Surface Functionalization of Poly(l-lactide-co-glycolide) Membranes with RGD-Grafted Poly(2-oxazoline) for Periodontal Tissue Engineering
Abstract
:1. Introduction
2. Materials and Methods
2.1. Materials and Chemicals
2.2. Membrane Manufacturing Method
2.3. Evaluation Methods
2.3.1. Raman Spectroscopy
2.3.2. FTIR-ATR
2.3.3. X-ray Photoelectron Spectroscopy
2.3.4. Scanning Electron Microscopy
2.3.5. Wettability and Surface Free Energy
2.3.6. In Vitro Cell Culture Tests
- Sx is the fluorescence of the samples;
- Scontrol is the fluorescence of the MEM with 10% Alamar Blue reagent and without cells (0% reduction of resazurin);
- S100%reduced is the fluorescence of the MEM with 10% Alamar Blue reagent autoclaved at 121 °C for 15 min (100% reduction of resazurin).
3. Results and Discussion
3.1. Characterization of Ingredients by Spectroscopic Methods
3.1.1. Raman Spectroscopy
| Sample | Band Position (cm−1) | Assignments |
|---|---|---|
| PLGA | 2800–3000 | CH2 and CH3 antisymmetric and symmetric stretching [30] |
| 1770 | C=O stretching [30,31] | |
| 1453 | CH bend [32] | |
| 1128 | C–O stretching [32] | |
| 873 | C–C=O stretching [30] | |
| PEG | 2700–3000 | CH2 antisymmetric and symmetric stretching [24] |
| 1472 | CH2–CH2 symmetric and antisymmetric bending [24] | |
| 1282 | CH2 twisting [24] | |
| 1133 | C–C and C–O stretching [24] | |
| 833 | skeletal vibrations [24] | |
| POx | 2800–3000 | CH2/CH3 antisymmetric and symmetric stretching |
| 1634 | C–N stretching [25] | |
| 1482 and 1443 | CH2 group plane bending [25] | |
| 1381 | CH3 symmetrical deformation/CH2 bending [26] | |
| 1299 | C–N stretching [26] | |
| 1028 | C–C stretching [26,27] | |
| 887 | CH2 rocking | |
| RGD | 2800–3000 | CH2 stretching [33] |
| 1668 | Amide I, C=O stretching [28] | |
| 1442 | CH2 groups plane bending [28] | |
| 1306 | C–N stretching and NH bending [28] | |
| 1251 | Amide III [28] | |
| 1047 | C–C stretching [28] | |
| 978 | C–C stretching [34] | |
| POx_RGD | 2800–3000 | CH antisymmetric and symmetric stretching [28] |
