various defects on mechanical and electronic properties of zinc-oxide graphene-like structure: A DFT study. Vacuum 2019, 165, 26–34. [Google Scholar] [CrossRef]
- Dai, X.S.; Shen, T.; Feng, Y.; Liu, H.C. Structure, electronic and optical properties of Al, Si, P doped penta-graphene: A first-principles study. Phys. B Condens. Matter 2019, 574, 411660. [Google Scholar] [CrossRef]
- Li, W.; Lu, X.M.; Li, G.Q.; Ma, J.-J.; Zeng, P.-Y.; Chen, J.-F.; Pan, Z.-L.; He, Q.-Y. First-principle study of SO2 molecule adsorption on Ni-doped vacancy-defected single-walled (8,0) carbon nanotubes. Appl. Surf. Sci. 2016, 364, 560–566. [Google Scholar] [CrossRef]
- Zhang, C.P.; Li, B.; Shao, Z.G. First-principle investigation of CO and CO2 absorption on Fe-doped penta-graphene. Appl. Surf. Sci. 2019, 469, 641–646. [Google Scholar] [CrossRef]
- Fu, D.L.; Guo, W.Y.; Liu, Y.J.; Chi, Y.H. Adsorption and dissociation of H2S on Mo2C (001) surface-A first-principle study. Appl. Surf. Sci. 2015, 351, 125–134. [Google Scholar] [CrossRef]
- Zhang, T.Y.; Yang, X.F.; Ge, Q.F. CH4 dissociation and CC coupling on Mo-terminated MoC surfaces: A DFT study. Catal. Today 2020, 339, 54–61. [Google Scholar] [CrossRef]
- Struzzi, C.; Sezen, H.; Amati, M.; Gregoratti, L.; Reckinger, N.; Colomer, J.-F.; Snyders, R.; Bittencourt, C.; Scardamaglia, M. Fluorine and sulfur simultaneously co-doped suspended grapheme. Appl. Surf. Sci. 2017, 422, 104–110. [Google Scholar] [CrossRef]
- Tabari, L.; Farmanzadeh, D. Yttrium doped graphene oxide as a new adsorbent for H2O, CO, and ethylene molecules: Dispersion-corrected DFT calculations. Appl. Surf. Sci. 2020, 500, 144029. [Google Scholar] [CrossRef]
- Ni, J.; Quintana, M.; Song, S. Adsorption of small gas molecules on transition metal (Fe, Ni and Co, Cu) doped graphene: A systematic DFT study. Physica E 2020, 116, 113768. [Google Scholar] [CrossRef]
- Bo, Z.; Guo, X.; Wei, X.; Yang, H.; Yan, J.; Cen, K. Density functional theory calculations of NO2 and H2S adsorption on the group 10 transition metal (Ni, Pd and Pt) decorated grapheme. Physica E 2019, 109, 156–163. [Google Scholar] [CrossRef]











| Model | Designation | Model | Designation | Model | Designation |
|---|---|---|---|---|---|
| Intrinsic graphene | IG | H2S adsorbed on IG | H2S–IG | CH4 adsorbed on IG | CH4–IG |
| Ni-doped graphene | Ni–G | H2S adsorbed on Ni–G | H2S–Ni–G | CH4 adsorbed on Ni–G | CH4–Ni–G |
| Vacancy defect graphene | DG | H2S adsorbed on DG | H2S–DG | CH4 adsorbed on DG | CH4–DG |
| Graphene oxide | G–OH | H2S adsorbed on G–OH | H2S-G–OH | CH4 adsorbed on G–OH | CH4-G–OH |
| IG | Ni–G | DG | G–OH | |
|---|---|---|---|---|
| Bond length (Å) | (C–C) 1.420, 1.420, 1.420 | (Ni–C) 1.796, 1.799, 1.799 | (C–C) 1.399, 1.368 | (C–O) 1.493 (C–C) 1.648, 1.555, 1.364 |
| Bond angle (°) | (C–C–C) 120.020 | (C–Ni–C) 94.287 | (C–C–C) 123.558 | (C–C–C) 79.203, 115.470, 144.921 |
| Charge transfer (e) | 0 | −0.013 | −0.005 | −0.233 |
| Spin (μB) | 0 | 0 | −2.002 | 0 |
| Models | Eads (eV) | |||
|---|---|---|---|---|
| H2S–IG | H2S–Ni–G | H2S–DG | H2S–G–OH | |
