Schottky Barrier Height and Image Force Lowering in Monolayer MoS2 Field Effect Transistors
Abstract
1. Introduction
2. Materials and Methods
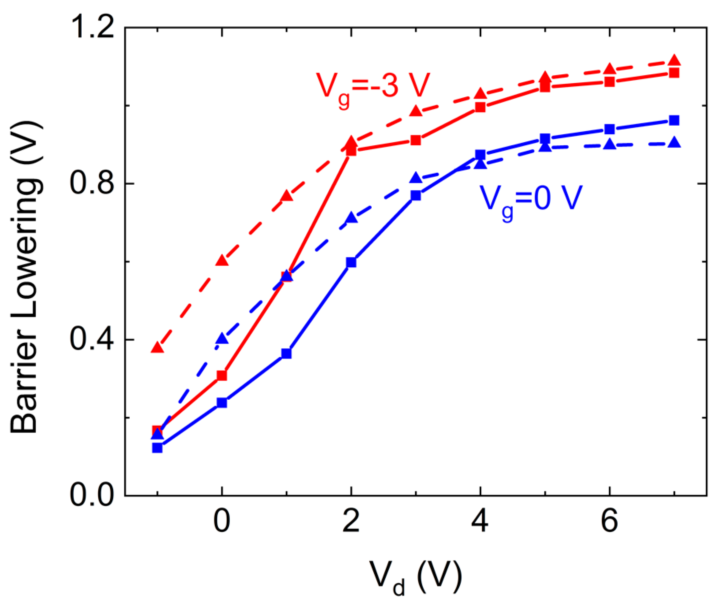
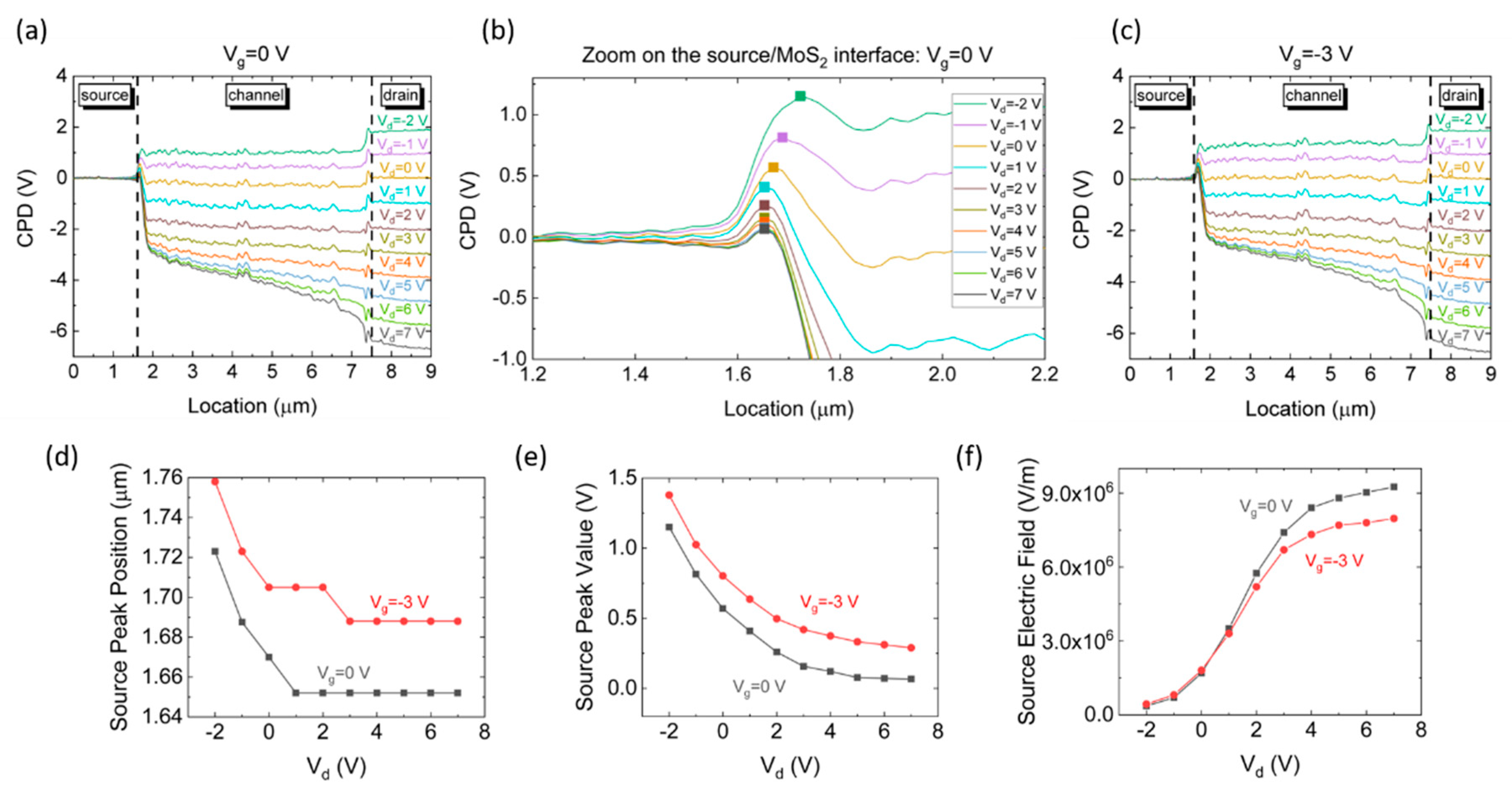
3. Results and Discussion
4. Conclusions
Supplementary Materials
Author Contributions
Funding
Acknowledgments
Conflicts of Interest
References
- Radisavljevic, B.; Radenovic, A.; Brivio, J.; Giacometti, V.; Kis, A. Single-layer MoS2 transistors. Nat. Nanotechnol. 2011, 6, 147–150. [Google Scholar] [CrossRef] [PubMed]
- Yoon, J.; Park, W.; Bae, G.Y.; Kim, Y.; Jang, H.S.; Hyun, Y.; Lim, S.K.; Kahng, Y.H.; Hong, W.K.; Lee, B.H.; et al. Highly flexible and transparent multilayer MoS2 transistors with graphene electrodes. Small 2013, 9, 3295–3300. [Google Scholar] [CrossRef] [PubMed]
- Shih, C.J.; Wang, Q.H.; Son, Y.; Jin, Z.; Blankschtein, D.; Strano, M.S. Tuning on-off current ratio and field-effect mobility in a MoS2-graphene heterostructure via schottky barrier modulation. ACS Nano 2014, 8, 5790–5798. [Google Scholar] [CrossRef] [PubMed]
- Wu, W.; De, D.; Chang, S.C.; Wang, Y.; Peng, H.; Bao, J.; Pei, S.S. High mobility and high on/off ratio field-effect transistors based on chemical vapor deposited single-crystal MoS2 grains. Appl. Phys. Lett. 2013, 102, 142106. [Google Scholar] [CrossRef]
- Kim, S.; Konar, A.; Hwang, W.S.; Lee, J.H.; Lee, J.; Yang, J.; Jung, C.; Kim, H.; Yoo, J.B.; Choi, J.Y.; et al. High-mobility and low-power thin-film transistors based on multilayer MoS2 crystals. Nat. Commun. 2012, 3, 1011–1017. [Google Scholar] [CrossRef]
- Liu, H.; Neal, A.T.; Ye, P.D. Channel Length Scaling of MoS2 MOSFETs. ACS Nano 2012, 6, 8563–8569. [Google Scholar] [CrossRef]
- Splendiani, A.; Sun, L.; Zhang, Y.; Li, T.; Kim, J.; Chim, C.Y.; Galli, G.; Wang, F. Emerging photoluminescence in monolayer MoS2. Nano Lett. 2010, 10, 1271–1275. [Google Scholar] [CrossRef]
- Yoon, Y.; Ganapathi, K.; Salahuddin, S. How good can monolayer MoS2 transistors be? Nano Lett. 2011, 11, 3768–3773. [Google Scholar] [CrossRef]
- Iannaccone, G.; Bonaccorso, F.; Palacios, T.; Colombo, L.; Seabaugh, A.; Fiori, G.; Neumaier, D.; Banerjee, S.K. Electronics based on two-dimensional materials. Nat. Nanotechnol. 2014, 9, 768–779. [Google Scholar]