| 1757 | Carbonyl group from 6-aminohexanoic acid coupling agent stretching | |
| 1634 | C–N stretching [25] | |
| 1481 and 1443 | CH2 groups plane bending [25] | |
| 1382 | CH3 symmetrical deformation/CH2 bending [26,35] | |
| 1306 | C–N stretching and NH bending [28] | |
| 1123 | C–N stretching [27] | |
| 1032 | HC–N wagging/C–C stretching of diazinane (pyridine) [29] | |
| 883 | CH2 rocking |
3.1.2. FTIR Spectroscopy
| Sample | Band Position (cm−1) | Assignments |
|---|---|---|
| PLGA | 2945 | CH stretching [36] |
| 1745 | C=O stretching [42,43] | |
| 1451, 1382, 1358 | CH bending [44] | |
| 1180 | C–O–C stretching [43] | |
| 1080 | C–O–C stretching [36] | |
| PEG | 3438 | Hydroxyl groups stretching [37,38] |
| 2866 | CH2 stretching [36] | |
| 1453 | CH bending [36] | |
| 1092 | C–O stretching [36] | |
| 943 | CH2 bending [36] | |
| POx | 2956 | CH stretching [39] |
| 1623 | C=O stretching [36] | |
| 1417 and 1363 | CH bending [36] | |
| 1188 and 1011 | C–N stretching [39] | |
| RGD | 2936 | CH stretching [40] |
| 1647 | Amide I, C=O stretching [40] | |
| 1536 | Amide II, N–H bending, and C–N stretching [40] | |
| 1174, 1115, 1044 | C–O and C–OH stretching [41] | |
| 869 | Amide V, out of plane N–H bending [40] | |
| POx_RGD | 2933 | CH stretching |
| 1757 and 1714 | Carbonyl group from 6-aminohexanoic acid coupling agent stretching | |
| 1614 | Amide I, C=O stretching | |
| 1415 | CH bending | |
| 1183, 1008 | C–N stretching | |
| 1113 | C–O and C–OH stretching |
3.1.3. XPS Analysis
3.2. Membrane Microstructure
3.3. Membrane Surface Chemistry
3.3.1. XPS Results
3.3.2. FTIR-ATR Spectroscopy Results
3.3.3. Wettability and Surface Free Energy
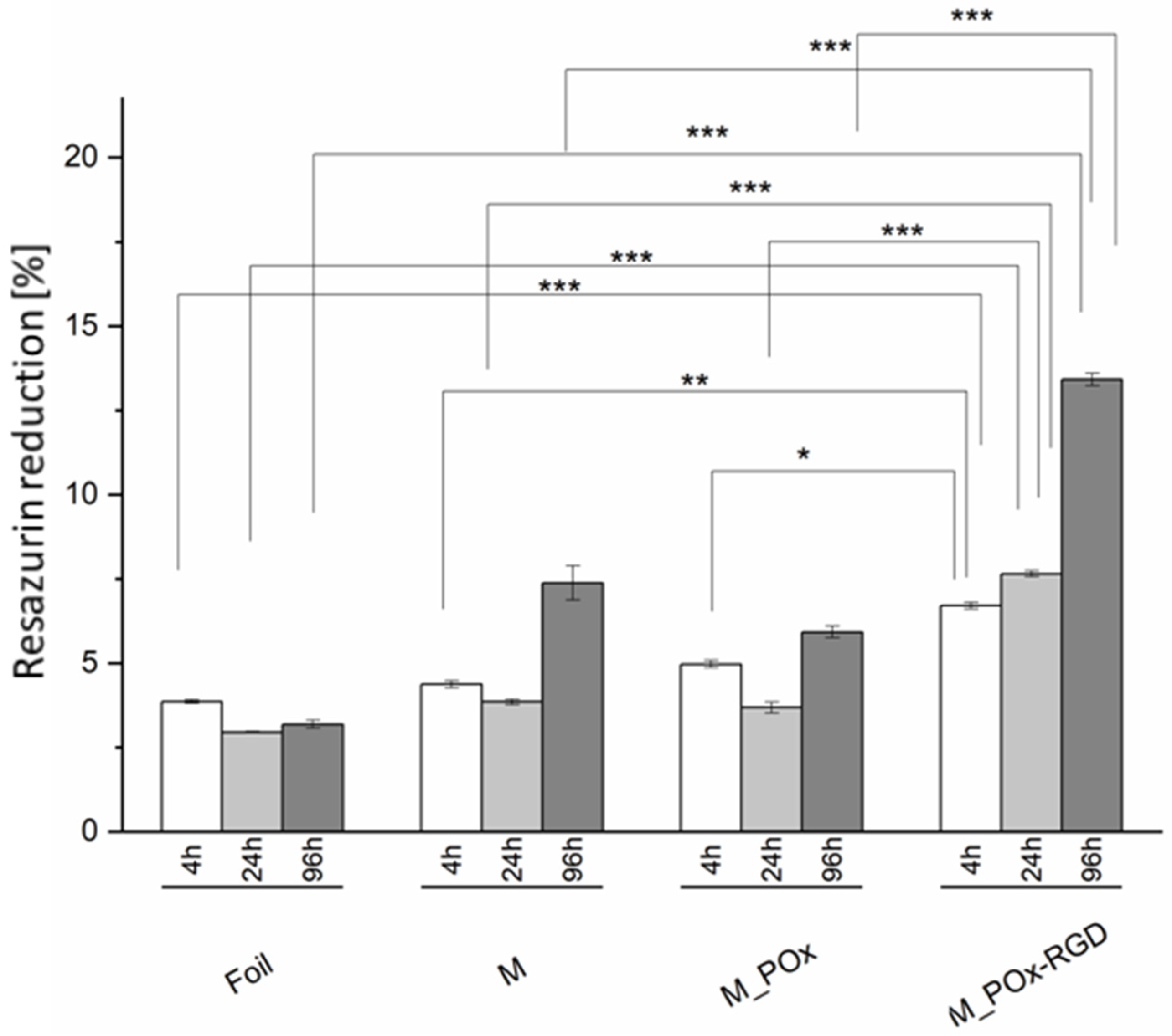
3.4. Membrane Biological Properties
4. Conclusions
Author Contributions
Funding
Institutional Review Board Statement
Informed Consent Statement
Data Availability Statement
Acknowledgments
Conflicts of Interest
References