| U | −0.038 | −0.698 | −1.173 | −1.256 |
| P | −0.019 | −0.699 | −1.149 | −1.263 |
| D | −0.025 | −0.684 | −2.934 | −1.258 |
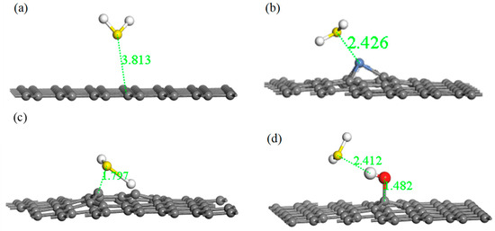
| Different System | Absorption Energy (eV) | Absorption Distance (Å) | Bond Length (Å) | Bond Angle (°) | Charge Transfer (e) | |
|---|---|---|---|---|---|---|
| H2S–IG | −0.038 | 3.811 | S–H1 (1.355) S–H2 (1.355) | C–C 1.423 | 90.707 | +0.004 |
| H2S–Ni–G | −0.699 | 2.426 | S–H1 (1.359) S–H2 (1.358) | Ni–C 1.844, 1.848, 1.809 | 92.174 | +0.233 |
| H2S–DG | −2.934 | 1.797 | S–H1 (1.358) S–H2 (2.146) | C–C 1.452, 1.435 | 86.093 | +0.172 |
| H2S–G–OH | −1.263 | 2.412 | S–H1 (1.356) S–H2 (1.356) | C–O 1.482 C–C 1.501 | 91.456 | +0.054 |
| Models | Eads (eV) | |||
|---|---|---|---|---|
| CH4–IG | CH4– Ni–G | CH4–DG | CH4–G–OH | |
| O | −0.017 | −0.095 | −0.154 | −0.040 |
| T | −0.022 | −0.099 | −0.153 | −0.047 |
| Different System | Absorption Energy (eV) | Absorption Distance (Å) | Bond Length (Å) | Bond Angle (°) | Charge Transfer (e) | |
|---|---|---|---|---|---|---|
| CH4–IG | −0.022 | 3.865 | C–H (1.096) | C–C 1.421 | 109.449 | −0.002 |
| CH4–Ni–G | −0.099 | 3.186 | C–H (1.100) | Ni–C 1.808, 1.801, 1.798 | 111.341 | −0.041 |
| CH4–DG | −0.154 | 2.997 | C–H (1.097) | C–C 1.399, 1.474 | 109.466 | −0.004 |
| CH4–G–OH | −0.047 | 2.610 | C–H (1.097) | C–O 1.491 C–C 1.500 | 109.982 | −0.009 |
| Gas | Material | Eads (eV) | Adsorption Distance (Å) | Charge Transfer (e) | Reference |
|---|---|---|---|---|---|
| CO | DG | −1.864 | 1.329 | 0.24 | [25] |
| Cl2 | Ni–G | −0.633 | 2.742 | 0.051 | [32] |
| H2O | GO | −0.72 | / | 0.039 | [45] |
| H2O | Y–GO | −1.38 | / | 0.044 | [45] |
| CO2 | Ni–G | −0.85 | 3.4 | 0.15 | [46] |
| H2S | Pt–G | −2.034 | 2.274 | 0.035 | [47] |
| H2S | Pd–G | −1.228 | 2.202 | 0.113 | [47] |
| H2S | Ni–G | −0.699 | 2.426 | 0.233 | This work |
| H2S | DG | −2.934 | 1.797 | 0.172 | This work |
| H2S | G–OH | −1.263 | 2.412 | 0.054 | This work |
© 2020 by the authors. Licensee MDPI, Basel, Switzerland. This article is an open access article distributed under the terms and conditions of the Creative Commons Attribution (CC BY) license (http://creativecommons.org/licenses/by/4.0/).
Share and Cite
Gao, X.; Zhou, Q.; Wang, J.; Xu, L.; Zeng, W. Performance of Intrinsic and Modified Graphene for the Adsorption of H2S and CH4: A DFT Study. Nanomaterials 2020, 10, 299. https://doi.org/10.3390/nano10020299
Gao X, Zhou Q, Wang J, Xu L, Zeng W. Performance of Intrinsic and Modified Graphene for the Adsorption of H2S and CH4: A DFT Study. Nanomaterials. 2020; 10(2):299. https://doi.org/10.3390/nano10020299
Chicago/Turabian StyleGao, Xin, Qu Zhou, Jingxuan Wang, Lingna Xu, and Wen Zeng. 2020. "Performance of Intrinsic and Modified Graphene for the Adsorption of H2S and CH4: A DFT Study" Nanomaterials 10, no. 2: 299. https://doi.org/10.3390/nano10020299
APA StyleGao, X., Zhou, Q., Wang, J., Xu, L., & Zeng, W. (2020). Performance of Intrinsic and Modified Graphene for the Adsorption of H2S and CH4: A DFT Study. Nanomaterials, 10(2), 299. https://doi.org/10.3390/nano10020299