- Wang, Q.H.; Kalantar-Zadeh, K.; Kis, A.; Coleman, J.N.; Strano, M.S. Electronics and optoelectronics of two-dimensional transition metal dichalcogenides. Nat. Nanotechnol. 2012, 7, 699–712. [Google Scholar] [CrossRef]
- Lopez-Sanchez, O.; Lembke, D.; Kayci, M.; Radenovic, A.; Kis, A. Ultrasensitive photodetectors based on monolayer MoS2. Nat. Nanotechnol. 2013, 8, 497–501. [Google Scholar] [CrossRef] [PubMed]
- He, Q.; Zeng, Z.; Yin, Z.; Li, H.; Wu, S.; Huang, X.; Zhang, H. Fabrication of flexible MoS2 thin-film transistor arrays for practical gas-sensing applications. Small 2012, 8, 2994–2999. [Google Scholar] [CrossRef] [PubMed]
- Liu, B.; Chen, L.; Liu, G.; Abbas, A.N.; Fathi, M.; Zhou, C. High-performance chemical sensing using Schottky-contacted chemical vapor deposition grown monolayer MoS2 transistors. ACS Nano 2014, 8, 5304–5314. [Google Scholar] [CrossRef] [PubMed]
- Klinovaja, J.; Loss, D. Spintronics in MoS2 monolayer quantum wires. Phys. Rev. B Condens. Matter Mater. Phys. 2013, 88, 1–6. [Google Scholar] [CrossRef]
- Tsai, M.L.; Su, S.H.; Chang, J.K.; Tsai, D.S.; Chen, C.H.; Wu, C.I.; Li, L.J.; Chen, L.J.; He, J.H. Monolayer MoS2 heterojunction solar cells. ACS Nano 2014, 8, 8317–8322. [Google Scholar] [CrossRef] [PubMed]
- Li, X.; Zhu, H. Two-dimensional MoS2: Properties, preparation, and applications. J. Mater. 2015, 1, 33–44. [Google Scholar] [CrossRef]
- Akinwande, D.; Petrone, N.; Hone, J. Two-dimensional flexible nanoelectronics. Nat. Commun. 2014, 5, 1–12. [Google Scholar] [CrossRef]
- Li, S.S. Metal–Semiconductor Contacts. In Semiconductor Physical Electronics; Springer: New York, NY, USA, 2006; pp. 284–333. [Google Scholar]
- Schottky, W. Zur Halbleitertheorie der Sperrschicht- und Spitzengleichrichter. Z. Phys. 1939, 113, 367–414. [Google Scholar] [CrossRef]
- Mott, N.F. The theory of crystal rectifiers. Proc. R. Soc. Lond. Ser. A Math. Phys. Sci. 1939, 171, 27–38. [Google Scholar]
- Mönch, W. Valence-band offsets and Schottky barrier heights of layered semiconductors explained by interface-induced gap states. Appl. Phys. Lett. 1998, 72, 1899–1901. [Google Scholar] [CrossRef]