- Loos, B.G.; Van Dyke, T.E. The role of inflammation and genetics in periodontal disease. Periodontology 2000 2020, 83, 26–39. [Google Scholar] [CrossRef]
- Zahid, S.; Khan, A.S.; Chaudhry, A.A.; Ghafoor, S.; Ain, Q.U.; Raza, A.; Rahim, M.I.; Goerke, O.; Rehman, I.U.; Tufail, A. Fabrication, in vitro and in vivo studies of bilayer composite membrane for periodontal guided tissue regeneration. J. Biomater. Appl. 2018, 33, 967–978. [Google Scholar] [CrossRef]
- Nyman, S.; Gottlow, J.; Karring, T.; Lindhe, J. The regenerative potential of the periodontal ligament. An experimental study in the monkey. J. Clin. Periodontol. 1982, 9, 257–265. [Google Scholar] [CrossRef]
- Park, Y.J.; Nam, K.H.; Ha, S.J.; Pai, C.M.; Chung, C.P.; Lee, S.J. Porous poly(l-lactide) membranes for guided tissue regeneration and controlled drug delivery: Membrane fabrication and characterization. J. Control. Release 1997, 43, 151–160. [Google Scholar] [CrossRef]
- Pinnau, I.; Freeman, B.D. Formation and modification of polymeric membranes: Overview. ACS Symp. Ser. 1999, 1–22. [Google Scholar] [CrossRef] [Green Version]
- Mousavi, S.; Zarei, M.; Hashemi, S.; Ramakrishna, S.; Chiang, W.-H.; Lai, C.; Gholami, A.; Omidifar, N.; Shokripour, M. Asymmetric membranes: A potential scaffold for wound healing applications. Symmetry 2020, 12, 1100. [Google Scholar] [CrossRef]
- Zhang, H.; Ma, H.; Zhang, R.; Wang, K.; Liu, J. Construction and characterization of antibacterial PLGA/wool keratin/ornidazole composite membranes for periodontal guided tissue regeneration. J. Biomater. Appl. 2020, 34, 1267–1281. [Google Scholar] [CrossRef] [PubMed]
- Corinaldesi, G.; Lizio, G.; Badiali, G.; Morselli/labate, A.M.; Marchetti, C. Treatment of intrabony defects after impacted mandibular third molar removal with bioabsorbable and non-resorbable membranes. J. Periodontol. 2011, 82, 1404–1413. [Google Scholar] [CrossRef]
- Aurer, A.; Jorgić-Srdjak, K. Membranes for Periodontal Regeneration. Acta Stomatol. Croat. 2005, 39, 107–112. Available online: https://hrcak.srce.hr/896 (accessed on 15 December 2021).
