Evaluation of the Dynamics of Psychological Panic Factor, Glucose Risk and Estrogen Effects on Breast Cancer Model
Abstract
1. Introduction
- (1)
- Analyzing the impact of glucose as a risk factor on the progression of breast cancer.
- (2)
- Examining the influence of psychological panic on the immune system of breast cancer patients, which may play a key role in the progression of malignancies and the impairment of immune function.
2. Assumptions of the Model
3. Dynamical Evaluation Results
3.1. Positivity and Boundedness of the Solution
3.2. Existence of Equilibria
- Tumor and breast cells-free equilibrium point , where and . It is important to mention that the expression remains constant for all equilibrium points that have in their composition.
- Tumor-free equilibrium point , where and . For , we must have
- 3.
- Breast cells-free equilibrium point , where and is the root of the following equation:whereClearly,.Thus, if any of the following criteria holds, then has a unique positive root, say , in the interval according to the intermediate value theoremFor , we must havewhere . Biologically, condition (9) means this point is classed as a glucose risk. This is because the level of glucose (g) is higher than the rate of tumor growth, which is a factor that leads to the growth of cancer cells at a rate that is significantly higher than that of normal cells. As a result of the spread of the tumor, the patient is placed in a severe situation, which ultimately results in either a mastectomy or the patient’s death.
- 4.
- The coexisting point , where , , and,,, and is a root of the following equationwhereClearly,.Thus, if the following criteria hold, then has a unique positive root, say , in the interval according to the intermediate value theoremFor and , we must haveThe coexisting point signifies the stage of interaction among immune cells, malignant, normal, and estrogen. Every cell engages in a fierce struggle for survival during this phase. Tumor appearance triggers the activation of immune cells.
3.3. Stability Analysis
- , , ,
- , , , ,
- , , .
- (1)
- The Jacobian matrix at is given as:
- (2)
- The Jacobian matrix at is given as:
- (3)
- The Jacobian matrix at is given as:
- (4)
- The Jacobian matrix at can be written as:
- ,
- .
- So, the characteristic equation of can be written as:
- Thus, according to the Routh–Hurwitz rule, will be asymptotically stable if
3.4. Transcritical Bifurcation
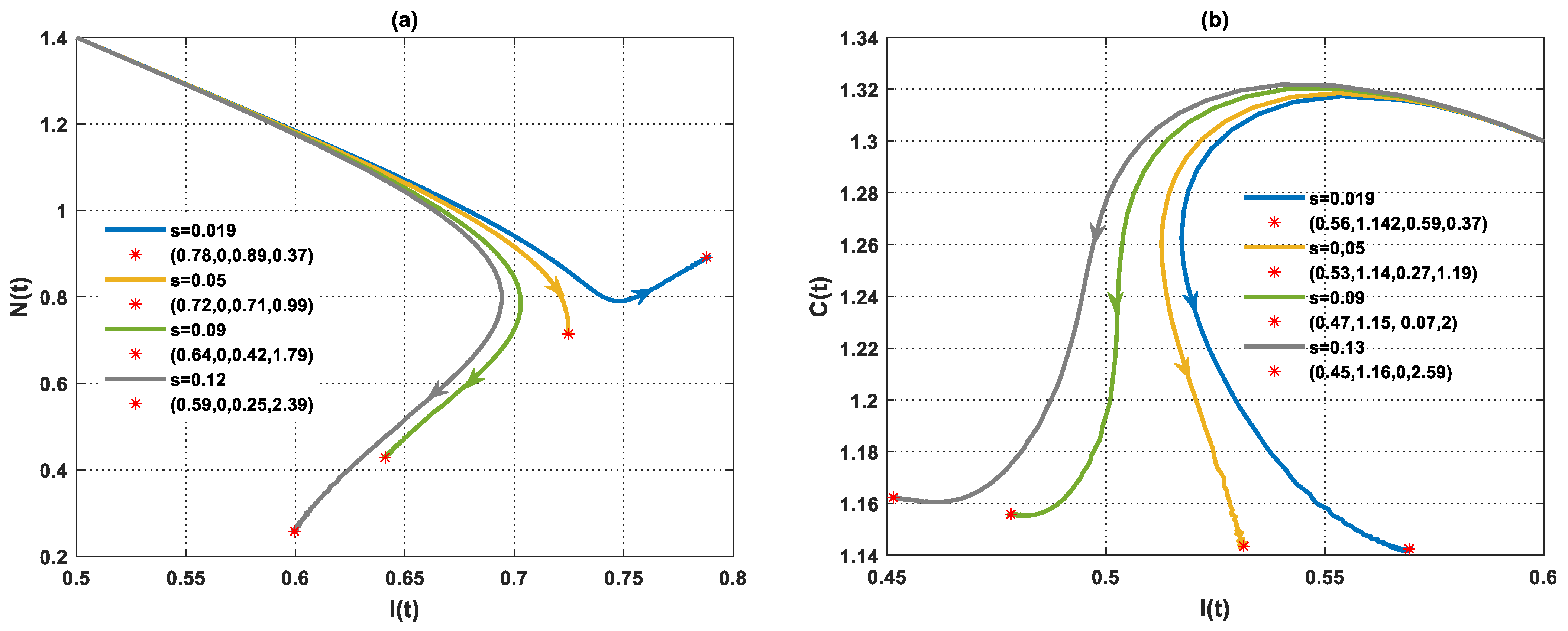
3.5. Numerical Simulation and Discussions
- (a)
- The effect of a psychological panic
- (b)
- The impact of glucose excess
- (c)
- The impact of estrogen excess
4. Conclusions
Author Contributions
Funding
Institutional Review Board Statement
Informed Consent Statement
Data Availability Statement
Conflicts of Interest
References
- Abernathy, K.; Abernathy, Z.; Baxter, A.; Stevens, M. Global dynamics of a breast cancer competition model. Differ. Equ. Dyn. Syst. 2020, 28, 791–805. [Google Scholar] [CrossRef] [PubMed]
- World Health Organization. Global Action Plan for the Prevention and Control of Noncommunicable Diseases 2013–2020; World Health Organization: Geneva, Switzerland, 2013. [Google Scholar]
