Sensitive Voltammetric Sensor for Tryptophan Detection by Using Polyvinylpyrrolidone Functionalized Graphene/GCE
Abstract
1. Introduction
2. Experimental
2.1. Chemical Agents and Solutions
2.2. Instruments
2.3. Synthesis of GR and PVP-GR Composite
2.4. Electrode Preparation
2.5. Electrochemical Measurements
3. Results and Discussion
3.1. Characterization of the Surface of GR/GCE and PVP-GR/GCE by SEM
3.2. Electrochemical Characterization of Different Electrodes by CV
3.3. Electrochemical Behavior of Trp
3.4. Optimization of Experimental Parameters
3.4.1. Effect of the Amount of PVP-GR Suspension
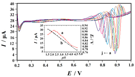
3.4.2. Effects of Supporting Electrolyte and Solution pH
3.4.3. Effect of Accumulation Potential and Time
3.5. Chronocoulometric Curve
3.6. Interference Study
3.7. Repeatability, Reproducibility, and Stability
3.8. Calibration Curve
3.9. Sample Determination
4. Conclusions
Author Contributions
Funding
Conflicts of Interest
References
- Coppen, A.; Eccleston, E.G.; Peet, M. Total and free tryptophan concentration in the plasma of depressive patients. Lancet 1973, 302, 60–63. [Google Scholar] [CrossRef]
- Kochen, W.; Steinhart, H. L-Tryptophan: Current Prospects in Medicine and Drug Safety; Walter de-Gruyter: Berlin, Germany, 1994. [Google Scholar]
- Yan, L.; Yu, J.; Zhong, Y.; Gu, Y.; Ma, Y.; Li, W.; Yan, J.; Ge, Y.; Yin, J.; Luo, Y.; et al. Influence of scanning on nano crystalline β-Ti alloys fabricated by selective laser melting and their applications in biomedical science. J. Nanosci. Nanotechnol. 2020, 20, 1605–1612. [Google Scholar] [CrossRef] [PubMed]
- Xu, J.; Feng, Y.; Wu, Y.; Li, Y.; Ou, M.; Zhang, X.; Wang, Y.; Wang, Y.; Xu, L. Noninvasive monitoring of boneregeneration using NaYF4: Yb3+, Er3+ upconversion hollow microtubes supporting PLGA-PEG-PLGAhydrogel. React. Funct. Polym. 2019, 143, 104333. [Google Scholar] [CrossRef]
- Tan, H.; Gong, G.; Xie, S.; Song, Y.; Zhang, C.; Li, N.; Zhang, D.; Xu, L.; Xu, J.; Zheng, J. Upconversion nanoparticles@carbon dots@meso-SiO2 sandwiched core-shell nanohybrids with tunable dual-mode luminescence for 3D anti-counterfeiting barcodes. Langmuir 2019, 35, 11503–11511. [Google Scholar] [CrossRef]
- Zhen, Q.; Xu, B.; Ma, L.; Tian, G.; Tang, X.; Ding, M. Simultaneous determination of tryptophan, kynurenine and 5-hydroxytryptamine by HPLC: Application in uremic patients undergoing hemodialysis. Clin. Biochem. 2011, 44, 226–230. [Google Scholar] [CrossRef]
- Simionato, A.V.C.; Moraes, E.P.; Carrilho, E.; Tavares, M.F.M.; Kenndler, E. Determination of amino acids by capillary electrophoresis-electrospray ionization-mass spectrometry: An evaluation of different protein hydrolysis procedures. Electrophoresis 2008, 29, 2051–2058. [Google Scholar] [CrossRef]
- Verma, K.K.; Jain, A.; Gasparič, J. Spectrophotometric determination of tryptophan by reaction with nitrous acid. Talanta 1988, 35, 35–39. [Google Scholar] [CrossRef]
- Miller, G.D.; Johnson, J.A.; Miller, B.S. Fluorometric micromethod for determination of tryptophan. Anal. Chem. 1956, 28, 884–887. [Google Scholar] [CrossRef]
- Liang, Y.D.; Song, J.F. Flow-injection chemiluminescence determination of tryptophan through its peroxidation and epoxidation by peroxynitrous acid. J. Pharm. Biomed. Anal. 2005, 38, 100–106. [Google Scholar] [CrossRef]