- Kim, Y.; Nowzari, H.; Rich, S.K. Risk of prion disease transmission through bovine-derived bone substitutes: A systematic review. Clin. Implant. Dent. Relat. Res. 2011, 15, 645–653. [Google Scholar] [CrossRef]
- Singh, A.K. GTR membranes: The barriers for periodontal regeneration. DHR Int. J. Med. Sci. 2013, 4, 31–38. [Google Scholar]
- Krok, M.; Pamuła, E. Poly(l-lactide-co-glycolide) microporous membranes for medical applications produced with the uUse of polyethylene glycol as a pore former. J. Appl. Polym. Sci. 2012, 125, E187–E199. [Google Scholar] [CrossRef]
- Pamuła, E.; Błażewicz, S.; Krok, M.; Kościelniak, D.; Dobrzyński, P. Sposób wytwarzania resorbowalnej membrany do sterowanej regeneracji tkanek [Method for manufacturing resorbable membrane for guided tissue regeneration]. Patent PL 391519 A1; Biuletyn Urzędu Patentowego ISSN 0137-8015, 2011. pp. 4–5. [Google Scholar]
- Abalymov, A.; Parakhonskiy, B.; Skirtach, A.G. Polymer- and hybrid-based biomaterials for interstitial, connective, vascular, nerve, visceral and musculoskeletal tissue engineering. Polymers 2020, 12, 620. [Google Scholar] [CrossRef] [PubMed] [Green Version]
- D’Amora, U.; D’Este, M.; Eglin, D.; Safari, F.; Sprecher, C.M.; Gloria, A.; De Santis, R.; Alini, M.; Ambrosio, L. Collagen density gradient on three-dimensional printed poly(ε-caprolactone) scaffolds for interface tissue engineering. J. Tissue Eng. Regen. Med. 2017, 12, 321–329. [Google Scholar] [CrossRef] [PubMed]
- D’Amora, U.; Russo, T.; Gloria, A.; Rivieccio, V.; D’Antò, V.; Negri, G.; Ambrosio, L.; De Santis, R. 3D additive-manufactured nanocomposite magnetic scaffolds: Effect of the application mode of a time-dependent magnetic field on hMSCs behavior. Bioact. Mater. 2017, 2, 138–145. [Google Scholar] [CrossRef]
- Schenk, V.; Rossegger, E.; Ebner, C.; Bangerl, F.; Reichmann, K.; Hoffmann, B.; Hopfner, M.; Wiesbrock, F. RGD-functionalization of poly(2-oxazoline)-based networks for enhanced adhesion to cancer cells. Polymers 2014, 6, 264–279. [Google Scholar] [CrossRef] [Green Version]
- Zhao, J.; Santino, F.; Giacomini, D.; Gentilucci, L. Integrin-targeting peptides for the design of functional cell-responsive biomaterials. Biomedicines 2020, 8, 307. [Google Scholar] [CrossRef]
- Bellis, S.L. Advantages of RGD peptides for directing cell association with biomaterials. Biomaterials 2011, 32, 4205–4210. [Google Scholar] [CrossRef] [Green Version]
- Klimek, K.; Ginalska, G.G. Proteins and peptides as important modifiers of the polymer scaffolds for tissue engineering. Polymer 2020, 12, 844. [Google Scholar] [CrossRef] [Green Version]
- Cai, S.; Wu, C.; Yang, W.; Liang, W.; Yu, H.; Liu, L. Recent advance in surface modification for regulating cell adhesion and behaviors. Nanotechnol. Rev. 2020, 9, 971–989. [Google Scholar] [CrossRef]
- Scharnweber, D.; Jordan, R.; Pamuła, E. Oberflächenfunktionalisiertes Polymer für biologische Anwendungen und Verfahren zu dessen Herstellung. Patent DE 102013225772 B4.
