Electrospun Silk-ICG Composite Fibers and the Application toward Hemorrhage Control
Abstract
1. Introduction
2. Materials and Methods
2.1. Regeneration of Silk Fibroin
2.2. Solution Viscosity Measurement
2.3. Preparation of Electrospun SF-ICG Fibers
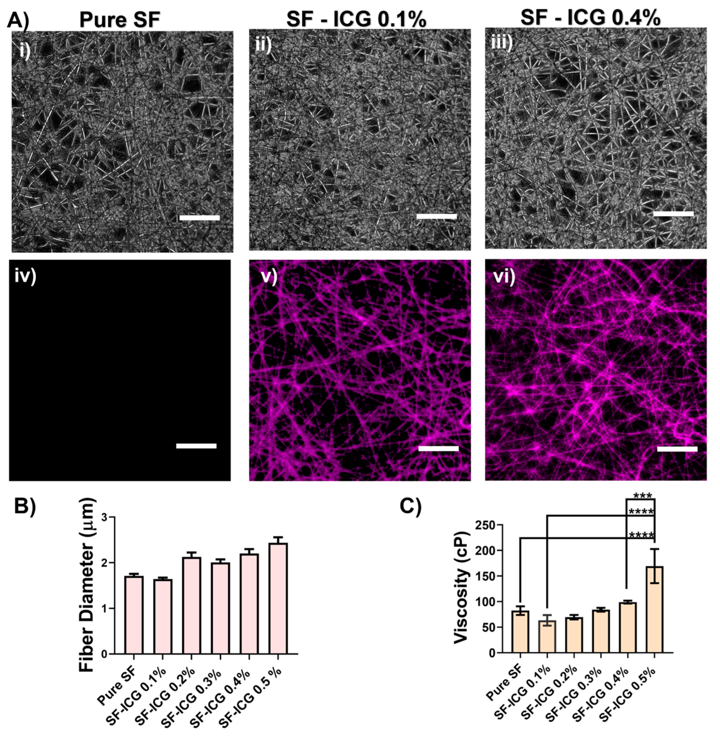
2.4. Optical Imaging and Fiber Diameter Characterization
2.5. FTIR Spectroscopy
2.6. Aqueous Stability and Water Update Capability
2.7. Mechanical Test
2.8. Differential Scanning Calorimetry (DSC)
2.9. Heat Evolution
2.10. UV-Vis Spectroscopy
2.11. Home-Built System to Simulate Blood Flow for Bleeding Control Experiment
2.12. Statistical Analysis
3. Results
3.1. Electrospun Fibers
3.2. Effect of Ethanol Vapor Treatment
3.3. Mechanical Properties of SF-ICG Fibers
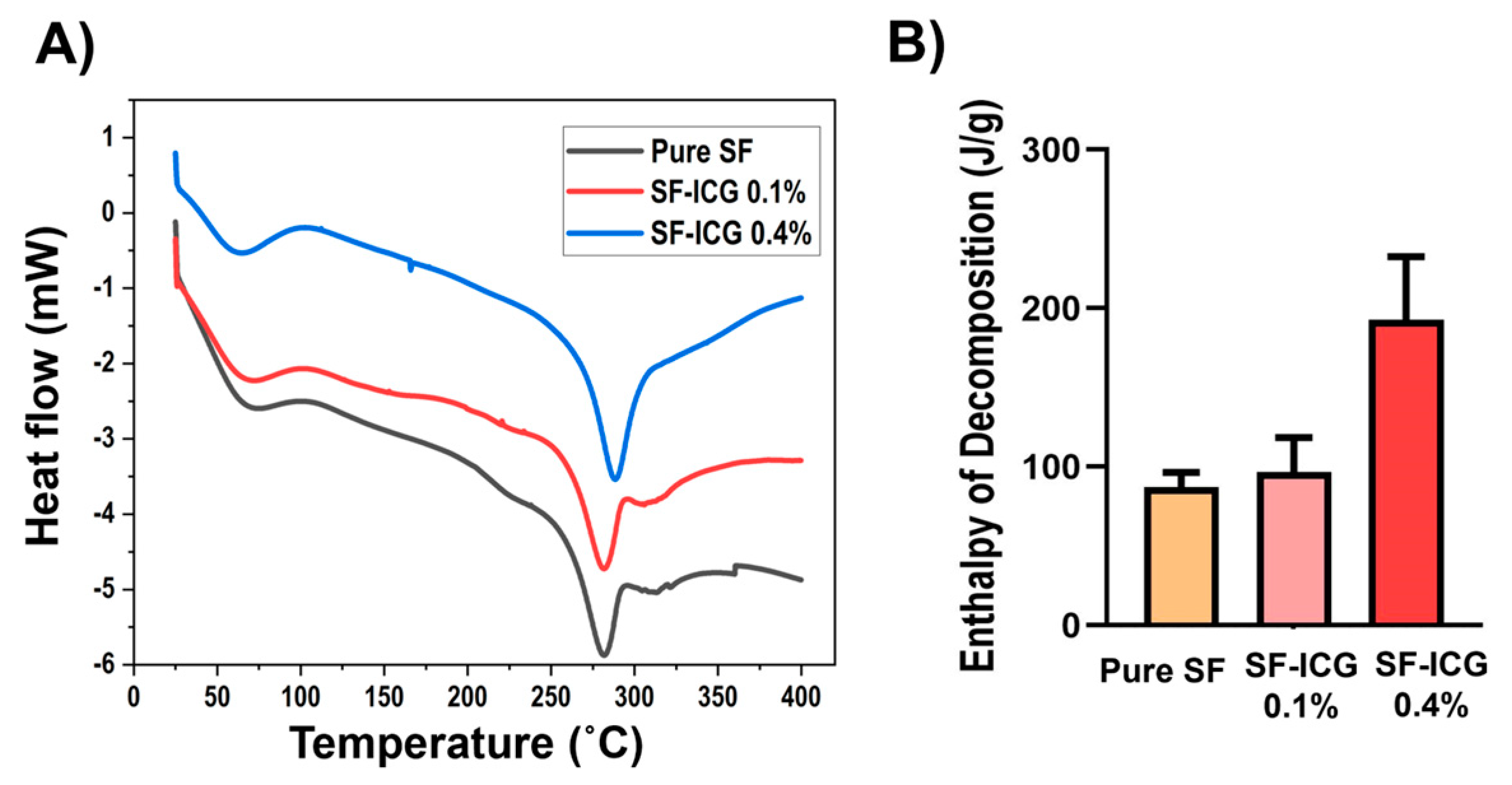
3.4. Thermal Properties of SF-ICG Fibers
3.5. Photothermal Response of SF-ICG Fibers
3.6. Application in Bleeding Control
4. Discussion
5. Conclusions
Supplementary Materials
Author Contributions
Funding
Data Availability Statement
Conflicts of Interest
References
- Behrens, A.M.; Sikorski, M.J.; Kofinas, P. Hemostatic Strategies for Traumatic and Surgical Bleeding. J. Biomed. Mater. Res. A 2014, 102, 4182–4194. [Google Scholar] [CrossRef] [PubMed]
- Rossaint, R.; Bouillon, B.; Cerny, V.; Coats, T.J.; Duranteau, J.; Fernández-Mondéjar, E.; Hunt, B.J.; Komadina, R.; Nardi, G.; Neugebauer, E.; et al. Management of Bleeding Following Major Trauma: An Updated European Guideline. Crit. Care 2010, 14, R52. [Google Scholar] [CrossRef] [PubMed]
- Wilhelm, G.; Mertowska, P.; Mertowski, S.; Przysucha, A.; Strużyna, J.; Grywalska, E.; Torres, K. The Crossroads of the Coagulation System and the Immune System: Interactions and Connections. Int. J. Mol. Sci. 2023, 24, 12563. [Google Scholar] [CrossRef]
- Peng, H.T. Hemostatic Agents for Prehospital Hemorrhage Control: A Narrative Review. Mil. Med. Res. 2020, 7, 13. [Google Scholar] [CrossRef] [PubMed]
- Schreiber, M.A.; Neveleff, D.J. Achieving Hemostasis with Topical Hemostats: Making Clinically and Economically Appropriate Decisions in the Surgical and Trauma Settings. AORN J. 2011, 94, S1–S20. [Google Scholar] [CrossRef]
- Chiara, O.; Cimbanassi, S.; Bellanova, G.; Chiarugi, M.; Mingoli, A.; Olivero, G.; Ribaldi, S.; Tugnoli, G.; Basilicò, S.; Bindi, F.; et al. A Systematic Review on the Use of Topical Hemostats in Trauma and Emergency Surgery. BMC Surg. 2018, 18, 68. [Google Scholar] [CrossRef]
- Spotnitz, W.D. Fibrin Sealant: The Only Approved Hemostat, Sealant, and Adhesive—A Laboratory and Clinical Perspective. ISRN Surg. 2014, 2014, 203943. [Google Scholar] [CrossRef]
