A Novel Strategy for Enhanced Sequestration of Protein-Bound Uremic Toxins Using Smart Hybrid Membranes
Abstract
1. Introduction
2. Materials and Methods
2.1. Materials
2.2. Silicon Precursors Synthesis
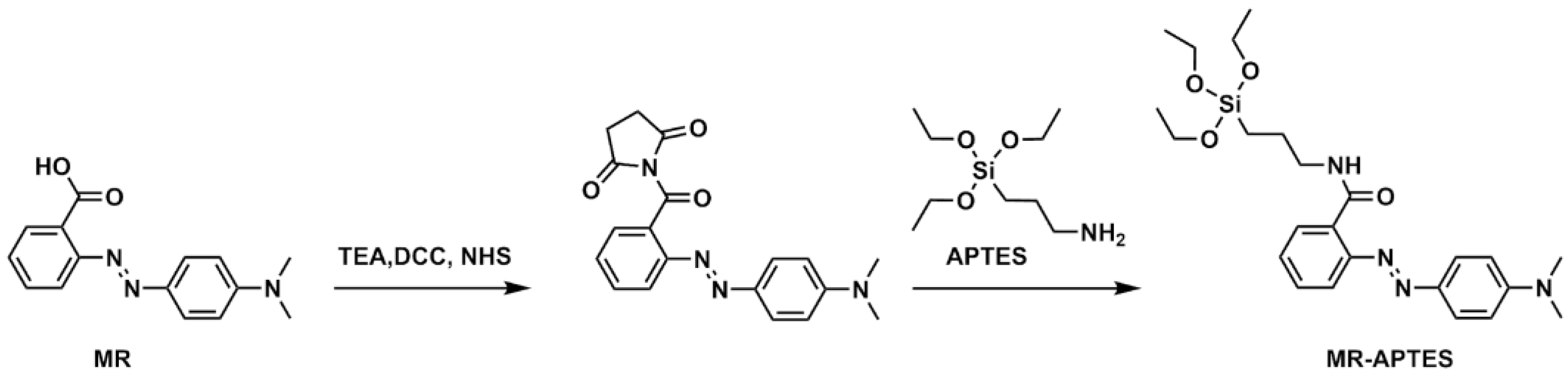
2.2.1. Conjugation of MR to APTES (MR-APTES)
2.2.2. Conjugation of IBF to APTES (IBF-APTES)
2.2.3. Conjugation of IBF to TEOS (IBF-TEOS)
2.3. Membranes Preparation
2.3.1. Pure Cellulose Acetate Membrane (CA100)
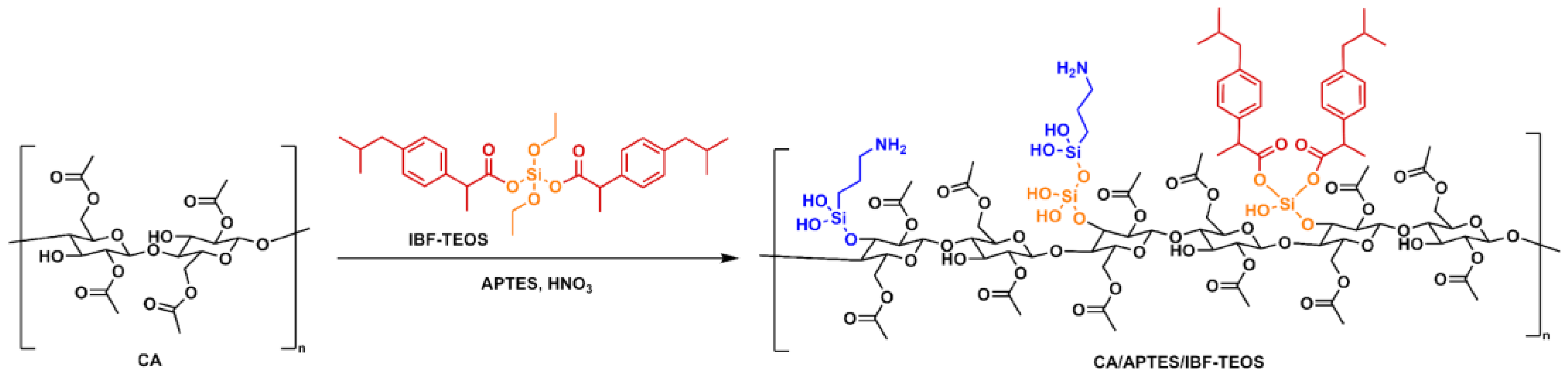
2.3.2. Monophasic Hybrid Integral Asymmetric Cellulose Acetate/Silica Membranes (CA/TEOS/APTES)
2.4. Precursors and Membranes Characterization
2.5. Leaching Assay
3. Results and Discussion
3.1. Silicon Precursors Synthesis
3.2. Membranes Synthesis
4. Conclusions
Supplementary Materials
Author Contributions
Funding
Institutional Review Board Statement
Data Availability Statement
Conflicts of Interest
References
- Bikbov, B.; Purcell, C.A.; Levey, A.S.; Smith, M.; Abdoli, A.; Abebe, M.; Adebayo, O.M.; Afarideh, M.; Agarwal, S.K.; Agudelo-Botero, M.; et al. Global, regional, and national burden of chronic kidney disease, 1990–2017: A systematic analysis for the Global Burden of Disease Study 2017. Lancet 2020, 395, 709–733. [Google Scholar] [CrossRef]
- Faria, M.; de Pinho, M.N. Challenges of reducing protein-bound uremic toxin levels in chronic kidney disease and end stage renal disease. Transl. Res. 2020, 229, 115–134. [Google Scholar] [CrossRef] [PubMed]
- Vanholder, R.; Abou-Deif, O.; Argiles, A.; Baurmeister, U.; Beige, J.; Brouckaert, P.; Brunet, P.; Cohen, G.; De Deyn, P.P.; Drüeke, T.B.; et al. The role of EUTox in uremic toxin research. Semin. Dial. 2009, 22, 323–328. [Google Scholar] [CrossRef] [PubMed]
- Lekawanvijit, S.; Kompa, A.R.; Krum, H. Protein-bound uremic toxins: A long overlooked culprit in cardiorenal syndrome. Am. J. Physiol. Ren. Physiol. 2016, 311, F52–F62. [Google Scholar] [CrossRef] [PubMed]
- Daneshamouz, S.; Eduok, U.; Abdelrasoul, A.; Shoker, A. Protein-bound uremic toxins (PBUTs) in chronic kidney disease (CKD) patients: Production pathway, challenges and recent advances in renal PBUTs clearance. NanoImpact 2021, 21, 100299. [Google Scholar] [CrossRef] [PubMed]
- Neirynck, N.; Glorieux, G.; Schepers, E.; Pletinck, A.; Dhondt, A.; Vanholder, R. Review of protein-bound toxins, possibility for blood purification therapy. Blood Purif. 2013, 35, 45–50. [Google Scholar] [CrossRef]