- Huang, K.J.; Xu, C.X.; Xie, W.Z.; Wang, W. Electrochemical behavior and voltammetric determination of tryptophan based on 4-aminobenzoic acid polymer film modified glassy carbon electrode. Colloids Surf. B Biointerfaces 2009, 74, 167–171. [Google Scholar] [CrossRef]
- Li, C.; Ya, Y.; Zhan, G. Electrochemical investigation of tryptophan at gold nanoparticles modified electrode in the presence of sodium dodecylbenzene sulfonate. Colloids Surf. B Biointerfaces 2010, 76, 340–345. [Google Scholar] [CrossRef] [PubMed]
- Zeinali, H.; Bagheri, H.; Monsef-Khoshhesab, Z.; Khoshsafar, H.; Hajian, A. Nanomolar simultaneous determination of tryptophan and melatonin by a new ionic liquid carbon paste electrode modified with SnO2-Co3O4@rGO nanocomposite. Mater. Sci. Eng. C 2017, 71, 386–394. [Google Scholar] [CrossRef] [PubMed]
- Jin, G.P.; Lin, X.Q. The electrochemical behavior and amperometric determination of tyrosine and tryptophan at a glassy carbon electrode modified with butyrylcholine. Electrochem. Commun. 2004, 6, 454–460. [Google Scholar] [CrossRef]
- Xia, X.; Zheng, Z.; Zhang, Y.; Zhao, X.; Wang, C. Synthesis of Ag-MoS2/chitosan nanocomposite and its application for catalytic oxidation of tryptophan. Sens. Actuators B Chem. 2014, 192, 42–50. [Google Scholar] [CrossRef]
- Mukdasai, S.; Poosittisak, S.; Ngeontae, W.; Srijaranai, S. A highly sensitive electrochemical determination of L-tryptophan in the presence of ascorbic acid and uric acid using in situ addition of tetrabutylammonium bromide on the β-cyclodextrin incorporated multi-walled carbon nanotubes modified electrode. Sens. Actuators B Chem. 2018, 272, 518–525. [Google Scholar] [CrossRef]
- Mattioli, A.; Baccarin, M.; Cervini, P.; Cavalheiro, É.T.G. Electrochemical investigation of a graphite-polyurethane composite electrode modified with electrodeposited gold nanoparticles in the voltammetric determination of tryptophan. J. Electroanal. Chem. 2019, 835, 212–219. [Google Scholar] [CrossRef]
- Haldorai, Y.; Yeon, S.H.; Huh, Y.S.; Han, Y. K Electrochemical determination of tryptophan using a glassy carbon electrode modified with flower-like structured nanocomposite consisting of reduced graphene oxide and SnO2. Sens. Actuators B Chem. 2017, 239, 1221–1230. [Google Scholar] [CrossRef]
- Deng, P.; Xu, Z.; Feng, Y. Acetylene black paste electrode modified with graphene as the voltammetric sensor for selective determination of tryptophan in the presence of high concentrations of tyrosine. Mater. Sci. Eng. C 2014, 35, 54–60. [Google Scholar] [CrossRef]
- Tian, Y.; Deng, P.; Wu, Y.; Ding, Z.; Li, G.; Liu, J.; He, Q. A simple and efficient molecularly imprinted electrochemical sensor for the selective determination of tryptophan. Biomolecules 2019, 9, 294. [Google Scholar] [CrossRef]
- Novoselov, K.S.; Geim, A.K.; Morozov, S.V.; Jiang, D.; Zhang, Y.; Dubonos, S.V.; Grigorieva, I.V.; Firsov, A.A. Electric field effect in atomically thin carbon films. Science 2004, 306, 666–669. [Google Scholar] [CrossRef]
- He, Q.; Liu, J.; Liu, X.; Li, G.; Chen, D.; Deng, P.; Liang, J. A promising sensing platform toward dopamine using MnOnanowires/electro-reduced graphene oxide composites. Electrochim. Acta 2019, 296, 683–692. [Google Scholar] [CrossRef]