- Tarver, T. American cancer society. cancer facts and figures 2014. J. Consum. Health Internet 2012, 16, 366–367. [Google Scholar] [CrossRef]
- Patel, M.; Nagl, S. The Role of Model Integration in Complex Systems Modelling: An Example from Cancer Biology; Springer: Berlin/Heidelberg, Germany, 2010; ISBN 3642156037. [Google Scholar]
- Dehingia, K.; Yao, S.-W.; Sadri, K.; Das, A.; Sarmah, H.K.; Zeb, A.; Inc, M. A study on cancer-obesity-treatment model with quadratic optimal control approach for better outcomes. Results Phys. 2022, 42, 105963. [Google Scholar] [CrossRef]
- Alnahdi, A.S.; Idrees, M. Nonlinear dynamics of estrogen receptor-positive breast cancer integrating experimental data: A novel spatial modeling approach. Math. Biosci. Eng. 2023, 20, 21163–21186. [Google Scholar] [CrossRef] [PubMed]
- Miziak, P.; Baran, M.; Błaszczak, E.; Przybyszewska-Podstawka, A.; Kałafut, J.; Smok-Kalwat, J.; Dmoszyńska-Graniczka, M.; Kiełbus, M.; Stepulak, A. Estrogen Receptor Signaling in Breast Cancer. Cancers 2023, 15, 4689. [Google Scholar] [CrossRef] [PubMed]
- Mufudza, C.; Sorofa, W.; Chiyaka, E.T. Assessing the effects of estrogen on the dynamics of breast cancer. Comput. Math. Methods Med. 2012, 2012, 473572. [Google Scholar] [CrossRef] [PubMed]
- Almeida, L.; Denis, J.A.; Ferrand, N.; Lorenzi, T.; Prunet, A.; Sabbah, M.; Villa, C. Evolutionary dynamics of glucose-deprived cancer cells: Insights from experimentally informed mathematical modelling. J. R. Soc. Interface 2024, 21, 20230587. [Google Scholar] [CrossRef] [PubMed]
- Barbosa, A.M.; Martel, F. Targeting glucose transporters for breast cancer therapy: The effect of natural and synthetic compounds. Cancers 2020, 12, 154. [Google Scholar] [CrossRef] [PubMed]
- Sun, S.; Sun, Y.; Rong, X.; Bai, L. High glucose promotes breast cancer proliferation and metastasis by impairing angiotensinogen expression. Biosci. Rep. 2019, 39, BSR20190436. [Google Scholar] [CrossRef]
- Shomali, N.; Mahmoudi, J.; Mahmoodpoor, A.; Zamiri, R.E.; Akbari, M.; Xu, H.; Shotorbani, S.S. Harmful effects of high amounts of glucose on the immune system: An updated review. Biotechnol. Appl. Biochem. 2021, 68, 404–410. [Google Scholar] [CrossRef]
- Alblowy, A.H.; Maan, N.; Alharbi, S.A. Role of glucose risk factors on human breast cancer: A nonlinear dynamical model evaluation. Mathematics 2022, 10, 3640. [Google Scholar] [CrossRef]
- Thirthar, A.A.; Abboubakar, H.; Khan, A.; Abdeljawad, T. Mathematical modeling of the COVID-19 epidemic with fear impact. AIMS Math. 2023, 8, 6447–6465. [Google Scholar] [CrossRef]
- Doshi, D.; Karunakar, P.; Sukhabogi, J.R.; Prasanna, J.S.; Mahajan, S.V. Assessing coronavirus fear in Indian population using the fear of COVID-19 scale. Int. J. Ment. Health Addict. 2021, 19, 2383–2391. [Google Scholar] [CrossRef] [PubMed]
- Vrinten, C.; McGregor, L.M.; Heinrich, M.; von Wagner, C.; Waller, J.; Wardle, J.; Black, G.B. What do people fear about cancer? A systematic review and meta-synthesis of cancer fears in the general population. Psycho-Oncology 2017, 26, 1070–1079. [Google Scholar] [CrossRef] [PubMed]