- Luxenhofer, R.; Schulz, A.; Roques, C.; Li, S.; Bronich, T.K.; Batrakova, E.V.; Jordan, R.; Kabanov, A.V. Doubly amphiphilic poly(2-oxazoline)s as high-capacity delivery systems for hydrophobic drugs. Biomaterials 2010, 31, 4972–4979. [Google Scholar] [CrossRef] [PubMed] [Green Version]
- Yamini, D.; Venkatasubbu, G.D.; Kumar, J.; Ramakrishnan, V. Raman scattering studies on PEG functionalized hydroxyapatite nanoparticles. Spectrochim. Acta Part A Mol. Biomol. Spectrosc. 2014, 117, 299–303. [Google Scholar] [CrossRef]
- Portier, E.; Azemar, F.; Benkhaled, B.T.; Bardeau, J.-F.; Faÿ, F.; Réhel, K.; Lapinte, V.; Linossier, I. Poly(oxazoline) for the design of amphiphilic silicone coatings. Prog. Org. Coat. 2021, 153, 106116. [Google Scholar] [CrossRef]
- Mansfield, E.D.H.; de la Rosa, V.R.; Kowalczyk, R.M.; Grillo, I.; Hoogenboom, R.; Sillence, K.; Hole, P.; Williams, A.C.; Khutoryanskiy, V.V. Side chain variations radically alter the diffusion of poly(2-alkyl-2-oxazoline) functionalised nanoparticles through a mucosal barrier. Biomater. Sci. 2016, 4, 1318–1327. [Google Scholar] [CrossRef] [PubMed] [Green Version]
- Paulraj, E.I.; Muthu, S. Molecular structure analysis and spectroscopic characterization of 5-ethyl-5-phenyl-1,3-diazinane-4,6-dione with experimental (FT-IR and FT-Raman) techniques and quantum chemical calculations. Spectrochim. Acta Part. A Mol. Biomol. Spectrosc. 2013, 106, 310–320. [Google Scholar] [CrossRef]
- Di Foggia, M.; Taddei, P.; Torreggiani, A.; Dettin, M.; Tinti, A. Self-assembling peptides for biomedical applications: IR and Raman spectroscopies for the study of secondary structure. Proteom. Res. J. 2012, 2, 231–272. [Google Scholar]
- Taşal, E.; Sıdır, I.; Gülseven, Y.; Öğretir, C.; Önkol, T. Vibrational spectra and molecular structure of 3-(piperidine-1-yl-methyl)-1,3-benzoxazol-2(3H)-one molecule by density functional theory and Hartree–Fock calculations. J. Mol. Struct. 2009, 923, 141–152. [Google Scholar] [CrossRef]
- Vey, E.; Rodger, C.; Booth, J.; Claybourn, M.; Miller, A.F.; Saiani, A. Degradation kinetics of poly(lactic-co-glycolic) acid block copolymer cast films in phosphate buffer solution as revealed by infrared and Raman spectroscopies. Polym. Degrad. Stab. 2011, 96, 1882–1889. [Google Scholar] [CrossRef]
- van Apeldoorn, A.A.; van Manen, H.-J.; Bezemer, J.M.; de Bruijn, J.D.; van Blitterswijk, A.C.A.; Otto, C. Raman imaging of PLGA microsphere degradation inside macrophages. J. Am. Chem. Soc. 2004, 126, 13226–13227. [Google Scholar] [CrossRef] [PubMed]
- Sechi, M.; Vanna, S.; Roggio, A.M.; Siliani, S.; Massimo, P.; Salvatore, M.; Mariani, A. Development of novel cationic chitosan- and anionic alginate–coated poly(d,l-lactide-co-glycolide) nanoparticles for controlled release and light protection of resveratrol. Int. J. Nanomed. 2012, 7, 5501–5516. [Google Scholar] [CrossRef] [Green Version]