- Fan, Y.; Zhou, Y.; Wang, X.; Tan, H.; Rong, Y.; Warner, J.H. Photoinduced Schottky Barrier Lowering in 2D Monolayer WS2 Photodetectors. Adv. Opt. Mater. 2016, 4, 1573–1581. [Google Scholar] [CrossRef]
- Kim, Y.; Kim, A.R.; Yang, J.H.; Chang, K.E.; Kwon, J.D.; Choi, S.Y.; Park, J.; Lee, K.E.; Kim, D.H.; Choi, S.M.; et al. Alloyed 2D Metal-Semiconductor Heterojunctions: Origin of Interface States Reduction and Schottky Barrier Lowering. Nano Lett. 2016, 16, 5928–5933. [Google Scholar] [CrossRef] [PubMed]
- Chuang, H.J.; Chamlagain, B.; Koehler, M.; Perera, M.M.; Yan, J.; Mandrus, D.; Tománek, D.; Zhou, Z. Low-Resistance 2D/2D Ohmic Contacts: A Universal Approach to High-Performance WSe2, MoS2, and MoSe2 Transistors. Nano Lett. 2016, 16, 1896–1902. [Google Scholar] [CrossRef] [PubMed]
- Cui, X.; Shih, E.M.; Jauregui, L.A.; Chae, S.H.; Kim, Y.D.; Li, B.; Seo, D.; Pistunova, K.; Yin, J.; Park, J.H.; et al. Low temperature Ohmic Contact to Monolayer MoS2 by van der Waals Bonded Co/h-BN Electrodes. Nano Lett. 2017, 17, 4781–4786. [Google Scholar] [CrossRef]
- Neal, A.T.; Liu, H.; Gu, J.J.; Ye, P.D. Metal contacts to MoS2: A two-dimensional semiconductor. In Proceedings of the Device Research Conference—Conference Digest, DRC, University Park, PA, USA, 18–20 June 2012; pp. 65–66. [Google Scholar]
- Giannazzo, F.; Fisichella, G.; Piazza, A.; Di Franco, S.; Greco, G.; Agnello, S.; Roccaforte, F. Impact of contact resistance on the electrical properties of MoS2 transistors at practical operating temperatures. Beilstein J. Nanotechnol. 2017, 8, 254–263. [Google Scholar] [CrossRef]
- Yang, H.; Heo, J.; Park, S.; Song, H.J.; Seo, D.H.; Byun, K.E.; Kim, P.; Yoo, I.K.; Chung, H.J.; Kim, K. Graphene barristor, a triode device with a gate-controlled Schottky barrier. Science 2012, 336, 1140–1143. [Google Scholar] [CrossRef]
- Rhoderick, E.H.; Williams, R.H. Metal-Semiconductor Contacts, 2nd ed.; Clarendon Press: Oxford, UK, 1988. [Google Scholar]
- Sze, S.M.; Crowell, C.R.; Kahng, D. Photoelectric Determination of the Image Force Dielectric Constant for Hot Electrons in Schottky Barriers. J. Appl. Phys. 1964, 35, 2534. [Google Scholar] [CrossRef]
- Giannazzo, F.; Schilirò, E.; Greco, G.; Roccaforte, F. Conductive atomic force microscopy of semiconducting transition metal dichalcogenides and heterostructures. Nanomaterials 2020, 10, 803. [Google Scholar] [CrossRef]