- Niknamian, S. The Impact of Stress, Anxiety, Fear and Depression in The Cause of Cancer in Humans. Am. J. Biomed. Sci. Res. 2019, 3, 363–370. [Google Scholar] [CrossRef]
- Gormley, M.; Knobf, M.T.; Vorderstrasse, A.; Aouizerat, B.; Hammer, M.; Fletcher, J.; D’Eramo Melkus, G. Exploring the effects of genomic testing on fear of cancer recurrence among breast cancer survivors. Psycho-Oncology 2021, 30, 1322–1331. [Google Scholar] [CrossRef] [PubMed]
- Lebel, S.; Tomei, C.; Feldstain, A.; Beattie, S.; McCallum, M. Does fear of cancer recurrence predict cancer survivors’ health care use? Support. Care Cancer 2013, 21, 901–906. [Google Scholar] [CrossRef] [PubMed]
- Von Ah Morano, A.E.; Dorneles, G.P.; Peres, A.; Lira, F.S. The role of glucose homeostasis on immune function in response to exercise: The impact of low or higher energetic conditions. J. Cell Physiol. 2020, 235, 3169–3188. [Google Scholar] [CrossRef] [PubMed]
- Jawad, S.; Winter, M.; Rahman, Z.-A.S.A.; Al-Yasir, Y.I.A.; Zeb, A. Dynamical Behavior of a Cancer Growth Model with Chemotherapy and Boosting of the Immune System. Mathematics 2023, 11, 406. [Google Scholar] [CrossRef]
- Tang, T.-Q.; Shah, Z.; Bonyah, E.; Jan, R.; Shutaywi, M.; Alreshidi, N. Modeling and Analysis of Breast Cancer with Adverse Reactions of Chemotherapy Treatment through Fractional Derivative. Comput. Math. Methods Med. 2022, 2022, 5636844. [Google Scholar] [CrossRef]
- Alharbi, S.A.; Rambely, A.S. A New ODE-Based Model for Tumor Cells and Immune System Competition. Mathematics 2020, 8, 1285. [Google Scholar] [CrossRef]
- Wang, X.; Zanette, L.; Zou, X. Modelling the fear effect in predator–prey interactions. J. Math. Biol. 2016, 73, 1179–1204. [Google Scholar] [CrossRef] [PubMed]
- Kuznetsov, V.A.; Makalkin, I.A.; Taylor, M.A.; Perelson, A.S. Nonlinear dynamics of immunogenic tumors: Parameter estimation and global bifurcation analysis. Bull. Math. Biol. 1994, 56, 295–321. [Google Scholar] [CrossRef] [PubMed]
- De Pillis, L.G.; Radunskaya, A. A mathematical tumor model with immune resistance and drug therapy: An optimal control approach. Comput. Math. Methods Med. 2001, 3, 79–100. [Google Scholar] [CrossRef]
- Gatenby, R.A. The potential role of transformation-induced metabolic changes in tumor-host interaction. Cancer Res. 1995, 55, 4151–4156. [Google Scholar] [PubMed]
- Abdulkream Alharbi, S.; Dehingia, K.; Jahman Alqarni, A.; Alsulami, M.; Al Qarni, A.A.; Das, A.; Hinçal, E. A study on ODE-based model of risk breast cancer with body mass. Appl. Math. Sci. Eng. 2023, 31, 2259059. [Google Scholar] [CrossRef]
- Ouifki, R.; Oke, S.I. Mathematical model for the estrogen paradox in breast cancer treatment. J. Math. Biol. 2022, 84, 28. [Google Scholar] [CrossRef]
- Das, A.; Dehingia, K.; Ray, N.; Sarmah, H.K. Stability analysis of a targeted chemotherapy-cancer model. Math. Model. Control 2023, 3, 116–126. [Google Scholar] [CrossRef]
- Sahoo, B.; Poria, S. Diseased prey predator model with general Holling type interactions. Appl. Math. Comput. 2014, 226, 83–100. [Google Scholar] [CrossRef]