- Bayer, I.S. Advances in Fibrin-Based Materials in Wound Repair: A Review. Molecules 2022, 27, 4504. [Google Scholar] [CrossRef]
- Bal-Ozturk, A.; Cecen, B.; Avci-Adali, M.; Topkaya, S.N.; Alarcin, E.; Yasayan, G.; Ethan, Y.-C.; Bulkurcuoglu, B.; Akpek, A.; Avci, H.; et al. Tissue Adhesives: From Research to Clinical Translation. Nano Today 2021, 36, 101049. [Google Scholar] [CrossRef]
- Kim, J.; Singh Maan, H.; Cool, A.J.; Hanlon, A.M.; Leffell, D.J. Fast Absorbing Gut Suture versus Cyanoacrylate Tissue Adhesive in the Epidermal Closure of Linear Repairs Following Mohs Micrographic Surgery. J. Clin. Aesthetic Dermatol. 2015, 8, 24–29. [Google Scholar]
- Joshi, A.D.; Saluja, H.; Mahindra, U.; Halli, R. A Comparative Study: Efficacy of Tissue Glue and Sutures after Impacted Mandibular Third Molar Removal. J. Maxillofac. Oral Surg. 2011, 10, 310–315. [Google Scholar] [CrossRef] [PubMed]
- Dumville, J.C.; Coulthard, P.; Worthington, H.V.; Riley, P.; Patel, N.; Darcey, J.; Esposito, M.; van der Elst, M.; van Waes, O.J.F. Tissue Adhesives for Closure of Surgical Incisions. Cochrane Database Syst. Rev. 2014, 2014, CD004287. [Google Scholar] [CrossRef] [PubMed]
- Holcomb, J.B. Methods for Improved Hemorrhage Control. Crit. Care 2004, 8, S57–S60. [Google Scholar] [CrossRef] [PubMed][Green Version]
- Bonanno, F.G. Management of Hemorrhagic Shock: Physiology Approach, Timing and Strategies. J. Clin. Med. 2022, 12, 260. [Google Scholar] [CrossRef]
- Wani, S.U.D.; Zargar, M.I.; Masoodi, M.H.; Alshehri, S.; Alam, P.; Ghoneim, M.M.; Alshlowi, A.; Shivakumar, H.G.; Ali, M.; Shakeel, F. Silk Fibroin as an Efficient Biomaterial for Drug Delivery, Gene Therapy, and Wound Healing. Int. J. Mol. Sci. 2022, 23, 14421. [Google Scholar] [CrossRef]
- Qi, Y.; Wang, H.; Wei, K.; Yang, Y.; Zheng, R.-Y.; Kim, I.S.; Zhang, K.-Q. A Review of Structure Construction of Silk Fibroin Biomaterials from Single Structures to Multi-Level Structures. Int. J. Mol. Sci. 2017, 18, 237. [Google Scholar] [CrossRef] [PubMed]
- Lujerdean, C.; Baci, G.-M.; Cucu, A.-A.; Dezmirean, D.S. The Contribution of Silk Fibroin in Biomedical Engineering. Insects 2022, 13, 286. [Google Scholar] [CrossRef]
- Kundu, B.; Rajkhowa, R.; Kundu, S.C.; Wang, X. Silk Fibroin Biomaterials for Tissue Regenerations. Adv. Drug Deliv. Rev. 2013, 65, 457–470. [Google Scholar] [CrossRef]