- Vilarinho, P.M.; Rosenwaks, Y.; Angus, K. Scanning Probe Microscopy: Characterization, Nanofabrication and Device Application of Functional Materials; Kluwer Academic Publishers: Dordrecht, The Netherlands, 2002. [Google Scholar]
- Nelson, J. The Physics of Solar Cells; Imperial College Press: London, UK, 2003; ISBN 1860943403. [Google Scholar]
- Britnell, L.; Gorbachev, R.V.; Jalil, R.; Belle, B.D.; Schedin, F.; Mishchenko, A.; Georgiou, T.; Katsnelson, M.I.; Eaves, L.; Morozov, S.V.; et al. Field-effect tunneling transistor based on vertical graphene heterostructures. Science 2012, 335, 947–950. [Google Scholar] [CrossRef]
- Ponomarenko, L.A.; Belle, B.D.; Jalil, R.; Britnell, L.; Gorbachev, R.V.; Geim, A.K.; Novoselov, K.S.; Castro Neto, A.H.; Eaves, L.; Katsnelson, M.I. Field-effect control of tunneling barrier height by exploiting graphene’s low density of states. Appl. Phys. 2013, 113, 136502. [Google Scholar] [CrossRef]
- Sata, Y.; Moriya, R.; Yamaguchi, T.; Inoue, Y.; Morikawa, S.; Yabuki, N.; Masubuchi, S.; Machida, T. Modulation of Schottky barrier height in graphene/MoS2/metal vertical heterostructure with large current ON-OFF ratio. Jpn. J. Appl. Phys. 2015, 54, 04DJ04. [Google Scholar] [CrossRef]
- Tabata, H.; Sato, Y.; Oi, K.; Kubo, O.; Katayama, M. Bias-and Gate-Tunable Gas Sensor Response Originating from Modulation in the Schottky Barrier Height of a Graphene/MoS2 van der Waals Heterojunction. ACS Appl. Mater. Interfaces 2018, 10, 38387–38393. [Google Scholar] [CrossRef] [PubMed]
- Yu, W.J.; Li, Z.; Zhou, H.; Chen, Y.; Wang, Y.; Huang, Y.; Duan, X. Vertically stacked multi-heterostructures of layered materials for logic transistors and complementary inverters. Nat. Mater. 2013, 12, 246–252. [Google Scholar] [CrossRef] [PubMed]
- Moriya, R.; Yamaguchi, T.; Inoue, Y.; Morikawa, S.; Sata, Y.; Masubuchi, S.; Machida, T. Large current modulation in exfoliated-graphene/MoS2/metal vertical heterostructures. Appl. Phys. Lett. 2014, 105, 083119. [Google Scholar] [CrossRef]