- Hubbard, J.H.; West, B.H. Differential Equations: A Dynamical Systems Approach: Ordinary Differential Equations; Springer: Berlin/Heidelberg, Germany, 2013; Volume 5. [Google Scholar]
- Alebraheem, J.; Ibrahim, T.Q.; Arif, G.E.; Hamdi, A.A.; Bazighifan, O.; Ali, A.H. The stabilizing effect of small prey immigration on competitive predator-prey dynamics. Math. Comput. Model. Dyn. Syst. 2024, 30, 605–625. [Google Scholar] [CrossRef]
- Ahmed, M.; Jawad, S. Bifurcation Analysis of the Role of Good and Bad Bacteria in the Decomposing Toxins in the Intestine with the Impact of Antibiotic and Probiotics Supplement. In AIP Conference Proceedings; AIP Publishing: Melville, NY, USA, 2024; Volume 3097. [Google Scholar]
- Bassim, W.B.; Salem, A.J.; Ali, A.H. A new analytical study of prey-predator dynamical systems involving the effects of Hide-and-Escape and predation skill augmentation. Results Control Optim. 2024, 16, 100449. [Google Scholar] [CrossRef]
- Thirthar, A.A.; Jawad, S.; Majeed, S.J.; Nisar, K.S. Impact of wind flow and global warming in the dynamics of prey-predator model. Results Control Optim. 2024, 15, 100424. [Google Scholar] [CrossRef]
- Jawad, S.R.; Al Nuaimi, M. Persistence and bifurcation analysis among four species interactions with the influence of competition, predation and harvesting. Iraqi J. Sci. 2023, 64, 1369–1390. [Google Scholar] [CrossRef]
- Hassan, S.K.; Jawad, S.R. The Effect of Mutual Interaction and Harvesting on Food Chain Model. Iraqi J. Sci. 2022, 63, 2641–2649. [Google Scholar] [CrossRef]
- Thirthar, A.A.; Jawad, S.; Shah, K.; Abdeljawad, T. How does media coverage affect a COVID-19 pandemic model with direct and indirect transmission? J. Math. Comput. Sci. 2024, 35, 169–181. [Google Scholar] [CrossRef]
- Ali, A.; Jawad, S. Stability analysis of the depletion of dissolved oxygen for the Phytoplankton-Zooplankton model in an aquatic environment. Iraqi J. Sci. 2024, 65, 2736–2748. [Google Scholar] [CrossRef]
- Mondal, B.; Thirthar, A.A.; Sk, N.; Alqudah, M.A.; Abdeljawad, T. Complex dynamics in a two species system with Crowley–Martin response function: Role of cooperation, additional food and seasonal perturbations. Math. Comput. Simul. 2024, 221, 415–434. [Google Scholar] [CrossRef]
- Pakhira, R.; Mondal, B.; Thirthar, A.A.; Alqudah, M.A.; Abdeljawad, T. Developing a fuzzy logic-based carbon emission cost-incorporated inventory model with memory effects. Ain Shams Eng. J. 2024, 15, 102746. [Google Scholar] [CrossRef]
- Thirthar, A.A. A mathematical modelling of a plant-herbivore community with additional effects of food on the environment. Iraqi J. Sci. 2023, 64, 3551–3566. [Google Scholar] [CrossRef]
- Sk, N.; Mondal, B.; Thirthar, A.A.; Alqudah, M.A.; Abdeljawad, T. Bistability and tristability in a deterministic prey–predator model: Transitions and emergent patterns in its stochastic counterpart. Chaos Solitons Fractals 2023, 176, 114073. [Google Scholar] [CrossRef]










| Parameter | Interpretation | Values | Unit | Source |
|---|---|---|---|---|
| Body’s immune cell rate production. | 0.5 | (cells/day) | [30] | |
| Psychological panic rate from cancer. | 0.1 | dimensionless | Estimated | |