- Wang, Y.; Rudym, D.D.; Walsh, A.; Abrahamsen, L.; Kim, H.-J.; Kim, H.S.; Kirker-Head, C.; Kaplan, D.L. In Vivo Degradation of Three-Dimensional Silk Fibroin Scaffolds. Biomaterials 2008, 29, 3415–3428. [Google Scholar] [CrossRef]
- Liu, M.; Zhang, Y.; Liu, K.; Zhang, G.; Mao, Y.; Chen, L.; Peng, Y.; Tao, T.H. Biomimicking Antibacterial Opto-electro Sensing Sutures Made of Regenerated Silk Proteins. Adv. Mater. 2021, 33, 2004733. [Google Scholar] [CrossRef]
- Lyu, Y.; Liu, Y.; He, H.; Wang, H. Application of Silk-Fibroin-Based Hydrogels in Tissue Engineering. Gels 2023, 9, 431. [Google Scholar] [CrossRef]
- Ambekar, R.S.; Kandasubramanian, B. Progress in the Advancement of Porous Biopolymer Scaffold: Tissue Engineering Application. Ind. Eng. Chem. Res. 2019, 58, 6163–6194. [Google Scholar] [CrossRef]
- Ponrasu, T.; Kanniyappan, H.; Chakraborty, S.; Chaudhary, S.; Wallepure, A.; Muthuvijayan, V. Fabrication of Konjac Glucomannan-silk Fibroin Based Biomimetic Scaffolds for Improved Vascularization and Soft Tissue Engineering Applications. J. Appl. Polym. Sci. 2023, 140, e54333. [Google Scholar] [CrossRef]
- Zhu, M.; Wang, K.; Mei, J.; Li, C.; Zhang, J.; Zheng, W.; An, D.; Xiao, N.; Zhao, Q.; Kong, D.; et al. Fabrication of Highly Interconnected Porous Silk Fibroin Scaffolds for Potential Use as Vascular Grafts. Acta Biomater. 2014, 10, 2014–2023. [Google Scholar] [CrossRef]
- Sun, W.; Gregory, D.A.; Tomeh, M.A.; Zhao, X. Silk Fibroin as a Functional Biomaterial for Tissue Engineering. Int. J. Mol. Sci. 2021, 22, 1499. [Google Scholar] [CrossRef]
- Nguyen, T.P.; Nguyen, Q.V.; Nguyen, V.-H.; Le, T.-H.; Huynh, V.Q.N.; Vo, D.-V.N.; Trinh, Q.T.; Kim, S.Y.; Le, Q.V. Silk Fibroin-Based Biomaterials for Biomedical Applications: A Review. Polymers 2019, 11, 1933. [Google Scholar] [CrossRef]
- Wen, K.; Zhang, C.; Zhang, G.; Wang, M.; Mei, G.; Zhang, Z.; Zhao, W.; Guo, W.; Zhou, Q.; Liu, E. Jellyfish-Inspired Artificial Spider Silk for Luminous Surgical Sutures. Adv. Mater. 2024, 36, 2314158. [Google Scholar] [CrossRef]
- Tomeh, M.A.; Hadianamrei, R.; Zhao, X. Silk Fibroin as a Functional Biomaterial for Drug and Gene Delivery. Pharmaceutics 2019, 11, 494. [Google Scholar] [CrossRef] [PubMed]
- Wenk, E.; Merkle, H.P.; Meinel, L. Silk Fibroin as a Vehicle for Drug Delivery Applications. J. Control. Release 2011, 150, 128–141. [Google Scholar] [CrossRef]
- Winkler, S.; Wilson, D.; Kaplan, D.L. Controlling β-Sheet Assembly in Genetically Engineered Silk by Enzymatic Phosphorylation/Dephosphorylation. Biochemistry 2000, 39, 12739–12746. [Google Scholar] [CrossRef]