- Di Foggia, M.; Ottani, S.; Torreggiani, A.; Zamuner, A.; Dettin, M.; Sanchez-Cortes, S.; Cesini, D.; Tinti, A. Surface enhanced Raman scattering and quantum-mechanical calculations on self-assembling oligopeptides. J. Raman Spectrosc. 2018, 49, 982–996. [Google Scholar] [CrossRef]
- Portela, A.; Yano, T.-A.; Santschi, C.; Martin, O.J.F.; Tabata, H.; Hara, M. Highly sensitive SERS analysis of the cyclic Arg-Gly-Asp peptide ligands of cells using nanogap antennas. J. Biophotonics 2016, 10, 294–302. [Google Scholar] [CrossRef]
- Shipp, D.; Sinjab, F.; Notingher, I. Raman spectroscopy: Techniques and applications in the life sciences. Adv. Opt. Photonics 2017, 9, 315–428. [Google Scholar] [CrossRef] [Green Version]
- Tryba, A.-M.; Krok-Borkowicz, M.; Paluszkiewicz, C.; Pamula, E. Surface functionalization of poly(l-lactide-co-glicolide) membranes with amphiphilic poly(2-oxazoline) for guided tissue regeneration and treatment of bone tissue defects. Eng. Biomater. 2018, 21, 16–20. [Google Scholar]
- Chieng, B.W.; Ibrahim, N.A.B.; Yunus, W.M.Z.W.; Hussein, M.Z. Poly(lactic acid)/poly(ethylene glycol) polymer nanocomposites: Effects of graphene nanoplatelets. Polymers 2013, 6, 93–104. [Google Scholar] [CrossRef] [Green Version]
- Shameli, K.; Bin Ahmad, M.; Jazayeri, S.D.; Sedaghat, S.; Shabanzadeh, P.; Jahangirian, H.; Mahdavi, M.; Abdollahi, Y. Synthesis and characterization of polyethylene glycol mediated silver nanoparticles by the green method. Int. J. Mol. Sci. 2012, 13, 6639–6650. [Google Scholar] [CrossRef] [Green Version]
- Gulyuz, S.; Ozkose, U.U.; Kocak, P.; Telci, D.; Tasdelen, M.A.; Yilmaz, O. In-vitro cytotoxic activities of poly(2-ethyl-2-oxazoline)-based amphiphilic block copolymers prepared by CuAAC click chemistry. Express Polym. Lett. 2018, 12, 146–158. [Google Scholar] [CrossRef]
- Kong, J.; Yu, S. Fourier transform infrared spectroscopic analysis of protein secondary structures. Acta Biochim. Biophys. Sin. 2007, 39, 549–559. [Google Scholar] [CrossRef] [PubMed] [Green Version]
- Su, S.; Wang, J.; Vargas, E.; Wei, J.; Martinez-Zaguilan, R.; Sennoune, S.R.; Pantoya, M.L.; Wang, S.; Chaudhuri, J.; Qiu, J. Porphyrin immobilized nanographene oxide for enhanced and targeted photothermal therapy of brain cancer. ACS Biomater. Sci. Eng. 2016, 2, 1357–1366. [Google Scholar] [CrossRef] [PubMed]
- Pamuła, E.; Błażewicz, M.; Paluszkiewicz, C.; Dobrzyński, P. FTIR study of degradation products of aliphatic polyesters–carbon fibres composites. J. Mol. Struct. 2001, 596, 69–75. [Google Scholar] [CrossRef]
- Ghorbani, F.; Nojehdehyan, H.; Zamanian, A.; Gholipourmalekabadi, M.; Mozafari, M. Synthesis, physico-chemical characteristics and cellular behavior of poly(lactic-co-glycolic acid)/ gelatin nanofibrous scaffolds for engineering soft connective tissues. Adv. Mater. Lett. 2016, 7, 163–169. [Google Scholar] [CrossRef]
