On the Use of Affordable COTS Hardware for Network Measurements: Limits and Good Practices †
Abstract
:1. Introduction
2. Network Performance Measurements
2.1. Measuring Methodology
2.2. Bandwidth
2.3. Delay
2.4. Variability of Latency or Jitter
2.5. Packet Loss
3. Experimental Evaluation
3.1. Testbed Description
- Two TP-Link Archer C7 AC 1750 routers with a multiple-input and multiple-output (MIMO) 3 × 3:3 configuration (three transmitting antennae, three receiving antennae, and three spatial streams). One of these kept the stock firmware (3.15.1 Build 160616 Rel.44182n), and we refer to it as “TP-Link”. The second was flashed with a dd-wrt (http://dd-wrt.com/site/index) Linux distribution, and we refer to it as “dd-wrt”. The estimated price of these routers was 80 euros each.
- PC1: Desktop PC with an Intel Core i7 CPU at 2.80 GHz, 8 GiByte of DDR3 RAM at 1333 MHz and two network interfaces: the integrated interface was connected to the Internet, and a second interface was used to connect to the tested network, a PCI Broadcom Corporation NetXtreme II BCM5709 Gigabit Ethernet (rev 20) network card. The operating system was an Ubuntu 14.04 Mate. The estimated price of this hardware was 600 euros.
- PC2: Desktop PC with an Intel Core i7-2600 CPU at 3.40 GHz, 8 GiByte of RAM DDR3 at 1333 MHz, and one (integrated) Intel Gigabit Ethernet network card. The operating system was a CentOS 7, and the estimated price of the hardware was 550 euros.
- ODROID C2 [18] with a USB Edimax EW-7811UN 802.11n WiFi adapter with a maximum throughput of 150 Mbit/s. This kit had an approximate price of 100 euros.
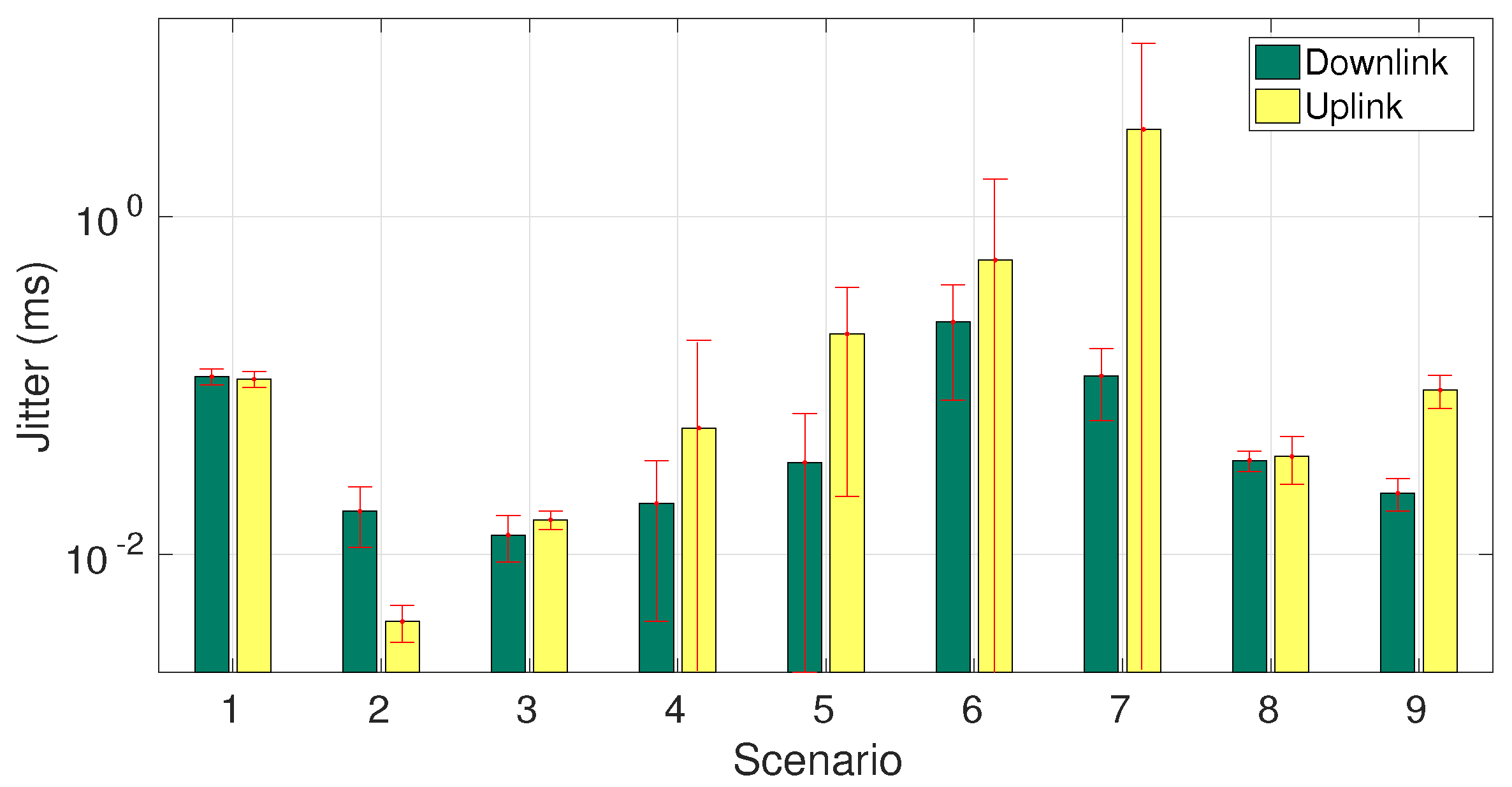
- Scenario 1: As shown in Figure 2a, we connected two hosts directly with an ethernet cable, as a baseline of an ideal direct connection to the server without wireless hops.