- Pham, D.T.; Tiyaboonchai, W. Fibroin Nanoparticles: A Promising Drug Delivery System. Drug Deliv. 2020, 27, 431–448. [Google Scholar] [CrossRef] [PubMed]
- Zhao, Z.; Li, Y.; Xie, M.-B. Silk Fibroin-Based Nanoparticles for Drug Delivery. Int. J. Mol. Sci. 2015, 16, 4880–4903. [Google Scholar] [CrossRef] [PubMed]
- Yu, B.; Li, Y.; Lin, Y.; Zhu, Y.; Hao, T.; Wu, Y.; Sun, Z.; Yang, X.; Xu, H. Research Progress of Natural Silk Fibroin and the Application for Drug Delivery in Chemotherapies. Front. Pharmacol. 2023, 13, 1071868. [Google Scholar] [CrossRef] [PubMed]
- Yao, X.; Zou, S.; Fan, S.; Niu, Q.; Zhang, Y. Bioinspired Silk Fibroin Materials: From Silk Building Blocks Extraction and Reconstruction to Advanced Biomedical Applications. Mater. Today Bio 2022, 16, 100381. [Google Scholar] [CrossRef] [PubMed]
- Bandyopadhyay, A.; Chowdhury, S.K.; Dey, S.; Moses, J.C.; Mandal, B.B. Silk: A Promising Biomaterial Opening New Vistas Towards Affordable Healthcare Solutions. J. Indian Inst. Sci. 2019, 99, 445–487. [Google Scholar] [CrossRef]
- Amirian, J.; Wychowaniec, J.K.; Amel Zendehdel, E.; Sharma, G.; Brangule, A.; Bandere, D. Versatile Potential of Photo-Cross-Linkable Silk Fibroin: Roadmap from Chemical Processing Toward Regenerative Medicine and Biofabrication Applications. Biomacromolecules 2023, 24, 2957–2981. [Google Scholar] [CrossRef]
- Li, M.; You, J.; Qin, Q.; Liu, M.; Yang, Y.; Jia, K.; Zhang, Y.; Zhou, Y. A Comprehensive Review on Silk Fibroin as a Persuasive Biomaterial for Bone Tissue Engineering. Int. J. Mol. Sci. 2023, 24, 2660. [Google Scholar] [CrossRef]
- Chon, B.; Ghann, W.; Uddin, J.; Anvari, B.; Kundra, V. Indocyanine Green (ICG) Fluorescence Is Dependent on Monomer with Planar and Twisted Structures and Inhibited by H-Aggregation. Int. J. Mol. Sci. 2023, 24, 13030. [Google Scholar] [CrossRef]
- Schaafsma, B.E.; Mieog, J.S.D.; Hutteman, M.; van der Vorst, J.R.; Kuppen, P.J.K.; Löwik, C.W.G.M.; Frangioni, J.V.; van de Velde, C.J.H.; Vahrmeijer, A.L. The Clinical Use of Indocyanine Green as a Near-Infrared Fluorescent Contrast Agent for Image-Guided Oncologic Surgery. J. Surg. Oncol. 2011, 104, 323–332. [Google Scholar] [CrossRef]
- Starosolski, Z.; Bhavane, R.; Ghaghada, K.B.; Vasudevan, S.A.; Kaay, A.; Annapragada, A. Indocyanine Green Fluorescence in Second Near-Infrared (NIR-II) Window. PLoS ONE 2017, 12, e0187563. [Google Scholar] [CrossRef]
- Sevieri, M.; Silva, F.; Bonizzi, A.; Sitia, L.; Truffi, M.; Mazzucchelli, S.; Corsi, F. Indocyanine Green Nanoparticles: Are They Compelling for Cancer Treatment? Front. Chem. 2020, 8, 535. [Google Scholar] [CrossRef] [PubMed]