- He, Q.; Liu, J.; Liu, X.; Li, G.; Deng, P.; Liang, J. Preparation of Cu2O-reduced graphene nanocomposite modified electrodes towards ultrasensitive dopamine detection. Sensors 2018, 18, 199. [Google Scholar] [CrossRef] [PubMed]
- He, Q.; Liu, J.; Liu, X.; Li, G.; Chen, D.; Deng, P.; Liang, J. Fabrication of amine-modified magnetite-electrochemically reduced graphene oxide nanocomposite modified glassy carbon electrode for sensitive dopamine determination. Nanomaterials 2018, 8, 194. [Google Scholar] [CrossRef] [PubMed]
- He, Q.; Tian, Y.; Wu, Y.; Liu, J.; Li, G.; Deng, P.; Chen, D. Facile and ultrasensitive determination of 4-nitrophenol based on acetylene black paste and graphene hybrid electrode. Nanomaterials 2019, 9, 429. [Google Scholar] [CrossRef] [PubMed]
- He, Q.; Wu, Y.; Tian, Y.; Li, G.; Liu, J.; Deng, P.; Chen, D. Facile electrochemical sensor for nanomolar rutin detection based on magnetite nanoparticles and reduced graphene oxide decorated electrode. Nanomaterials 2019, 9, 115. [Google Scholar] [CrossRef] [PubMed]
- Wu, Y.; Deng, P.; Tian, Y.; Ding, Z.; Li, G.; Liu, J.; Zuberi, Z.; He, Q. Rapid recognition and determination of tryptophan by carbon nanotubes and molecularly imprinted polymer-modified glassy carbon electrode. Bioelectrochemistry 2020, 131, 107393. [Google Scholar] [CrossRef]
- Ding, Z.; Deng, P.; Wu, Y.; Tian, Y.; Li, G.; Liu, J.; He, Q. A novel modified electrode for detection of the food colorant sunset yellow based on nanohybrid of MnOnanorods-decorated electrochemically reduced graphene oxide. Molecules 2019, 24, 1178. [Google Scholar] [CrossRef]
- Wu, Y.; Deng, P.; Tian, Y.; Magesa, F.; He, Q. Construction of effective electrochemical sensor for the determination of quinoline yellow based on different morphologies of manganese dioxide functionalized graphene. J. Food Compos. Anal. 2019, 84, 103280. [Google Scholar] [CrossRef]
- Shan, C.; Yang, H.; Song, J.; Han, D.; Ivaska, A.; Niu, L. Direct electrochemistry of glucose oxidase and biosensing for glucose based on graphene. Anal. Chem. 2009, 81, 2378–2382. [Google Scholar] [CrossRef]
- Kim, S.K.; Kim, D.; Jeon, S. Electrochemical determination of serotonin on glassy carbon electrode modified with various graphene nanomaterials. Sens. Actuators B Chem. 2012, 174, 285–291. [Google Scholar] [CrossRef]
- Chen, X.; Zhu, J.; Xi, Q.; Yang, W. High performance electrochemical sensor for acetaminophen based on single-walled carbon nanotube–graphene nanosheet hybrid films. Sens. Actuators B Chem. 2012, 161, 648–654. [Google Scholar] [CrossRef]
- Fan, Y.; Liu, J.H.; Yang, C.P.; Yu, M.; Liu, P. Graphene–polyaniline composite film modified electrode for voltammetric determination of 4-aminophenol. Sens. Actuators B Chem. 2011, 157, 669–674. [Google Scholar] [CrossRef]
- Gong, J.; Miao, X.; Wan, H.; Song, D. Facile synthesis of zirconia nanoparticles-decorated graphene hybrid nanosheets for an enzymeless methyl parathion sensor. Sens. Actuators B Chem. 2012, 162, 341–347. [Google Scholar] [CrossRef]
- Niyogi, S.; Bekyarova, E.; Itkis, M.E.; McWilliams, J.L.; Hamon, M.A.; Haddon, R.C. Solution properties of graphite and graphene. J. Am. Chem. Soc. 2006, 128, 7720–7721. [Google Scholar] [CrossRef]