- Scenario 2: As shown in Figure 2b, the purpose of this scenario was to obtain an idea of the capabilities the dd-wrt router has as a measuring device, keeping in mind that it has limited resources versus a PC.
- Scenario 3: As mentioned before, small form-factor ARM-based computers such as ODROID have made it to the mass market. Thus, it is interesting to find out whether they are suitable as cheap measuring devices. As illustrated in Figure 2c, in this scenario, we connected PC1 to an ODROID C2 and benchmarked the communication performance.
- Scenario 4: In this scenario, we connected both PCs with a WiFi link, as shown in Figure 2d. The TP-Link router acted as an access point (AP), while the dd-wrt acted only as a WiFi client that directly connected PC2 to PC1. In this scenario, we used the 2.4 GHz band with a 40 MHz channel with a 22 modulation and coding scheme (MCS) index in transmission and a 23 MCS index in reception, measured with iw.
- Scenario 5: In this scenario, the network topology was the same as in the previous. However, in this scenario, the dd-wrt took the active role as the measuring device, and PC2 acted only as a mere terminal to run commands through SSH. Our rationale was that because the commands went through a different link, they should have interfered less with our measurements.
- Scenario 6: In this scenario, we measured what an average user would experience if they used a cheap USB WiFi dongle with a 7 MCS index connection.
- Scenario 7: In this scenario, we connected the PC2 directly to the AP using the USB WiFi dongle, as illustrated in Figure 2f.
- Scenario 8: In this scenario, we used the same network topology as is depicted in Figure 2d, but this time with a 5 GHz WiFi link, with an 80 MHz channel width and a MCS index of 8.
- Scenario 9: In this scenario, we maintained the topology of Scenario 8, but measured from the dd-wrt instead. Again, we used the PC2 only as a terminal to issue commands that interfered with the measurements as little as possible.
3.2. Method Description
3.3. Results
4. Discussion and Lessons Learned
- Check cores and NUMA architecture of the device, to adapt core isolation and affinity. That is, to prevent artificial performance bottlenecks, a meticulous assignation of threads has to be done.
- Calibrate network generation capabilities. To do so, first check single-stream measurements, and, after that, include multiple streams. Bottlenecks may indicate limitations of network interfaces or CPU limitations. Additionally, we note that despite having the multi-stream functionality, measurement tools must employ multiple threads to overcome CPU limitations.
- Ensure that the capabilities of the internal connection among communication devices suffice the use case, instead of assuming that higher-end equipment should provide better performance. External appliances may be limited by the design or sharing of these resources.