- Alander, J.T.; Kaartinen, I.; Laakso, A.; Pätilä, T.; Spillmann, T.; Tuchin, V.V.; Venermo, M.; Välisuo, P. A Review of Indocyanine Green Fluorescent Imaging in Surgery. Int. J. Biomed. Imaging 2012, 2012, e940585. [Google Scholar] [CrossRef] [PubMed]
- Shirata, C.; Kaneko, J.; Inagaki, Y.; Kokudo, T.; Sato, M.; Kiritani, S.; Akamatsu, N.; Arita, J.; Sakamoto, Y.; Hasegawa, K.; et al. Near-Infrared Photothermal/Photodynamic Therapy with Indocyanine Green Induces Apoptosis of Hepatocellular Carcinoma Cells through Oxidative Stress. Sci. Rep. 2017, 7, 13958. [Google Scholar] [CrossRef] [PubMed]
- Clutter, E.D.; Chen, L.L.; Wang, R.R. Role of Photobleaching Process of Indocyanine Green for Killing Neuroblastoma Cells. Biochem. Biophys. Res. Commun. 2022, 589, 254–259. [Google Scholar] [CrossRef] [PubMed]
- Zhao, Z.; Chen, C.; Wu, W.; Wang, F.; Du, L.; Zhang, X.; Xiong, Y.; He, X.; Cai, Y.; Kwok, R.T.K.; et al. Highly Efficient Photothermal Nanoagent Achieved by Harvesting Energy via Excited-State Intramolecular Motion within Nanoparticles. Nat. Commun. 2019, 10, 768. [Google Scholar] [CrossRef]
- Ding, Y.; Wang, C.; Lu, B.; Yao, Y. Enhancing the Stability and Photothermal Conversion Efficiency of ICG by Pillar[5]Arene-Based Host-Guest Interaction. Front. Chem. 2021, 9, 775436. [Google Scholar] [CrossRef]
- Li, L.; El Islem Guissi, N.; Peng, Y.; Nie, S.; Cai, H.; Butch, C.J.; Wang, Y. Butterfly Oscillation of an ICG Dimer Enables Ultra-High Photothermal Conversion Efficiency. Cell Rep. Phys. Sci. 2024, 5, 101748. [Google Scholar] [CrossRef]
- Mahmut, Z.; Zhang, C.; Ruan, F.; Shi, N.; Zhang, X.; Wang, Y.; Zheng, X.; Tang, Z.; Dong, B.; Gao, D.; et al. Medical Applications and Advancement of Near Infrared Photosensitive Indocyanine Green Molecules. Molecules 2023, 28, 6085. [Google Scholar] [CrossRef]
- Saxena, V.; Sadoqi, M.; Shao, J. Degradation Kinetics of Indocyanine Green in Aqueous Solution. J. Pharm. Sci. 2003, 92, 2090–2097. [Google Scholar] [CrossRef]
- Yaseen, M.; Yu, J.; Jung, B.; Wong, M.; Anvari, B. Biodistribution of Encapsulated Indocyanine Green in Healthy Mice. Mol. Pharm. 2009, 6, 1321–1332. [Google Scholar] [CrossRef]
- Yao, Q.; Lan, Q.-H.; Jiang, X.; Du, C.-C.; Zhai, Y.-Y.; Shen, X.; Xu, H.-L.; Xiao, J.; Kou, L.; Zhao, Y.-Z. Bioinspired Biliverdin/Silk Fibroin Hydrogel for Antiglioma Photothermal Therapy and Wound Healing. Theranostics 2020, 10, 11719–11736. [Google Scholar] [CrossRef] [PubMed]