- Singh, G.; Kaur, T.; Kaur, R.; Kaur, A. Recent biomedical applications and patents on biodegradable polymer-PLGA. Int. J. Pharmacol. 2014, 1, 30–42. [Google Scholar]
- Beamson, G.; Briggs, D. High Resolution XPS of Organic Polymers: The Scienta ESCA300 Database. J. Chem. Educ. 1993, 70, A25. [Google Scholar] [CrossRef]
- Genet, M.J.; Dupont-Gillain, C.C.; Rouxhet, P.G. XPS Analysis of biosystems and biomaterials. Med. Appl. Colloids 2008. [Google Scholar] [CrossRef]
- Rouxhet, P.G.; Genet, M.J. XPS analysis of bio-organic systems. Surf. Interface Anal. 2011, 43, 1453–1470. [Google Scholar] [CrossRef]
- Adamczak, M.I.; Scisłowska-Czarnecka, A.; Genet, M.J.; Dupont-Gillain, C.C.; Pamuła, E. Surface characterization, collagen adsorption and cell behaviour on poly(l-lactide-co-glycolide). Acta Bioeng. Biomech. 2011, 13, 63–75. [Google Scholar]
- Fantauzzi, M.; Elsener, B.; Atzei, D.; Rigoldi, A.; Rossi, A. Exploiting XPS for the identification of sulfides and polysulfides. RSC Adv. 2015, 5, 75953–75963. [Google Scholar] [CrossRef]
- NIST X-ray Photoelectron Spectroscopy Database; NIST Standard Reference Database Number 20; National Institute of Standards and Technology: Gaithersburg, MD, USA, 2000. Available online: https://srdata.nist.gov/xps/ (accessed on 15 December 2021). [CrossRef]
- Auger and photoelectron line energy relationships in aluminium-oxygen and silicon-oxygen compounds. Vacuum 1985, 35, 241. [CrossRef]
- Lo, Y.-S.; Huefner, N.D.; Chan, W.S.; Dryden, P.; Hagenhoff, B.; Beebe, T.P. Organic and inorganic contamination on commercial AFM cantilevers. Langmuir 1999, 15, 6522–6526. [Google Scholar] [CrossRef]
- Smith, G.C. Evaluation of a simple correction for the hydrocarbon contamination layer in quantitative surface analysis by XPS. J. Electron. Spectrosc. Relat. Phenom. 2005, 148, 21–28. [Google Scholar] [CrossRef]
- Mirabella, F.M. Internal Reflection Spectroscopy. Appl. Spectrosc. Rev. 1985, 21, 45–178. [Google Scholar] [CrossRef]
- Kubiak, K.J.; Wilson, M.C.T.; Mathia, T.G.; Carval, P. Wettability versus roughness of engineering surfaces. Wear 2011, 271, 523–528. [Google Scholar] [CrossRef] [Green Version]
- Chu, L.; Yang, Y.; Yang, S.; Fan, Q.; Yu, Z.; Hu, X.-L.; James, T.D.; He, X.-P.; Tang, T. Preferential colonization of osteoblasts over co-cultured bacteria on a bifunctional biomaterial surface. Front. Microbiol. 2018, 9, 2219. [Google Scholar] [CrossRef] [PubMed]
- Martinez-Perez, M.; Perez-Jorge, C.; Lozano, D.; Portal-Núñez, S.; Perez-Tanoira, R.; Conde, A.; Arenas, M.A.; Hernandez-Lopez, J.M.; de Damborenea, J.; Gomez-Barrena, E.; et al. Evaluation of bacterial adherence of clinical isolates of Staphylococcus sp. using a competitive model. Bone Jt. Res. 2017, 6, 315–322. [Google Scholar] [CrossRef] [PubMed]