| Elicitation rate of immune cells by cancer cells. | 0.1 | 1/(cells·day) | [30] | |
| Half-life of effector cells | 0.4 | (day) | [30] | |
| Inactivation rate of immune cells due to the effect of tumor cells. | 0.2 | 1/(cells·day) | [30] | |
| Inhibition rate of the immune cells due to high levels of estrogen. | 0.09 | 1/(mg/dL·day) | [8] | |
| Immune cell suppression rate by high blood glucose. | 0.2 | 1/(mg/dL·day) | [30] | |
| Death rate of effector cells. | 0.2 | (cells/day) | [30] | |
| Breast cancer intrinsic growth rate. | 0.4 | (cells/day) | [8] | |
| Carrying capacity of breast cancer cells. | 1.5 | (cell) | [8] | |
| The rate at which effector cells eliminate tumor cells. | 0.2 | 1/(cells·day) | [30] | |
| The transformation rate of damaged normal cells into tumor cells caused by estrogen. | 0.2 | 1/(ng/mL·day) | [8] | |
| Death rate of breast cancer cells. | 0.05 | (cells/day) | [8] | |
| Intrinsic growth rate of healthy breast cells. | 0.35 | (cells/day) | [8] | |
| Carrying capacity of healthy breast cells. | 1 | (cell) | [8] | |
| The degradation rate of healthy breast cells caused by tumor cells. | 0.25 | 1/(cells·day) | [30] | |
| The decrease in healthy breast cells caused by a higher estrogen level. | 0.1 | 1/(ng/mL·day) | [29] | |
| The rate of higher estrogen production. | 0.19 | ng/mL/day | [8] | |
| The wash-out rate of estrogen from the body. | 0.05 | ng/mL/day | [8] |
Disclaimer/Publisher’s Note: The statements, opinions and data contained in all publications are solely those of the individual author(s) and contributor(s) and not of MDPI and/or the editor(s). MDPI and/or the editor(s) disclaim responsibility for any injury to people or property resulting from any ideas, methods, instructions or products referred to in the content. |
© 2024 by the authors. Licensee MDPI, Basel, Switzerland. This article is an open access article distributed under the terms and conditions of the Creative Commons Attribution (CC BY) license (https://creativecommons.org/licenses/by/4.0/).
Share and Cite
Aamer, Z.; Jawad, S.; Batiha, B.; Ali, A.H.; Ghanim, F.; Lupaş, A.A. Evaluation of the Dynamics of Psychological Panic Factor, Glucose Risk and Estrogen Effects on Breast Cancer Model. Computation 2024, 12, 160. https://doi.org/10.3390/computation12080160
Aamer Z, Jawad S, Batiha B, Ali AH, Ghanim F, Lupaş AA. Evaluation of the Dynamics of Psychological Panic Factor, Glucose Risk and Estrogen Effects on Breast Cancer Model. Computation. 2024; 12(8):160. https://doi.org/10.3390/computation12080160
Chicago/Turabian StyleAamer, Zahraa, Shireen Jawad, Belal Batiha, Ali Hasan Ali, Firas Ghanim, and Alina Alb Lupaş. 2024. "Evaluation of the Dynamics of Psychological Panic Factor, Glucose Risk and Estrogen Effects on Breast Cancer Model" Computation 12, no. 8: 160. https://doi.org/10.3390/computation12080160
APA StyleAamer, Z., Jawad, S., Batiha, B., Ali, A. H., Ghanim, F., & Lupaş, A. A. (2024). Evaluation of the Dynamics of Psychological Panic Factor, Glucose Risk and Estrogen Effects on Breast Cancer Model. Computation, 12(8), 160. https://doi.org/10.3390/computation12080160