- Xu, H.-L.; ZhuGe, D.-L.; Chen, P.-P.; Tong, M.-Q.; Lin, M.-T.; Jiang, X.; Zheng, Y.-W.; Chen, B.; Li, X.-K.; Zhao, Y.-Z. Silk Fibroin Nanoparticles Dyeing Indocyanine Green for Imaging-Guided Photo-Thermal Therapy of Glioblastoma. Drug Deliv. 2018, 25, 364–375. [Google Scholar] [CrossRef] [PubMed]
- ZhuGe, D.-L.; Wang, L.-F.; Chen, R.; Li, X.-Z.; Huang, Z.-W.; Yao, Q.; Chen, B.; Zhao, Y.-Z.; Xu, H.-L.; Yuan, J.-D. Cross-Linked Nanoparticles of Silk Fibroin with Proanthocyanidins as a Promising Vehicle of Indocyanine Green for Photo-Thermal Therapy of Glioma. Artif. Cells Nanomed. Biotechnol. 2019, 47, 4293–4304. [Google Scholar] [CrossRef]
- Chen, B.-Q.; Kankala, R.K.; He, G.-Y.; Yang, D.-Y.; Li, G.-P.; Wang, P.; Wang, S.-B.; Zhang, Y.S.; Chen, A.-Z. Supercritical Fluid-Assisted Fabrication of Indocyanine Green-Encapsulated Silk Fibroin Nanoparticles for Dual-Triggered Cancer Therapy. ACS Biomater. Sci. Eng. 2018, 4, 3487–3497. [Google Scholar] [CrossRef] [PubMed]
- Zhu, B.; Li, W.; Chi, N.; Lewis, R.V.; Osamor, J.; Wang, R. Optimization of Glutaraldehyde Vapor Treatment for Electrospun Collagen/Silk Tissue Engineering Scaffolds. ACS Omega 2017, 2, 2439–2450. [Google Scholar] [CrossRef]
- Zhu, B.; Li, W.; Lewis, R.V.; Segre, C.U.; Wang, R. E-Spun Composite Fibers of Collagen and Dragline Silk Protein: Fiber Mechanics, Biocompatibility, and Application in Stem Cell Differentiation. Biomacromolecules 2015, 16, 202–213. [Google Scholar] [CrossRef]
- Chi, N.; Wang, R. Electrospun Protein-CNT Composite Fibers and the Application in Fibroblast Stimulation. Biochem. Biophys. Res. Commun. 2018, 504, 211–217. [Google Scholar] [CrossRef]
- Rathnayake, R.A.C.; Yoon, S.; Zheng, S.; Clutter, E.D.; Wang, R.R. Electrospun Silk Fibroin-CNT Composite Fibers: Characterization and Application in Mediating Fibroblast Stimulation. Polymers 2023, 15, 91. [Google Scholar] [CrossRef] [PubMed]
- Kreplak, L.; Doucet, J.; Dumas, P.; Briki, F. New Aspects of the α-Helix to β-Sheet Transition in Stretched Hard α-Keratin Fibers. Biophys. J. 2004, 87, 640–647. [Google Scholar] [CrossRef]
- Huang, Z.-M.; Zhang, Y.-Z.; Kotaki, M.; Ramakrishna, S. A Review on Polymer Nanofibers by Electrospinning and Their Applications in Nanocomposites. Compos. Sci. Technol. 2003, 63, 2223–2253. [Google Scholar] [CrossRef]
- Ruiz-Zapata, A.M.; Kerkhof, M.H.; Zandieh-Doulabi, B.; Brölmann, H.A.M.; Smit, T.H.; Helder, M.N. Fibroblasts from Women with Pelvic Organ Prolapse Show Differential Mechanoresponses Depending on Surface Substrates. Int. Urogynecology J. 2013, 24, 1567–1575. [Google Scholar] [CrossRef] [PubMed]