5. Conclusions
Acknowledgments
Author Contributions
Conflicts of Interest
Abbreviations
| ACK | TCP acknowledgment control flag |
| AP | Access point |
| BTC | Bulk transfer capacity |
| BW | Bandwidth |
| COTS | Commercial off-the-shelf |
| ICMP | Internet Control Message Protocol |
| IPPM | Internet Protocol Performance Metrics |
| ISP | Internet service provider |
| KPI | Key performance indicator |
| MAC | Media Access Control |
| MCS | Modulation and coding scheme |
| MIMO | Multiple-input and multiple-output |
| NIC | Network interface card |
| NUMA | Non-Uniform Access Memory |
| OWD | One-way delay |
| Q4S | Quality for Service Protocol |
| QoE | Quality of experience |
| QoS | Quality of service |
| RTT | Round-trip time |
| Rx | Reception |
| SYN | TCP synchronize control flag |
| TCP | Transmission Control Protocol |
| Tx | Transmission |
| UDP | User Datagram Protocol |
| VoIP | Voice over IP |
References
- Sundaresan, S.; Burnett, S.; Feamster, N.; de Donato, W. BISmark: A Testbed for Deploying Measurements and Applications in Broadband Access Networks. In Proceedings of the 2014 USENIX Annual Technical Conference (USENIX ATC 14), Philadelphia, PA, USA, 19–20 June 2014; USENIX Association: Philadelphia, PA, USA, 2014; pp. 383–394. [Google Scholar]
- Bagnulo, M.; Burbridge, T.; Crawford, S.; Eardley, P.; Schoenwaelder, J.; Trammell, B. Building a standard measurement platform. IEEE Commun. Mag. 2014, 52, 165–173. [Google Scholar] [CrossRef]
- Choi, S.; Park, K.; Kim, C. Performance impact of interlayer dependence in infrastructure WLANs. IEEE Trans. Mob. Comput. 2006, 5, 829–845. [Google Scholar] [CrossRef]
- Paxson, V.; Almes, G.; Mahdavi, J.; Mathis, M. RFC 2330: Framework for IP Performance Metrics. 1998. Available online: https://tools.ietf.org/html/rfc2330 (accessed on 20 February 2018).
- Hedayat, H.; Krzanowski, R.; Morton, A.; Yum, K.; Babiarz, J. RFC 5357: A Two-Way Active Measurement Protocol. 2008. Available online: https://tools.ietf.org/html/rfc5357 (accessed on 20 February 2018).
- Atxutegi, E.; Liberal, F.; Saiz, E.; Ibarrola, E. Toward standardized internet speed measurements for end users: current technical constraints. IEEE Commun. Mag. 2016, 54, 50–57. [Google Scholar] [CrossRef]
- Ramos, J.; Santiago del Río, P.M.; Aracil, J.; López de Vergara, J.E. On the effect of concurrent applications in bandwidth measurement speedometers. Comput. Netw. 2011, 55, 1435–1453. [Google Scholar] [CrossRef]
- Pei, C.; Zhao, Y.; Chen, G.; Tang, R.; Meng, Y.; Ma, M.; Ling, K.; Pei, D. WiFi can be the weakest link of round trip network latency in the wild. In Proceedings of the 35th Annual IEEE International Conference on Computer Communications (IEEE INFOCOM 2016), San Francisco, CA, USA, 10–15 April 2016; pp. 1–9. [Google Scholar]
- Hu, Z.; Chen, Y.C.; Qiu, L.; Xue, G.; Zhu, H.; Zhang, N.; He, C.; Pan, L.; He, C. An In-depth Analysis of 3G Traffic and Performance. In Proceedings of the 5th Workshop on All Things Cellular: Operations, Applications and Challenges, London, UK, 17 August 2015; pp. 1–6. [Google Scholar]
- Maity, M.; Raman, B.; Vutukuru, M. TCP download performance in dense WiFi scenarios. In Proceedings of the 2015 7th International Conference on Communication Systems and Networks (COMSNETS), Bangalore, India, 6–10 January 2015; pp. 1–8. [Google Scholar]
- Strauss, J.; Kaashoek, M.F. Estimating Bulk Transfer Capacity. Available online: http://web.mit.edu/jastr/Public/paper.pdf (accessed on 20 February 2018).
- Ramos de Santiago, J. Proactive Measurement Techniques for Network Monitoring in Heterogeneous Environments. Ph.D. Thesis, Universidad Autónoma de Madrid, Madrid, Spain, 2013. [Google Scholar]
- Almes, G.; Zekauskas, M.; Kalidindi, S.; Morton, A. RFC 7679: A One-Way Delay Metric for IP Performance Metrics (IPPM). 2016. Available online: https://tools.ietf.org/html/rfc7679 (accessed on 20 February 2018).
- García Aranda, J.J.; Pérez Lajo, J.; Díaz Vizcaino, L.M.; Muñoz Fernández, G.; Barcenilla, C.; Cortés, M.; Salvachua, J.; Quemada, J.; Martínez Sarriegui, I.; Fajardo Ibáñez, L.; et al. The Quality for Service Protocol. Internet-draft, Internet Engineering Task Force, 2017; Work in Progress. [Google Scholar]
- Almes, G.; Zekauskas, M.J.; Kalidindi, S. RFC 2681: A Round-Trip Delay Metric for IPPM. 1999. Available online: https://tools.ietf.org/html/rfc2681 (accessed on 20 February 2018).
- Demichelis, C.; Chimento, P. RFC 3393: IP Packet Delay Variation Metric for IP Performance Metrics (IPPM). 2002. Available online: https://tools.ietf.org/html/rfc3393 (accessed on 20 February 2018).