- Chen, J.R.; Odenthal, P.M.; Swartz, A.G.; Floyd, G.C.; Wen, H.; Luo, K.Y.; Kawakami, R.K. Control of Schottky barriers in single layer MoS2 transistors with ferromagnetic contacts. Nano Lett. 2013, 13, 3106–3110. [Google Scholar] [CrossRef] [PubMed]
- Farmanbar, M.; Brocks, G. Controlling the Schottky barrier at MoS2/metal contacts by inserting a BN monolayer. Phys. Rev. B Condens. Matter Mater. Phys. 2015, 91, 1–5. [Google Scholar] [CrossRef]
- Lee, S.; Tang, A.; Aloni, S.; Philip Wong, H.S. Statistical Study on the Schottky Barrier Reduction of Tunneling Contacts to CVD Synthesized MoS2. Nano Lett. 2016, 16, 276–281. [Google Scholar] [CrossRef]
- Di Bartolomeo, A.; Grillo, A.; Urban, F.; Iemmo, L.; Giubileo, F.; Luongo, G.; Amato, G.; Croin, L.; Sun, L.; Liang, S.J.; et al. Asymmetric Schottky Contacts in Bilayer MoS2 Field Effect Transistors. Adv. Funct. Mater. 2018, 28, 1–10. [Google Scholar] [CrossRef]
- Somvanshi, D.; Kallatt, S.; Venkatesh, C.; Nair, S.; Gupta, G.; Anthony, J.K.; Karmakar, D.; Majumdar, K. Nature of carrier injection in metal/2D-semiconductor interface and its implications for the limits of contact resistance. Phys. Rev. B 2017, 96, 1–12. [Google Scholar] [CrossRef]
- Novoselov, K.S.; Geim, A.K.; Morozov, S.V.; Jiang, D.; Zhang, Y.; Dubonos, S.V.; Grigorieva, I.V.; Firsov, A.A. Electric field in atomically thin carbon films. Science 2004, 306, 666–669. [Google Scholar] [CrossRef]
- Li, H.; Zhang, Q.; Yap, C.C.R.; Tay, B.K.; Edwin, T.H.T.; Olivier, A.; Baillargeat, D. From bulk to monolayer MoS2: Evolution of Raman scattering. Adv. Funct. Mater. 2012, 22, 1385–1390. [Google Scholar] [CrossRef]
- Nipane, A.; Jayanti, S.; Borah, A.; Teherani, J.T. Electrostatics of lateral p-n junctions in atomically thin materials. J. Appl. Phys. 2017, 122, 194501. [Google Scholar] [CrossRef]
- Gurugubelli, V.K.; Karmalkar, S. Analytical theory of the space-charge region of lateral p-n junctions in nanofilms. J. Appl. Phys. 2015, 118, 034503. [Google Scholar] [CrossRef]
- Sachtler, W.M.H.; Dorgelo, G.J.H.; Holscher, A.A. The work function of gold. Surf. Sci. 1966, 5, 221–229. [Google Scholar] [CrossRef]
- Walia, S.; Balendhran, S.; Wang, Y.; Ab Kadir, R.; Sabirin Zoolfakar, A.; Atkin, P.; Zhen Ou, J.; Sriram, S.; Kalantar-Zadeh, K.; Bhaskaran, M. Characterization of metal contacts for two-dimensional MoS2 nanoflakes. Appl. Phys. Lett. 2013, 103, 232105. [Google Scholar] [CrossRef]