- Barreto, F.C.; Barreto, D.V.; Liabeuf, S.; Meert, N.; Glorieux, G.; Temmar, M.; Choukroun, G.; Vanholder, R.; Massy, Z.A.; European Uremic Toxin Work Group. Serum indoxyl sulfate is associated with vascular disease and mortality in chronic kidney disease patients. Clin. J. Am. Soc. Nephrol. 2009, 4, 1551–1558. [Google Scholar] [CrossRef]
- Zare, F.; Janeca, A.; Jokar, S.M.; Faria, M.; Gonçalves, M.C. Interaction of Human Serum Albumin with Uremic Toxins: The Need of New Strategies Aiming at Uremic Toxins Removal. Membranes 2022, 12, 261. [Google Scholar] [CrossRef]
- Maheshwari, V.; Tao, X.; Thijssen, S.; Kotanko, P. Removal of protein-bound uremic toxins using binding competitors in hemodialysis: A narrative review. Toxins 2021, 13, 622. [Google Scholar] [CrossRef] [PubMed]
- Tao, X.; Thijssen, S.; Levin, N.; Kotanko, P.; Handelman, G. Enhanced indoxyl sulfate dialyzer clearance with the use of binding competitors. Blood Purif. 2015, 39, 323–330. [Google Scholar] [CrossRef]
- Rodrigues, F.S.C.; Faria, M. Adsorption- and displacement-based approaches for the removal of protein-bound uremic toxins. Toxins 2023, 15, 110. [Google Scholar] [CrossRef]
- Tao, X.; Thijssen, S.; Kotanko, P.; Ho, C.H.; Henrie, M.; Stroup, E.; Handelman, G. Improved dialytic removal of protein-bound uraemic toxins with use of albumin binding competitors: An in vitro human whole blood study. Sci. Rep. 2015, 6, 23389. [Google Scholar] [CrossRef]
- Madero, M.; Cano, K.B.; Campos, I.; Tao, X.; Maheshwari, V.; Brown, J.; Cornejo, B.; Handelman, G.; Thijssen, S.; Kotanko, P. Removal of protein-bound uremic toxins during hemodialysis using a binding competitor. Clin. J. Am. Soc. Nephrol. 2019, 14, 394–402. [Google Scholar] [CrossRef] [PubMed]
- Mineshima, M. The Past, present and future of the dialyzer. In Chronic Kidney Diseases-Recent Advances in Clinical and Basic Research; Nitta, K., Ed.; Contributions to Nephrology; Karger: Basel, Switzerland, 2015; Volume 185, pp. 8–14. [Google Scholar] [CrossRef]
- Clark, W.R.; Hamburger, R.J.; Lysaght, M.J. Effect of membrane composition and structure on solute removal and biocompatibility in hemodialysis. Kidney Int. 1999, 56, 2005–2015. [Google Scholar] [CrossRef] [PubMed]
- Lipps, B.J.; Stewart, R.D.; Perkins, H.A.; Holmes, G.W.; McLain, E.A.; Rolfs, M.R.; Oja, P.D. The hollow fibr artificial kidney. Trans. Am. Soc. Artif. Intern. Organs 1967, 13, 200–207. [Google Scholar]