- Almes, G.; Kalidindi, S.; Zekauskas, M. RFC 2680: A One-Way Packet Loss Metric for IPPM. 1999. Available online: https://tools.ietf.org/html/rfc2680 (accessed on 20 February 2018).
- ODROID Products. ODROID-HC2. Available online: http://www.hardkernel.com/main/products/prdt_info.php (accessed on 19 February 2018).
- Charfi, E.; Chaari, L.; Kamoun, L. PHY/MAC Enhancements and QoS Mechanisms for Very High Throughput WLANs: A Survey. IEEE Commun. Surv. Tutor. 2013, 15, 1714–1735. [Google Scholar] [CrossRef]
- Karmakar, R.; Chakraborty, S.; Chattopadhyay, S. Impact of IEEE 802.11 n/ac PHY/MAC High Throughput Enhancements over Transport/Application Layer Protocols-A Survey. arXiv, 2017; arXiv:1702.03257. [Google Scholar]
- Moreno, V.; Ramos, J.; Santiago del Río, P.M.; García-Dorado, J.L.; Gómez-Arribas, F.J.; Aracil, J. Commodity Packet Capture Engines: Tutorial, Cookbook and Applicability. IEEE Commun. Surv. Tutor. 2015, 17, 1364–1390. [Google Scholar] [CrossRef]
- Mahdavi, J.; Paxson, V. RFC 2678: IPPM Metrics for Measuring Connectivity. 1999. Available online: https://tools.ietf.org/html/rfc2678 (accessed on 20 February 2018).
- UDP Performance Stuck around 10mbits Unless Using—A Option # 234. Available online: https://github.com/esnet/iperf/issues/234 (accessed on 19 February 2018).
- Extremely High Packet Loss with UDP Test # 296. Available online: https://github.com/esnet/iperf/issues/296 (accessed on 19 February 2018).
- The Kernel’S Command-Line Parameters. Available online: https://www.kernel.org/doc/html/v4.14/admin-guide/kernel-parameters.html (accessed on 19 February 2018).
- Taskset(1)-Linux Man Page. Available online: https://linux.die.net/man/1/taskset (accessed on 19 February 2018).
- Numactl(8)-Linux Man Page. Available online: https://linux.die.net/man/8/numactl (accessed on 19 February 2018).
- Ruiz, M.; Ramos, J.; Sutter, G.; de Vergara, J.E.L.; Lopez-Buedo, S.; Aracil, J. Accurate and affordable packet-train testing systems for multi-gigabit-per-second networks. IEEE Commun. Mag. 2016, 54, 80–87. [Google Scholar] [CrossRef]







| Tool | Protocol | BW | Delay | Jitter | Losses |
|---|---|---|---|---|---|
| iperf3 | Transmission Control Protocol (TCP) | ✓ | ✗ | ✗ | ✓ |
| iperf3 | User Datagram Protocol (UDP) | ✓ | ✗ | ✓ | ✓ |
| ping | Internet Control Message Protocol (ICMP) | ✗ | ✓ | ✗ | ∼ |
| Network KPIs | Available bandwidth | Round trip time (RTT) and jitter | Packet loss |
|---|---|---|---|
| Performance Issues |
|
|
|
| Tested Solutions |
|
|
|
© 2018 by the authors. Licensee MDPI, Basel, Switzerland. This article is an open access article distributed under the terms and conditions of the Creative Commons Attribution (CC BY) license (http://creativecommons.org/licenses/by/4.0/).
Share and Cite
Miravalls-Sierra, E.; Muelas, D.; López de Vergara, J.E.; Ramos, J.; Aracil, J. On the Use of Affordable COTS Hardware for Network Measurements: Limits and Good Practices. Information 2018, 9, 43. https://doi.org/10.3390/info9020043
Miravalls-Sierra E, Muelas D, López de Vergara JE, Ramos J, Aracil J. On the Use of Affordable COTS Hardware for Network Measurements: Limits and Good Practices. Information. 2018; 9(2):43. https://doi.org/10.3390/info9020043
Chicago/Turabian StyleMiravalls-Sierra, Eduardo, David Muelas, Jorge E. López de Vergara, Javier Ramos, and Javier Aracil. 2018. "On the Use of Affordable COTS Hardware for Network Measurements: Limits and Good Practices" Information 9, no. 2: 43. https://doi.org/10.3390/info9020043
APA StyleMiravalls-Sierra, E., Muelas, D., López de Vergara, J. E., Ramos, J., & Aracil, J. (2018). On the Use of Affordable COTS Hardware for Network Measurements: Limits and Good Practices. Information, 9(2), 43. https://doi.org/10.3390/info9020043