- Tkalya, E.E.; Ghislandi, M.; de With, G.; Koning, C.E. The use of surfactants for dispersing carbon nanotubes and graphene to make conductive nanocomposites. Curr. Opin. Colloid Interface Sci. 2012, 17, 225–232. [Google Scholar] [CrossRef]
- Liu, Z.; Wang, Z.; Cao, Y.; Jing, Y.; Liu, Y. High sensitive simultaneous determination of hydroquinone and catechol based on graphene/BMIMPF nanocomposite modified electrode. Sens. Actuators B Chem. 2011, 157, 540–546. [Google Scholar] [CrossRef]
- Wang, Q.; Wang, Y.; Liu, S.; Wang, L.; Gao, F.; Gao, F.; Sun, W. Voltammetric detection of bisphenol a by a chitosan–graphene composite modified carbon ionic liquid electrode. Thin Solid Films 2012, 520, 4459–4464. [Google Scholar] [CrossRef]
- Liu, K.; Zhang, J.; Yang, G.; Wang, C.; Zhu, J.J. Direct electrochemistry and electrocatalysis of hemoglobin based on poly(diallyldimethylammonium chloride) functionalized graphene sheets/room temperature ionic liquid composite film. Electrochem. Commun. 2010, 12, 402–405. [Google Scholar] [CrossRef]
- Wajid, A.S.; Das, S.; Irin, F.; Ahmed, H.S.T.; Shelburne, J.L.; Parviz, D.; Fullerton, R.J.; Jankowski, A.F.; Hedden, R.C.; Green, M.J. Polymer-stabilized graphene dispersions at high concentrations in organic solvents for composite production. Carbon 2012, 50, 526–534. [Google Scholar] [CrossRef]
- Yin, X.; Song, G.; Liu, Y. Vibration suppression of wind/traffic/bridge coupled system using multiple poundingtuned mass dampers (MPTMD). Sensors 2019, 19, 1133. [Google Scholar] [CrossRef]
- Liu, Y.; Zhang, M.; Yin, X.; Huang, Z.; Wang, L. Debonding detection of reinforced concrete (RC) beam withnear-surface mounted (NSM) pre-stressed carbon fiber reinforced polymer (CFRP) plates using embeddedpiezoceramic smart aggregates (SAs). Appl. Science 2020, 10, 50. [Google Scholar] [CrossRef]
- Bard, A.J.; Faulkner, L.R. Electrochemical Methods, 2nd ed.; Wiley: New York, NY, USA, 2001. [Google Scholar]
- Gooding, J.J.; Praig, V.G.; Hall, E.A.H. Platinum-catalyzed enzyme electrodes immobilized on gold using self-assembled layers. Anal. Chem. 1998, 70, 2396–2402. [Google Scholar] [CrossRef] [PubMed]
- Laviron, E. Adsorption, autoinhibition and autocatalysis in polarography and in linear potential sweep voltammetry. J. Electroanal. Chem. Interfacial Electrochem. 1974, 52, 355–393. [Google Scholar] [CrossRef]
- Anson, F.C. Application of potentiostatic current integration to the study of the adsorption of cobalt(III)-(ethylenedinitrilo(tetraacetate) on mercury electrodes. Anal. Chem. 1964, 36, 932–934. [Google Scholar] [CrossRef]
- Deng, P.; Fei, J.; Feng, Y. Sensitive voltammetric determination of tryptophan using an acetylene black paste electrode modified with a Schiff’s base derivative of chitosan. Analyst 2011, 136, 5211–5217. [Google Scholar] [CrossRef] [PubMed]
- Magesa, F.; Wu, Y.; Tian, Y.; Vianney, J.-M.; Buza, J.; He, Q.; Tan, Y. Graphene and Graphene Like 2D Graphitic Carbon Nitride: Electrochemical Detection of Food Colorants and Toxic Substances in Environment. Trends Environ. Anal. Chem. 2019, 23, e00064. [Google Scholar] [CrossRef]
- He, Q.; Liu, J.; Xia, Y.; Tuo, D.; Deng, P.; Tian, Y.; Wu, Y.; Li, G.; Chen, D. Rapid and Sensitive Voltammetric Detection of Rhodamine B in Chili-Containing Foodstuffs Using MnO2 Nanorods/Electro-Reduced Graphene Oxide Composite. J. Electrochem. Soc. 2019, 166, B805–B813. [Google Scholar] [CrossRef]