- Diamantoglou, M.; Platz, J.; Vienken, J. Cellulose carbamates and derivatives as hemocompatible membrane materials for hemodialysis. Artif. Organs 1999, 23, 15–22. [Google Scholar] [CrossRef]
- Keshaviah, P.; Luehmann, D.; Ilstrup, K.; Collins, A. Technical requirements for rapid high-efficiency therapies. Artif. Organs 1986, 10, 189–194. [Google Scholar] [CrossRef]
- Mendes, G.; Faria, M.; Carvalho, A.; Gonçalves, M.C.; De Pinho, M.N. Structure of water in hybrid cellulose acetate-silica ultrafiltration membranes and permeation properties. Carbohydr. Polym. 2018, 189, 342–351. [Google Scholar] [CrossRef] [PubMed]
- Faria, M.; Moreira, C.; Eusébio, T.; Brogueira, P.; De Pinho, M.N. Hybrid flat sheet cellulose acetate/silicon dioxide ultrafiltration membranes for uremic blood purification. Cellulose 2020, 27, 3847–3869. [Google Scholar] [CrossRef]
- De Pascale, M.; Faria, M.; Boi, C.; Semiao, V.; De Pinho, M. The effect of ultrafiltration transmembrane permeation on the flow field in a surrogate system of an artificial kidney. Exp. Results 2021, 2, E16. [Google Scholar] [CrossRef]
- Andrade, M.C.; Pereira, J.C.; De Almeida, N.; Marques, P.; Faria, M.; Gonçalves, M.C. Improving hydraulic permeability, mechanical properties, and chemical functionality of cellulose acetate-based membranes by co-polymerization with tetraethyl orthosilicate and 3-(aminopropyl)triethoxysilane. Carbohydr. Polym. 2021, 261, 117813. [Google Scholar] [CrossRef] [PubMed]
- Janeca, A.; Rodrigues, F.S.C.; Gonçalves, M.C.; Faria, M. Novel Cellulose Acetate-Based Monophasic Hybrid Membranes for Improved Blood Purification Devices: Characterization under Dynamic Conditions. Membranes 2021, 11, 825. [Google Scholar] [CrossRef]
- Rastegar, A.J.; Vosgueritchian, M.; Doll, J.C.; Mallon, J.R.; Pruitt, B.L. Nanomechanical actuation of a silicon cantilever using an azo dye, self-assembled monolayer. Langmuir 2013, 29, 7118–7124. [Google Scholar] [CrossRef] [PubMed]
- Strathmann, H.; Kock, K. The formation mechanism of phase inversion membranes. Desalination 1977, 21, 241–255. [Google Scholar] [CrossRef]
- Tacke, R.; Burschka, C.; Richter, I.; Wagner, B.; Willeke, R. Pentacoordinate silicon compounds with SiO5 skeletons containing SiOH or SiOSi groups: Derivatives of the pentahydroxosilicate(1-) anion [Si(OH)5]− and its anhydride [(HO)4Si-O-Si(OH)4]2−. J. Am. Chem. Soc. 2000, 122, 8480–8485. [Google Scholar] [CrossRef]