- Puerta, M.; Arango, M.C.; Jaramillo-Quiceno, N.; Álvarez-López, C.; Restrepo-Osorio, A. Influence of Ethanol Post-Treatments on the Properties of Silk Protein Materials. SN Appl. Sci. 2019, 1, 1443. [Google Scholar] [CrossRef]
- Vepari, C.; Kaplan, D.L. Silk as a Biomaterial. Prog. Polym. Sci. 2007, 32, 991–1007. [Google Scholar] [CrossRef]
- Hu, X.; Kaplan, D.; Cebe, P. Dynamic Protein–Water Relationships during β-Sheet Formation. Macromolecules 2008, 41, 3939–3948. [Google Scholar] [CrossRef]
- Zhou, C.Z.; Confalonieri, F.; Jacquet, M.; Perasso, R.; Li, Z.G.; Janin, J. Silk Fibroin: Structural Implications of a Remarkable Amino Acid Sequence. Proteins 2001, 44, 119–122. [Google Scholar] [CrossRef]
- Ragona, L.; Gasymov, O.; Guliyeva, A.J.; Aslanov, R.B.; Zanzoni, S.; Botta, C.; Molinari, H. Rhodamine Binds to Silk Fibroin and Inhibits Its Self-Aggregation. Biochim. Biophys. Acta Proteins Proteom. 2018, 1866, 661–667. [Google Scholar] [CrossRef]








Disclaimer/Publisher’s Note: The statements, opinions and data contained in all publications are solely those of the individual author(s) and contributor(s) and not of MDPI and/or the editor(s). MDPI and/or the editor(s) disclaim responsibility for any injury to people or property resulting from any ideas, methods, instructions or products referred to in the content. |
© 2024 by the authors. Licensee MDPI, Basel, Switzerland. This article is an open access article distributed under the terms and conditions of the Creative Commons Attribution (CC BY) license (https://creativecommons.org/licenses/by/4.0/).
Share and Cite
Siddiqua, A.; Clutter, E.; Garklavs, O.; Kanniyappan, H.; Wang, R.R. Electrospun Silk-ICG Composite Fibers and the Application toward Hemorrhage Control. J. Funct. Biomater. 2024, 15, 272. https://doi.org/10.3390/jfb15090272
Siddiqua A, Clutter E, Garklavs O, Kanniyappan H, Wang RR. Electrospun Silk-ICG Composite Fibers and the Application toward Hemorrhage Control. Journal of Functional Biomaterials. 2024; 15(9):272. https://doi.org/10.3390/jfb15090272
Chicago/Turabian StyleSiddiqua, Ayesha, Elwin Clutter, Olga Garklavs, Hemalatha Kanniyappan, and Rong R. Wang. 2024. "Electrospun Silk-ICG Composite Fibers and the Application toward Hemorrhage Control" Journal of Functional Biomaterials 15, no. 9: 272. https://doi.org/10.3390/jfb15090272
APA StyleSiddiqua, A., Clutter, E., Garklavs, O., Kanniyappan, H., & Wang, R. R. (2024). Electrospun Silk-ICG Composite Fibers and the Application toward Hemorrhage Control. Journal of Functional Biomaterials, 15(9), 272. https://doi.org/10.3390/jfb15090272