| Element | C | N | O | Si | S | |||||
|---|---|---|---|---|---|---|---|---|---|---|
| Energy [eV] | 284.8 | 285.9 | 286.9 | 287.7 | 289.0 | 399.5 | 531.4 | 532.7 | 101.6 | 167.7 |
| Chemical shift | C–C C–H | C–O C–N (POx) | C–O (PLGA) | O–C=O N–C=O (POx) | O–C=O | –NH– N–C=O | O=C O–Si | O–C | Si–O | SO32− |
| Ingredients | ||||||||||
| PLGA | 24.0 | bdl | 19.1 | bdl | 20.0 | bdl | 18.2 | 18.8 | bdl | bdl |
| POx | 39.9 | 17.0 | bdl | 16.1 | 1.0 | 14.0 | 10.1 | 1.9 | bdl | bdl |
| POx_RGD | 40.6 | 15.6 | bdl | 13.5 | 2.2 | 13.0 | 11.4 | 2.0 | 1.1 | 0.7 |
| Membranes | ||||||||||
| M | 30.6 | bdl | 16.4 | bdl | 16.0 | bdl | 21.7 | 13.1 | 2.2 | bdl |
| M_POx | 27.3 | bdl | 20.8 | bdl | 14.9 | 1.2 | 21.3 | 14.0 | 0.5 | bdl |
| M_POx_RGD | 20.3 | 14.9 | 12.7 | 8.3 | 9.6 | 1.8 | 14.9 | 15.8 | 1.7 | bdl |
Publisher’s Note: MDPI stays neutral with regard to jurisdictional claims in published maps and institutional affiliations. |
© 2022 by the authors. Licensee MDPI, Basel, Switzerland. This article is an open access article distributed under the terms and conditions of the Creative Commons Attribution (CC BY) license (https://creativecommons.org/licenses/by/4.0/).
Share and Cite
Tryba, A.M.; Krok-Borkowicz, M.; Kula, M.; Piergies, N.; Marzec, M.; Wegener, E.; Frączyk, J.; Jordan, R.; Kolesińska, B.; Scharnweber, D.; et al. Surface Functionalization of Poly(l-lactide-co-glycolide) Membranes with RGD-Grafted Poly(2-oxazoline) for Periodontal Tissue Engineering. J. Funct. Biomater. 2022, 13, 4. https://doi.org/10.3390/jfb13010004
Tryba AM, Krok-Borkowicz M, Kula M, Piergies N, Marzec M, Wegener E, Frączyk J, Jordan R, Kolesińska B, Scharnweber D, et al. Surface Functionalization of Poly(l-lactide-co-glycolide) Membranes with RGD-Grafted Poly(2-oxazoline) for Periodontal Tissue Engineering. Journal of Functional Biomaterials. 2022; 13(1):4. https://doi.org/10.3390/jfb13010004
Chicago/Turabian StyleTryba, Anna M., Małgorzata Krok-Borkowicz, Michał Kula, Natalia Piergies, Mateusz Marzec, Erik Wegener, Justyna Frączyk, Rainer Jordan, Beata Kolesińska, Dieter Scharnweber, and et al. 2022. "Surface Functionalization of Poly(l-lactide-co-glycolide) Membranes with RGD-Grafted Poly(2-oxazoline) for Periodontal Tissue Engineering" Journal of Functional Biomaterials 13, no. 1: 4. https://doi.org/10.3390/jfb13010004
APA StyleTryba, A. M., Krok-Borkowicz, M., Kula, M., Piergies, N., Marzec, M., Wegener, E., Frączyk, J., Jordan, R., Kolesińska, B., Scharnweber, D., Paluszkiewicz, C., & Pamuła, E. (2022). Surface Functionalization of Poly(l-lactide-co-glycolide) Membranes with RGD-Grafted Poly(2-oxazoline) for Periodontal Tissue Engineering. Journal of Functional Biomaterials, 13(1), 4. https://doi.org/10.3390/jfb13010004