| Membrane Composition (g) | ||||
|---|---|---|---|---|
| CA/TEOS/ MR-APTES | CA/ IBF-TEOS/ APTES | CA/TEOS/ IBF-APTES | CA/ IBF-APTES | |
| Cellulose acetate | 4.10 | 4.10 | 3.95 | 15.87 |
| Formamide | 7.25 | 7.25 | 6.98 | 20.54 |
| Acetone | 12.78 | 12.78 | 12.30 | 56.85 |
| TEOS | 0.60 | – | 1.20 | – |
| APTES | – | 0.16 | – | – |
| Nitric acid | 0.31 (3 drops) | 0.31 (3 drops) | 0.31 (3 drops) | 0.31 (3 drops) |
| Silicon precursor | 0.16 | 0.60 | 0.32 | 6.74 |
| Membrane | Thickness, ℓ, µm |
|---|---|
| CA100 | 52.0 ± 1.2 |
| CA/TEOS/MR-APTES-2 | 72.5 ± 1.1 |
| CA/TEOS/IBF-APTES-3 | 78.6 ± 0.6 |
| CA/IBF-TEOS/APTES-9 | 72.8 ± 0.8 |
| CA/IBF-APTES-15 | 95.4 ± 1.6 |
Disclaimer/Publisher’s Note: The statements, opinions and data contained in all publications are solely those of the individual author(s) and contributor(s) and not of MDPI and/or the editor(s). MDPI and/or the editor(s) disclaim responsibility for any injury to people or property resulting from any ideas, methods, instructions or products referred to in the content. |
© 2023 by the authors. Licensee MDPI, Basel, Switzerland. This article is an open access article distributed under the terms and conditions of the Creative Commons Attribution (CC BY) license (https://creativecommons.org/licenses/by/4.0/).
Share and Cite
Lopes, M.; Pires, R.F.; Faria, M.; Bonifácio, V.D.B. A Novel Strategy for Enhanced Sequestration of Protein-Bound Uremic Toxins Using Smart Hybrid Membranes. J. Funct. Biomater. 2023, 14, 138. https://doi.org/10.3390/jfb14030138
Lopes M, Pires RF, Faria M, Bonifácio VDB. A Novel Strategy for Enhanced Sequestration of Protein-Bound Uremic Toxins Using Smart Hybrid Membranes. Journal of Functional Biomaterials. 2023; 14(3):138. https://doi.org/10.3390/jfb14030138
Chicago/Turabian StyleLopes, Madalena, Rita F. Pires, Mónica Faria, and Vasco D. B. Bonifácio. 2023. "A Novel Strategy for Enhanced Sequestration of Protein-Bound Uremic Toxins Using Smart Hybrid Membranes" Journal of Functional Biomaterials 14, no. 3: 138. https://doi.org/10.3390/jfb14030138
APA StyleLopes, M., Pires, R. F., Faria, M., & Bonifácio, V. D. B. (2023). A Novel Strategy for Enhanced Sequestration of Protein-Bound Uremic Toxins Using Smart Hybrid Membranes. Journal of Functional Biomaterials, 14(3), 138. https://doi.org/10.3390/jfb14030138