- Li, G.; Xia, Y.; Tian, Y.; Wu, Y.; Liu, J.; He, Q.; Chen, D. Review—Recent Developments on Graphene-Based Electrochemical Sensors toward Nitrite. J. Electrochem. Soc. 2019, 166, B881. [Google Scholar] [CrossRef]










| Electrode | Technique | Supporting Electrolyte | Linear Range/µM | Detection Limit/µM | References |
|---|---|---|---|---|---|
| a 4-ABA/GCE | k LSV | phosphate buffer (pH 2.0) | 1.0–100 | 0.2 | [11] |
| b Au-NPs/GCE | l DPV | phosphate buffer (pH 2.5) | 0.09–50 | 0.08 | [12] |
| c SnO2-Co3O4@rGO/IL/CPE | DPV | B-R buffer (pH 3.0) | 0.02 to 6.00 | 0.0032 | [13] |
| d BuCh/GCE | DPV | phosphate buffer (pH 7.0) | 2–60 | 0.6 | [14] |
| e Ag-MoS2/CS/GCE | DPV | phosphate buffer (pH 6.0) | 0.5–120 | 0.05 | [15] |
| f ß-CD/MWCNTs/GCE | DPV | phosphate buffer (pH 3.0) | 1.5–30.5 | 0.07 | [16] |
| g EGPU-tAuNP | DPV | Britton-Robinson buffer (pH 7.4) | 0.6–2.0 | 0.053 | [17] |
| h rGO/SnO2/GCE | DPV | phosphate buffer (pH 7.0) | 1–100 | 0.04 | [18] |
| i ErGO/ABPE | second derivative LSV | 0.1 M H2SO4 | 0.1–10; 10–100 | 0.06 | [19] |
| j MIP/ABPE | second derivative LSV | phosphate buffer (pH 7.0) | 0.01–4; 4–20; 20–100 | 0.008 | [20] |
| PVP-GR/GCE | second derivative LSV | phosphate buffer (pH 2.2) | 0.06–10 and 10–100 | 0.01 | This work |
| Sample | Specified/µM | Detected b/µM | RSD/% | Added/µM | Total Found b/µM | Recovery/% |
|---|---|---|---|---|---|---|
| 17AA-I c | 2.10 | 2.24 | 2.3 | 2.0 | 4.18 | 97.0 |
| 17AA-H c | 3.43 | 3.38 | 2.1 | 3.0 | 6.47 | 103.0 |
| 18AA-I c | 4.90 | 5.03 | 2.6 | 5.0 | 10.23 | 104.0 |
| Sample | Detected b/µM | RSD/% | Added/µM | Total Found b/µM | Recovery/% |
|---|---|---|---|---|---|
| Serum-1 | 2.79 | 2.9 | 3.0 | 5.84 | 101.7 |
| Serum-2 | 3.85 | 3.2 | 4.0 | 7.98 | 103.2 |
| Urine-1 | Not detected | - | 1.0 | 0.96 | 96.0 |
| Urine-2 | Not detected | - | 5.0 | 5.18 | 103.6 |
© 2020 by the authors. Licensee MDPI, Basel, Switzerland. This article is an open access article distributed under the terms and conditions of the Creative Commons Attribution (CC BY) license (http://creativecommons.org/licenses/by/4.0/).
Share and Cite
He, Q.; Liu, J.; Feng, J.; Wu, Y.; Tian, Y.; Li, G.; Chen, D. Sensitive Voltammetric Sensor for Tryptophan Detection by Using Polyvinylpyrrolidone Functionalized Graphene/GCE. Nanomaterials 2020, 10, 125. https://doi.org/10.3390/nano10010125
He Q, Liu J, Feng J, Wu Y, Tian Y, Li G, Chen D. Sensitive Voltammetric Sensor for Tryptophan Detection by Using Polyvinylpyrrolidone Functionalized Graphene/GCE. Nanomaterials. 2020; 10(1):125. https://doi.org/10.3390/nano10010125
Chicago/Turabian StyleHe, Quanguo, Jun Liu, Jinxia Feng, Yiyong Wu, Yaling Tian, Guangli Li, and Dongchu Chen. 2020. "Sensitive Voltammetric Sensor for Tryptophan Detection by Using Polyvinylpyrrolidone Functionalized Graphene/GCE" Nanomaterials 10, no. 1: 125. https://doi.org/10.3390/nano10010125
APA StyleHe, Q., Liu, J., Feng, J., Wu, Y., Tian, Y., Li, G., & Chen, D. (2020). Sensitive Voltammetric Sensor for Tryptophan Detection by Using Polyvinylpyrrolidone Functionalized Graphene/GCE. Nanomaterials, 10(1), 125. https://doi.org/10.3390/nano10010125