- Dagan, R.; Vaknin, Y.; Henning, A.; Shang, J.Y.; Lauhon, L.J.; Rosenwaks, Y. Two-dimensional charge carrier distribution in MoS2 monolayer and multilayers. Appl. Phys. Lett. 2019, 114, 101602. [Google Scholar] [CrossRef]
- Dagan, R.; Vaknin, Y.; Rosenwaks, Y. Gap state distribution and Fermi level pinning in monolayer to multilayer MoS2 field effect transistors. Nanoscale 2020, 12, 8883–8889. [Google Scholar] [CrossRef]
- Moon, B.H.; Han, G.H.; Kim, H.; Choi, H.; Bae, J.J.; Kim, J.; Jin, Y.; Jeong, H.Y.; Joo, M.-K.; Lee, Y.H.; et al. Junction-Structure-Dependent Schottky Barrier Inhomogeneity and Device Ideality of Monolayer MoS2 Field-Effect Transistors. ACS Appl. Mater. Interfaces 2017, 9, 11240–11246. [Google Scholar] [CrossRef]
- John, A.P.; Thenapparambil, A.; Thalakulam, M. Strain-engineering the Schottky barrier and electrical transport on MoS2. Nanotechnology 2020, 31, 275703. [Google Scholar] [CrossRef]



Publisher’s Note: MDPI stays neutral with regard to jurisdictional claims in published maps and institutional affiliations. |
© 2020 by the authors. Licensee MDPI, Basel, Switzerland. This article is an open access article distributed under the terms and conditions of the Creative Commons Attribution (CC BY) license (http://creativecommons.org/licenses/by/4.0/).
Share and Cite
Vaknin, Y.; Dagan, R.; Rosenwaks, Y. Schottky Barrier Height and Image Force Lowering in Monolayer MoS2 Field Effect Transistors. Nanomaterials 2020, 10, 2346. https://doi.org/10.3390/nano10122346
Vaknin Y, Dagan R, Rosenwaks Y. Schottky Barrier Height and Image Force Lowering in Monolayer MoS2 Field Effect Transistors. Nanomaterials. 2020; 10(12):2346. https://doi.org/10.3390/nano10122346
Chicago/Turabian StyleVaknin, Yonatan, Ronen Dagan, and Yossi Rosenwaks. 2020. "Schottky Barrier Height and Image Force Lowering in Monolayer MoS2 Field Effect Transistors" Nanomaterials 10, no. 12: 2346. https://doi.org/10.3390/nano10122346
APA StyleVaknin, Y., Dagan, R., & Rosenwaks, Y. (2020). Schottky Barrier Height and Image Force Lowering in Monolayer MoS2 Field Effect Transistors. Nanomaterials, 10(12), 2346. https://doi.org/10.3390/nano10122346
